Understanding different types of crime is essential for grasping how... Show more
Sign up to see the contentIt's free!
Access to all documents
Improve your grades
Join milions of students
By signing up you accept Terms of Service and Privacy Policy
Subjects
Classic Dramatic Literature
Modern Lyric Poetry
Influential English-Language Authors
Classic and Contemporary Novels
Literary Character Analysis
Romantic and Love Poetry
Reading Analysis and Interpretation
Evidence Analysis and Integration
Author's Stylistic Elements
Figurative Language and Rhetoric
Show all topics
Human Organ Systems
Cellular Organization and Development
Biomolecular Structure and Organization
Enzyme Structure and Regulation
Cellular Organization Types
Biological Homeostatic Processes
Cellular Membrane Structure
Autotrophic Energy Processes
Environmental Sustainability and Impact
Neural Communication Systems
Show all topics
Social Sciences Research & Practice
Social Structure and Mobility
Classic Social Influence Experiments
Social Systems Theories
Family and Relationship Dynamics
Memory Systems and Processes
Neural Bases of Behavior
Social Influence and Attraction
Psychotherapeutic Approaches
Human Agency and Responsibility
Show all topics
Chemical Sciences and Applications
Chemical Bond Types and Properties
Organic Functional Groups
Atomic Structure and Composition
Chromatographic Separation Principles
Chemical Compound Classifications
Electrochemical Cell Systems
Periodic Table Organization
Chemical Reaction Kinetics
Chemical Equation Conservation
Show all topics
Nazi Germany and Holocaust 1933-1945
World Wars and Peace Treaties
European Monarchs and Statesmen
Cold War Global Tensions
Medieval Institutions and Systems
European Renaissance and Enlightenment
Modern Global Environmental-Health Challenges
Modern Military Conflicts
Medieval Migration and Invasions
World Wars Era and Impact
Show all topics
451
•
Updated 28 Feb 2026
•
loladickens05
@loladickens05_ngky
Understanding different types of crime is essential for grasping how... Show more






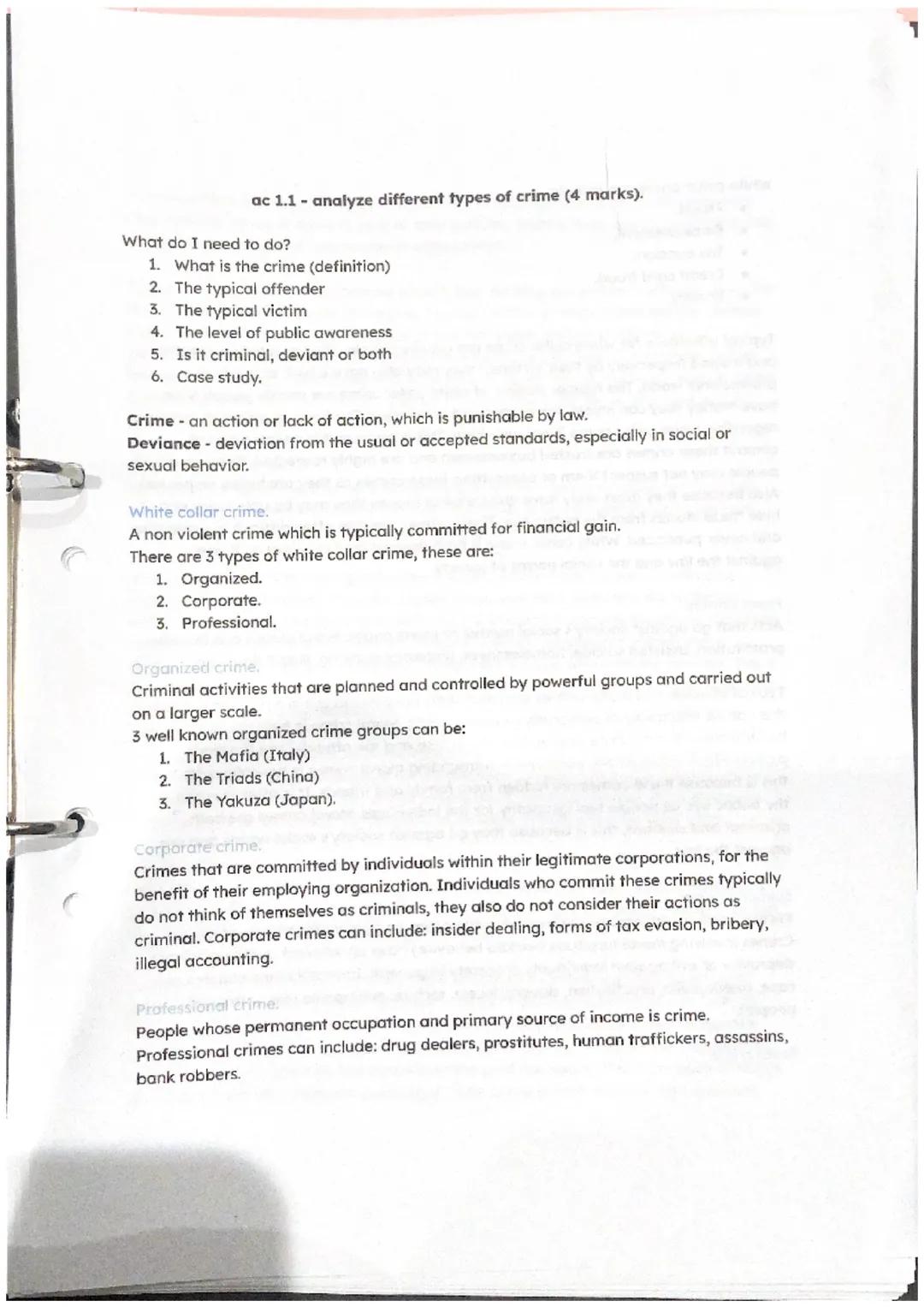
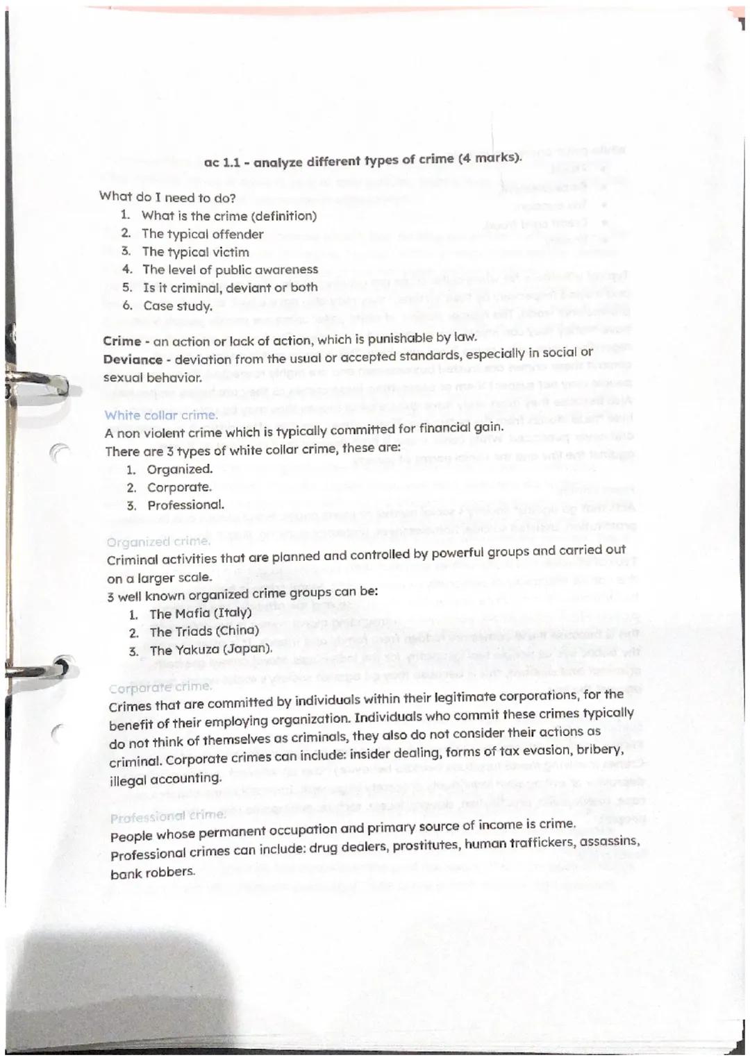
Crime is any action (or lack of action) that's punishable by law, whilst deviance means behaviour that goes against what society considers normal or acceptable. You'll need to analyse crimes by looking at six key elements: the definition, typical offenders and victims, public awareness levels, whether it's criminal or deviant (or both), and real case studies.
