Want to master functions and their properties? This guide breaks... Show more
Sign up to see the contentIt's free!
Access to all documents
Improve your grades
Join milions of students
By signing up you accept Terms of Service and Privacy Policy
Subjects
Classic Dramatic Literature
Modern Lyric Poetry
Influential English-Language Authors
Classic and Contemporary Novels
Literary Character Analysis
Romantic and Love Poetry
Reading Analysis and Interpretation
Evidence Analysis and Integration
Author's Stylistic Elements
Figurative Language and Rhetoric
Show all topics
Human Organ Systems
Cellular Organization and Development
Biomolecular Structure and Organization
Enzyme Structure and Regulation
Cellular Organization Types
Biological Homeostatic Processes
Cellular Membrane Structure
Autotrophic Energy Processes
Environmental Sustainability and Impact
Neural Communication Systems
Show all topics
Social Sciences Research & Practice
Social Structure and Mobility
Classic Social Influence Experiments
Social Systems Theories
Family and Relationship Dynamics
Memory Systems and Processes
Neural Bases of Behavior
Social Influence and Attraction
Psychotherapeutic Approaches
Human Agency and Responsibility
Show all topics
Chemical Sciences and Applications
Chemical Bond Types and Properties
Organic Functional Groups
Atomic Structure and Composition
Chromatographic Separation Principles
Chemical Compound Classifications
Electrochemical Cell Systems
Periodic Table Organization
Chemical Reaction Kinetics
Chemical Equation Conservation
Show all topics
Nazi Germany and Holocaust 1933-1945
World Wars and Peace Treaties
European Monarchs and Statesmen
Cold War Global Tensions
Medieval Institutions and Systems
European Renaissance and Enlightenment
Modern Global Environmental-Health Challenges
Modern Military Conflicts
Medieval Migration and Invasions
World Wars Era and Impact
Show all topics
19
•
Updated 26 Feb 2026
•
Josh
@josh_025
Want to master functions and their properties? This guide breaks... Show more











This topic covers four essential areas that build on each other. Functions and models form the foundation, followed by domain and range concepts, then limits using numerical and graphical methods, and finally algebraic limits and continuity.
Think of this as your roadmap to understanding how mathematical relationships work. Each section prepares you for more advanced calculus concepts you'll encounter later.

Ever wondered what makes something a function? It's simpler than you think - a function is just a special type of relation where each input has exactly one output. Unlike regular relations, no two ordered pairs can have the same first element.
Here's the key difference: if you can draw a vertical line through a graph and it touches the curve more than once, it's not a function. For example, y = x² is a function, but x = y² isn't because it fails the vertical line test.
Functions use special notation like f(x) = x², which is just another way of writing y = x². This notation makes it easier to work with and substitute values.
Quick Tip: Remember the vertical line test - it's your go-to method for identifying functions on graphs!

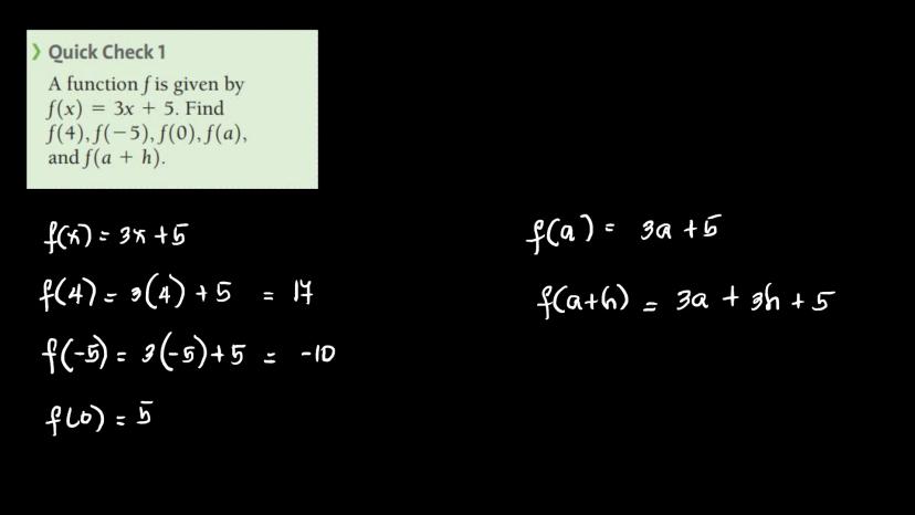
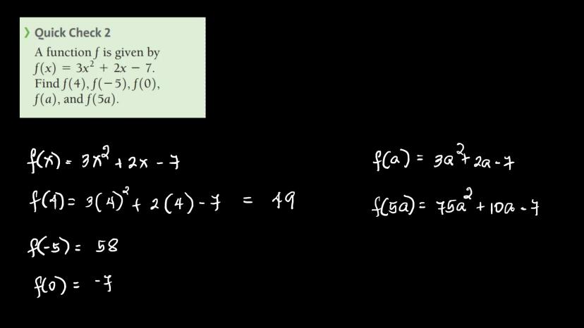
Function evaluation is like following a recipe - you substitute the given value for x and calculate the result. With f(x) = 3x + 5, finding f(4) means replacing every x with 4: f(4) = 3(4) + 5 = 17.
The real power comes when you work with variables. For f(a), you get 3a + 5, and for f, you get 3 + 5 = 3a + 3h + 5.
This skill becomes crucial for more advanced topics like derivatives, so practice until substituting values feels automatic.
Pro Tip: Always work step-by-step and double-check your arithmetic - small errors here lead to big problems later!