White collar crime involves non-violent offences committed for financial gain. There are three main types: organised crime (like the Mafia), corporate crime (fraud within legitimate businesses), and professional crime (where crime is someone's main job). These crimes are particularly interesting because the offenders are often highly respected, trusted individuals in professional positions.
Key Point: White collar criminals don't usually see themselves as "real criminals" - they often justify their actions as normal business practice.
The victims are typically investors, taxpayers, and pensioners who trust these respectable figures with their money. Public awareness tends to be low because these crimes are complex, hidden, and committed by people society trusts.

Moral crimes go against society's values and moral codes, including prostitution, illegal drug use, and assisted suicide. These crimes are often considered "victimless" since the person committing the crime might also be the victim. Offenders are usually people facing difficult financial or personal situations, and public awareness remains low due to shame and secrecy.
State crimes are committed by governments or their agencies to further political policies. This includes genocide, war crimes, and murder ordered by state officials. High-ranking government officials are typical offenders, whilst the general public or those with different political/religious views become victims.
Key Point: State crimes receive very high public awareness due to their extreme nature and coverage on social media and news reports.
Unlike other crimes, state crimes are unique because they're committed by the very people meant to uphold the law. Both moral and state crimes are considered both criminal and deviant since they break laws and violate social norms.

Hate crimes target individuals based on their identity - religion, sexual orientation, disability, or sex. These can include assault, harassment, and even murder. The UK sees roughly 100,000 race-related incidents yearly, with overall hate crime rising by 20% recently. Offenders typically hold prejudiced, traditional worldviews.
Honour crimes involve punishment for acts that supposedly bring shame to a family, including acid attacks and killings. Male family members (fathers, brothers, uncles) are typical offenders, whilst young women (particularly in some Asian communities) are common victims. The UK averages 12 honour killings annually.
Public awareness of hate crimes has increased significantly due to social media campaigns, but honour crime awareness remains low. Victims often fear reporting due to potential escalation of abuse.
Key Point: Both crimes target victims based on aspects of their identity they cannot change, making them particularly devastating for individuals and communities.

Domestic abuse involves targeted abuse against partners or family members, typically occurring in the home. This includes assault, murder, and emotional manipulation. Whilst men are usually offenders and women victims, this pattern isn't absolute. Shockingly, only 1 in 22 domestic abuse cases result in successful prosecution, despite 1 in 6 women experiencing it.
Technological crime (cybercrime) uses the internet or technology for illegal purposes, including internet fraud and identity theft. Offenders are usually overseas-based with technical knowledge, whilst anyone using the internet can become a victim. Since December 2022, the UK has seen over 4,700 victims - a 40% increase since 2020.
Key Point: Many technological crime victims don't even realise they've been targeted until significant damage is done to their finances or identity.
Public awareness of domestic abuse remains low due to victim fear and embarrassment, whilst technological crime awareness is rising due to increasing incidents and media coverage.