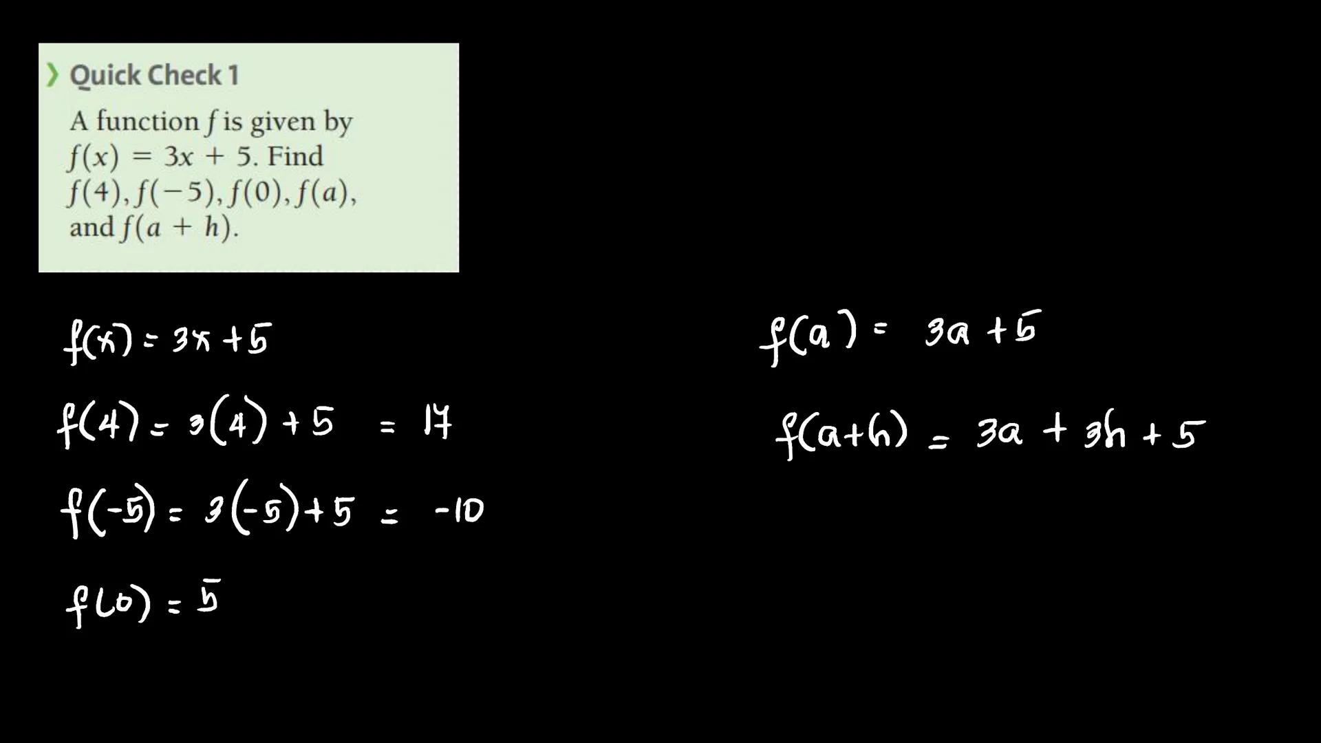
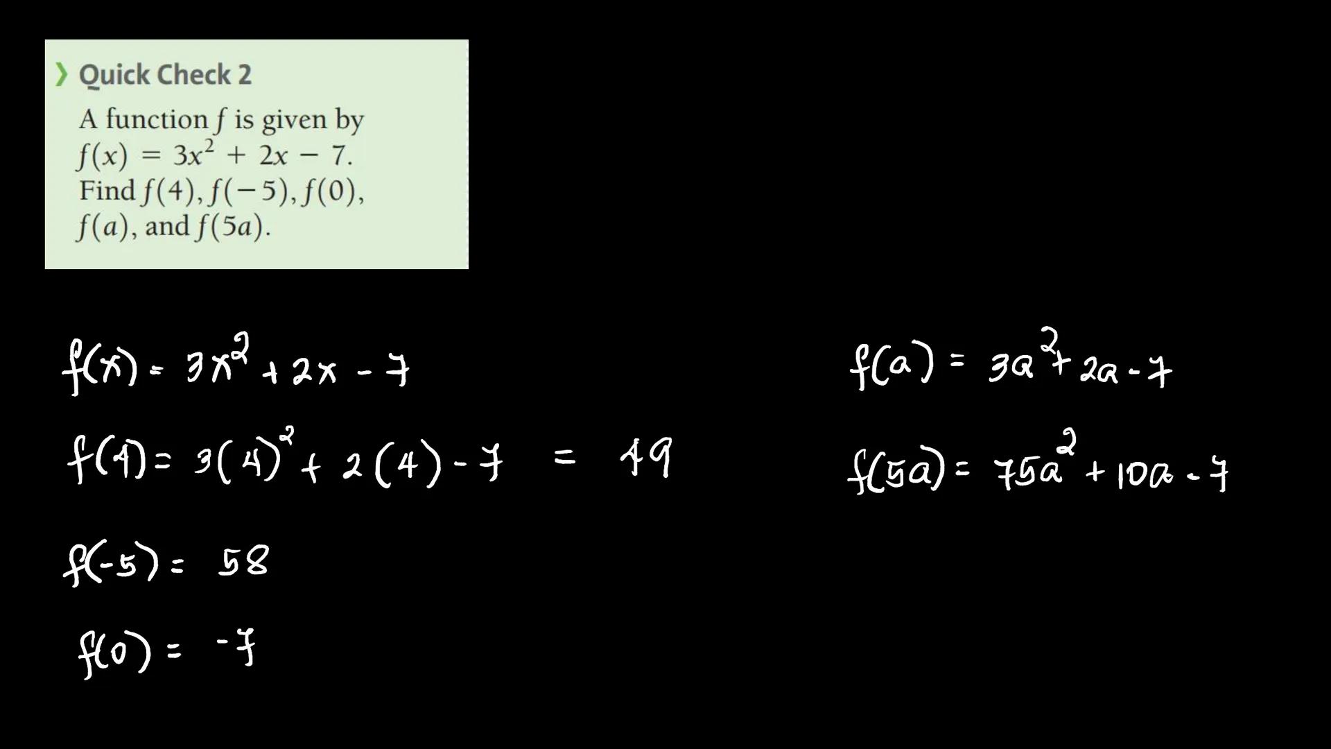
Quadratic functions like f(x) = 3x² + 2x - 7 require extra care because you're dealing with squared terms. When evaluating f(4), you calculate 3(4)² + 2(4) - 7 = 48 + 8 - 7 = 49.
For variables, f(a) = 3a² + 2a - 7, and f(5a) = 3(5a)² + 2(5a) - 7 = 75a² + 10a - 7. Notice how (5a)² becomes 25a², then multiplied by 3 gives 75a².
The key is handling the order of operations correctly - squares first, then multiplication, then addition and subtraction.
Watch Out: (5a)² = 25a², not 5a². This is one of the most common mistakes students make!