Our AI Companion is a student-focused AI tool that offers more than just answers. Built on millions of Knowunity resources, it provides relevant information, personalised study plans, quizzes, and content directly in the chat, adapting to your individual learning journey.
You can download the app from Google Play Store and Apple App Store.
That's right! Enjoy free access to study content, connect with fellow students, and get instant help – all at your fingertips.
App Store
Google Play
The app is very easy to use and well designed. I have found everything I was looking for so far and have been able to learn a lot from the presentations! I will definitely use the app for a class assignment! And of course it also helps a lot as an inspiration.
Stefan S
iOS user
This app is really great. There are so many study notes and help [...]. My problem subject is French, for example, and the app has so many options for help. Thanks to this app, I have improved my French. I would recommend it to anyone.
Samantha Klich
Android user
Wow, I am really amazed. I just tried the app because I've seen it advertised many times and was absolutely stunned. This app is THE HELP you want for school and above all, it offers so many things, such as workouts and fact sheets, which have been VERY helpful to me personally.
Anna
iOS user
Best app on earth! no words because it’s too good
Thomas R
iOS user
Just amazing. Let's me revise 10x better, this app is a quick 10/10. I highly recommend it to anyone. I can watch and search for notes. I can save them in the subject folder. I can revise it any time when I come back. If you haven't tried this app, you're really missing out.
Basil
Android user
This app has made me feel so much more confident in my exam prep, not only through boosting my own self confidence through the features that allow you to connect with others and feel less alone, but also through the way the app itself is centred around making you feel better. It is easy to navigate, fun to use, and helpful to anyone struggling in absolutely any way.
David K
iOS user
The app's just great! All I have to do is enter the topic in the search bar and I get the response real fast. I don't have to watch 10 YouTube videos to understand something, so I'm saving my time. Highly recommended!
Sudenaz Ocak
Android user
In school I was really bad at maths but thanks to the app, I am doing better now. I am so grateful that you made the app.
Greenlight Bonnie
Android user
very reliable app to help and grow your ideas of Maths, English and other related topics in your works. please use this app if your struggling in areas, this app is key for that. wish I'd of done a review before. and it's also free so don't worry about that.
Rohan U
Android user
I know a lot of apps use fake accounts to boost their reviews but this app deserves it all. Originally I was getting 4 in my English exams and this time I got a grade 7. I didn’t even know about this app three days until the exam and it has helped A LOT. Please actually trust me and use it as I’m sure you too will see developments.
Xander S
iOS user
THE QUIZES AND FLASHCARDS ARE SO USEFUL AND I LOVE Knowunity AI. IT ALSO IS LITREALLY LIKE CHATGPT BUT SMARTER!! HELPED ME WITH MY MASCARA PROBLEMS TOO!! AS WELL AS MY REAL SUBJECTS ! DUHHH 😍😁😲🤑💗✨🎀😮
Elisha
iOS user
This apps acc the goat. I find revision so boring but this app makes it so easy to organize it all and then you can ask the freeeee ai to test yourself so good and you can easily upload your own stuff. highly recommend as someone taking mocks now
Paul T
iOS user
The app is very easy to use and well designed. I have found everything I was looking for so far and have been able to learn a lot from the presentations! I will definitely use the app for a class assignment! And of course it also helps a lot as an inspiration.
Stefan S
iOS user
This app is really great. There are so many study notes and help [...]. My problem subject is French, for example, and the app has so many options for help. Thanks to this app, I have improved my French. I would recommend it to anyone.
Samantha Klich
Android user
Wow, I am really amazed. I just tried the app because I've seen it advertised many times and was absolutely stunned. This app is THE HELP you want for school and above all, it offers so many things, such as workouts and fact sheets, which have been VERY helpful to me personally.
Anna
iOS user
Best app on earth! no words because it’s too good
Thomas R
iOS user
Just amazing. Let's me revise 10x better, this app is a quick 10/10. I highly recommend it to anyone. I can watch and search for notes. I can save them in the subject folder. I can revise it any time when I come back. If you haven't tried this app, you're really missing out.