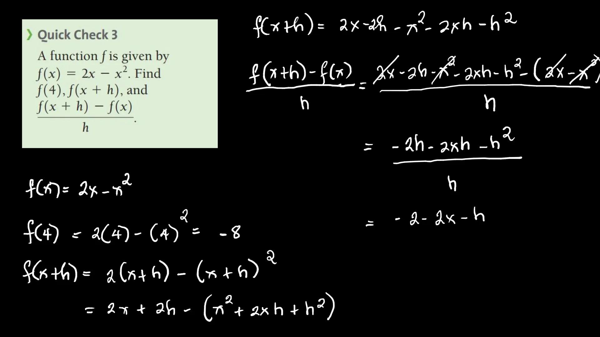
The difference quotient /h might look intimidating, but it's just measuring how much a function changes. For f(x) = 2x - x², you first find f = 2 - ².
Expanding gives f = 2x + 2h - x² - 2xh - h². Then subtract f(x) to get -2h - 2xh - h². Finally, divide by h to get -2 - 2x - h.
This concept becomes the foundation for derivatives in calculus - you're essentially finding the slope of a curve at any point.
Key Insight: The difference quotient measures the average rate of change, which leads directly to instantaneous rate of change in calculus!

Graphing quadratic functions like f(x) = 2 - x² starts with recognizing the basic shape. Since the coefficient of x² is negative, this parabola opens downward with vertex at (0, 2).
Create a table of values to plot points: when x = -2, y = 2 - 4 = -2; when x = 0, y = 2; when x = 2, y = -2. The symmetry around the vertex makes graphing easier.
The vertex form y - 2 = -² clearly shows the vertex at (0, 2) and confirms the downward opening.
Memory Aid: Negative coefficient of x² means sad parabola (opens down), positive means happy parabola (opens up)!

Piecewise functions are like mathematical chameleons - they change their behavior based on the input value. For the given function, you have three different rules for three different intervals.
When x ≤ 0, f(x) = 4 (horizontal line). For 0 < x ≤ 2, f(x) = 4 - x² (downward parabola starting from (0,4)). When x > 2, f(x) = 2x - 6 (straight line with slope 2).
Pay attention to the inequality symbols - they tell you whether to include endpoints with solid or open dots.
Graphing Tip: Draw each piece separately, then check the endpoints to see if they connect or have breaks!

Sometimes piecewise functions have unusual definitions, like a single point with one value and everywhere else with another. Here, f(-2) = 1 specifically, while f(x) = 2 - x for all other x values.
Graph y = 2 - x normally (a straight line), but place an open circle at (-2, 4) since that point isn't included. Then add a solid dot at (-2, 1) to show the special case.
This creates a function with a "hole" in the line and an isolated point above it.
Important: The solid dot shows where the function actually is, while the open circle shows where it would be on the main rule!

Domain and range are about understanding what goes in and what comes out of a function. The domain consists of all possible input values , while the range includes all possible output values .
Interval notation provides a clean way to express these sets. You'll use brackets [ ] for included endpoints and parentheses ( ) for excluded endpoints.
This topic builds directly on your function knowledge and prepares you for more advanced concepts in calculus.
Think of it this way: Domain is like the ingredients you can use, range is like the dishes you can actually make!