Basil
Android user
This app has made me feel so much more confident in my exam prep, not only through boosting my own self confidence through the features that allow you to connect with others and feel less alone, but also through the way the app itself is centred around making you feel better. It is easy to navigate, fun to use, and helpful to anyone struggling in absolutely any way.
David K
iOS user
The app's just great! All I have to do is enter the topic in the search bar and I get the response real fast. I don't have to watch 10 YouTube videos to understand something, so I'm saving my time. Highly recommended!
Sudenaz Ocak
Android user
In school I was really bad at maths but thanks to the app, I am doing better now. I am so grateful that you made the app.
Greenlight Bonnie
Android user
very reliable app to help and grow your ideas of Maths, English and other related topics in your works. please use this app if your struggling in areas, this app is key for that. wish I'd of done a review before. and it's also free so don't worry about that.
Rohan U
Android user
I know a lot of apps use fake accounts to boost their reviews but this app deserves it all. Originally I was getting 4 in my English exams and this time I got a grade 7. I didn’t even know about this app three days until the exam and it has helped A LOT. Please actually trust me and use it as I’m sure you too will see developments.
Xander S
iOS user
THE QUIZES AND FLASHCARDS ARE SO USEFUL AND I LOVE Knowunity AI. IT ALSO IS LITREALLY LIKE CHATGPT BUT SMARTER!! HELPED ME WITH MY MASCARA PROBLEMS TOO!! AS WELL AS MY REAL SUBJECTS ! DUHHH 😍😁😲🤑💗✨🎀😮
Elisha
iOS user
This apps acc the goat. I find revision so boring but this app makes it so easy to organize it all and then you can ask the freeeee ai to test yourself so good and you can easily upload your own stuff. highly recommend as someone taking mocks now
Paul T
iOS user
loladickens05
@loladickens05_ngky
Understanding different types of crime is essential for grasping how society deals with various harmful behaviours. From financial fraud to domestic abuse, crimes affect everyone differently and carry varying levels of public awareness and punishment.

Access to all documents
Improve your grades
Join milions of students
By signing up you accept Terms of Service and Privacy Policy
Crime is any action (or lack of action) that's punishable by law, whilst deviance means behaviour that goes against what society considers normal or acceptable. You'll need to analyse crimes by looking at six key elements: the definition, typical offenders and victims, public awareness levels, whether it's criminal or deviant (or both), and real case studies.
White collar crime involves non-violent offences committed for financial gain. There are three main types: organised crime (like the Mafia), corporate crime (fraud within legitimate businesses), and professional crime (where crime is someone's main job). These crimes are particularly interesting because the offenders are often highly respected, trusted individuals in professional positions.
Key Point: White collar criminals don't usually see themselves as "real criminals" - they often justify their actions as normal business practice.
The victims are typically investors, taxpayers, and pensioners who trust these respectable figures with their money. Public awareness tends to be low because these crimes are complex, hidden, and committed by people society trusts.

Access to all documents
Improve your grades
Join milions of students
By signing up you accept Terms of Service and Privacy Policy
Moral crimes go against society's values and moral codes, including prostitution, illegal drug use, and assisted suicide. These crimes are often considered "victimless" since the person committing the crime might also be the victim. Offenders are usually people facing difficult financial or personal situations, and public awareness remains low due to shame and secrecy.
State crimes are committed by governments or their agencies to further political policies. This includes genocide, war crimes, and murder ordered by state officials. High-ranking government officials are typical offenders, whilst the general public or those with different political/religious views become victims.
Key Point: State crimes receive very high public awareness due to their extreme nature and coverage on social media and news reports.
Unlike other crimes, state crimes are unique because they're committed by the very people meant to uphold the law. Both moral and state crimes are considered both criminal and deviant since they break laws and violate social norms.

Access to all documents
Improve your grades
Join milions of students
By signing up you accept Terms of Service and Privacy Policy
Hate crimes target individuals based on their identity - religion, sexual orientation, disability, or sex. These can include assault, harassment, and even murder. The UK sees roughly 100,000 race-related incidents yearly, with overall hate crime rising by 20% recently. Offenders typically hold prejudiced, traditional worldviews.
Honour crimes involve punishment for acts that supposedly bring shame to a family, including acid attacks and killings. Male family members (fathers, brothers, uncles) are typical offenders, whilst young women (particularly in some Asian communities) are common victims. The UK averages 12 honour killings annually.
Public awareness of hate crimes has increased significantly due to social media campaigns, but honour crime awareness remains low. Victims often fear reporting due to potential escalation of abuse.
Key Point: Both crimes target victims based on aspects of their identity they cannot change, making them particularly devastating for individuals and communities.

Access to all documents
Improve your grades
Join milions of students
By signing up you accept Terms of Service and Privacy Policy
Domestic abuse involves targeted abuse against partners or family members, typically occurring in the home. This includes assault, murder, and emotional manipulation. Whilst men are usually offenders and women victims, this pattern isn't absolute. Shockingly, only 1 in 22 domestic abuse cases result in successful prosecution, despite 1 in 6 women experiencing it.
Technological crime (cybercrime) uses the internet or technology for illegal purposes, including internet fraud and identity theft. Offenders are usually overseas-based with technical knowledge, whilst anyone using the internet can become a victim. Since December 2022, the UK has seen over 4,700 victims - a 40% increase since 2020.
Key Point: Many technological crime victims don't even realise they've been targeted until significant damage is done to their finances or identity.
Public awareness of domestic abuse remains low due to victim fear and embarrassment, whilst technological crime awareness is rising due to increasing incidents and media coverage.

Access to all documents
Improve your grades
Join milions of students
By signing up you accept Terms of Service and Privacy Policy
Our AI Companion is a student-focused AI tool that offers more than just answers. Built on millions of Knowunity resources, it provides relevant information, personalised study plans, quizzes, and content directly in the chat, adapting to your individual learning journey.
You can download the app from Google Play Store and Apple App Store.
That's right! Enjoy free access to study content, connect with fellow students, and get instant help – all at your fingertips.
3
Smart Tools NEW
Transform this note into: ✓ 50+ Practice Questions ✓ Interactive Flashcards ✓ Full Mock Exam ✓ Essay Outlines
App Store
Google Play
The app is very easy to use and well designed. I have found everything I was looking for so far and have been able to learn a lot from the presentations! I will definitely use the app for a class assignment! And of course it also helps a lot as an inspiration.
Stefan S
iOS user
This app is really great. There are so many study notes and help [...]. My problem subject is French, for example, and the app has so many options for help. Thanks to this app, I have improved my French. I would recommend it to anyone.
Samantha Klich
Android user
Wow, I am really amazed. I just tried the app because I've seen it advertised many times and was absolutely stunned. This app is THE HELP you want for school and above all, it offers so many things, such as workouts and fact sheets, which have been VERY helpful to me personally.
Anna
iOS user
Best app on earth! no words because it’s too good
Thomas R
iOS user
Just amazing. Let's me revise 10x better, this app is a quick 10/10. I highly recommend it to anyone. I can watch and search for notes. I can save them in the subject folder. I can revise it any time when I come back. If you haven't tried this app, you're really missing out.
Basil
Android user
This app has made me feel so much more confident in my exam prep, not only through boosting my own self confidence through the features that allow you to connect with others and feel less alone, but also through the way the app itself is centred around making you feel better. It is easy to navigate, fun to use, and helpful to anyone struggling in absolutely any way.
David K
iOS user
The app's just great! All I have to do is enter the topic in the search bar and I get the response real fast. I don't have to watch 10 YouTube videos to understand something, so I'm saving my time. Highly recommended!
Sudenaz Ocak
Android user
In school I was really bad at maths but thanks to the app, I am doing better now. I am so grateful that you made the app.
Greenlight Bonnie
Android user
very reliable app to help and grow your ideas of Maths, English and other related topics in your works. please use this app if your struggling in areas, this app is key for that. wish I'd of done a review before. and it's also free so don't worry about that.
Rohan U
Android user
I know a lot of apps use fake accounts to boost their reviews but this app deserves it all. Originally I was getting 4 in my English exams and this time I got a grade 7. I didn’t even know about this app three days until the exam and it has helped A LOT. Please actually trust me and use it as I’m sure you too will see developments.
Xander S
iOS user
THE QUIZES AND FLASHCARDS ARE SO USEFUL AND I LOVE Knowunity AI. IT ALSO IS LITREALLY LIKE CHATGPT BUT SMARTER!! HELPED ME WITH MY MASCARA PROBLEMS TOO!! AS WELL AS MY REAL SUBJECTS ! DUHHH 😍😁😲🤑💗✨🎀😮
Elisha
iOS user
This apps acc the goat. I find revision so boring but this app makes it so easy to organize it all and then you can ask the freeeee ai to test yourself so good and you can easily upload your own stuff. highly recommend as someone taking mocks now
Paul T
iOS user
The app is very easy to use and well designed. I have found everything I was looking for so far and have been able to learn a lot from the presentations! I will definitely use the app for a class assignment! And of course it also helps a lot as an inspiration.
Stefan S
iOS user
This app is really great. There are so many study notes and help [...]. My problem subject is French, for example, and the app has so many options for help. Thanks to this app, I have improved my French. I would recommend it to anyone.
Samantha Klich
Android user
Wow, I am really amazed. I just tried the app because I've seen it advertised many times and was absolutely stunned. This app is THE HELP you want for school and above all, it offers so many things, such as workouts and fact sheets, which have been VERY helpful to me personally.
Anna
iOS user
Best app on earth! no words because it’s too good
Thomas R
iOS user
Just amazing. Let's me revise 10x better, this app is a quick 10/10. I highly recommend it to anyone. I can watch and search for notes. I can save them in the subject folder. I can revise it any time when I come back. If you haven't tried this app, you're really missing out.
Basil
Android user
This app has made me feel so much more confident in my exam prep, not only through boosting my own self confidence through the features that allow you to connect with others and feel less alone, but also through the way the app itself is centred around making you feel better. It is easy to navigate, fun to use, and helpful to anyone struggling in absolutely any way.
David K
iOS user
The app's just great! All I have to do is enter the topic in the search bar and I get the response real fast. I don't have to watch 10 YouTube videos to understand something, so I'm saving my time. Highly recommended!
Sudenaz Ocak
Android user
In school I was really bad at maths but thanks to the app, I am doing better now. I am so grateful that you made the app.
Greenlight Bonnie
Android user
very reliable app to help and grow your ideas of Maths, English and other related topics in your works. please use this app if your struggling in areas, this app is key for that. wish I'd of done a review before. and it's also free so don't worry about that.
Rohan U
Android user
I know a lot of apps use fake accounts to boost their reviews but this app deserves it all. Originally I was getting 4 in my English exams and this time I got a grade 7. I didn’t even know about this app three days until the exam and it has helped A LOT. Please actually trust me and use it as I’m sure you too will see developments.
Xander S
iOS user
THE QUIZES AND FLASHCARDS ARE SO USEFUL AND I LOVE Knowunity AI. IT ALSO IS LITREALLY LIKE CHATGPT BUT SMARTER!! HELPED ME WITH MY MASCARA PROBLEMS TOO!! AS WELL AS MY REAL SUBJECTS ! DUHHH 😍😁😲🤑💗✨🎀😮
Elisha
iOS user
This apps acc the goat. I find revision so boring but this app makes it so easy to organize it all and then you can ask the freeeee ai to test yourself so good and you can easily upload your own stuff. highly recommend as someone taking mocks now
Paul T
iOS user