Our AI Companion is a student-focused AI tool that offers more than just answers. Built on millions of Knowunity resources, it provides relevant information, personalised study plans, quizzes, and content directly in the chat, adapting to your individual learning journey.
You can download the app from Google Play Store and Apple App Store.
That's right! Enjoy free access to study content, connect with fellow students, and get instant help – all at your fingertips.
App Store
Google Play
The app is very easy to use and well designed. I have found everything I was looking for so far and have been able to learn a lot from the presentations! I will definitely use the app for a class assignment! And of course it also helps a lot as an inspiration.
Stefan S
iOS user
This app is really great. There are so many study notes and help [...]. My problem subject is French, for example, and the app has so many options for help. Thanks to this app, I have improved my French. I would recommend it to anyone.
Samantha Klich
Android user
Wow, I am really amazed. I just tried the app because I've seen it advertised many times and was absolutely stunned. This app is THE HELP you want for school and above all, it offers so many things, such as workouts and fact sheets, which have been VERY helpful to me personally.
Anna
iOS user
Best app on earth! no words because it’s too good
Thomas R
iOS user
Just amazing. Let's me revise 10x better, this app is a quick 10/10. I highly recommend it to anyone. I can watch and search for notes. I can save them in the subject folder. I can revise it any time when I come back. If you haven't tried this app, you're really missing out.
Basil
Android user
This app has made me feel so much more confident in my exam prep, not only through boosting my own self confidence through the features that allow you to connect with others and feel less alone, but also through the way the app itself is centred around making you feel better. It is easy to navigate, fun to use, and helpful to anyone struggling in absolutely any way.
David K
iOS user
The app's just great! All I have to do is enter the topic in the search bar and I get the response real fast. I don't have to watch 10 YouTube videos to understand something, so I'm saving my time. Highly recommended!
Sudenaz Ocak
Android user
In school I was really bad at maths but thanks to the app, I am doing better now. I am so grateful that you made the app.
Greenlight Bonnie
Android user
very reliable app to help and grow your ideas of Maths, English and other related topics in your works. please use this app if your struggling in areas, this app is key for that. wish I'd of done a review before. and it's also free so don't worry about that.
Rohan U
Android user
I know a lot of apps use fake accounts to boost their reviews but this app deserves it all. Originally I was getting 4 in my English exams and this time I got a grade 7. I didn’t even know about this app three days until the exam and it has helped A LOT. Please actually trust me and use it as I’m sure you too will see developments.
Xander S
iOS user
THE QUIZES AND FLASHCARDS ARE SO USEFUL AND I LOVE Knowunity AI. IT ALSO IS LITREALLY LIKE CHATGPT BUT SMARTER!! HELPED ME WITH MY MASCARA PROBLEMS TOO!! AS WELL AS MY REAL SUBJECTS ! DUHHH 😍😁😲🤑💗✨🎀😮
Elisha
iOS user
This apps acc the goat. I find revision so boring but this app makes it so easy to organize it all and then you can ask the freeeee ai to test yourself so good and you can easily upload your own stuff. highly recommend as someone taking mocks now
Paul T
iOS user
The app is very easy to use and well designed. I have found everything I was looking for so far and have been able to learn a lot from the presentations! I will definitely use the app for a class assignment! And of course it also helps a lot as an inspiration.
Stefan S
iOS user
This app is really great. There are so many study notes and help [...]. My problem subject is French, for example, and the app has so many options for help. Thanks to this app, I have improved my French. I would recommend it to anyone.
Samantha Klich
Android user
Wow, I am really amazed. I just tried the app because I've seen it advertised many times and was absolutely stunned. This app is THE HELP you want for school and above all, it offers so many things, such as workouts and fact sheets, which have been VERY helpful to me personally.
Anna
iOS user
Best app on earth! no words because it’s too good
Thomas R
iOS user
Just amazing. Let's me revise 10x better, this app is a quick 10/10. I highly recommend it to anyone. I can watch and search for notes. I can save them in the subject folder. I can revise it any time when I come back. If you haven't tried this app, you're really missing out.
Basil
Android user
This app has made me feel so much more confident in my exam prep, not only through boosting my own self confidence through the features that allow you to connect with others and feel less alone, but also through the way the app itself is centred around making you feel better. It is easy to navigate, fun to use, and helpful to anyone struggling in absolutely any way.
David K
iOS user
The app's just great! All I have to do is enter the topic in the search bar and I get the response real fast. I don't have to watch 10 YouTube videos to understand something, so I'm saving my time. Highly recommended!
Sudenaz Ocak
Android user
In school I was really bad at maths but thanks to the app, I am doing better now. I am so grateful that you made the app.
Greenlight Bonnie
Android user
very reliable app to help and grow your ideas of Maths, English and other related topics in your works. please use this app if your struggling in areas, this app is key for that. wish I'd of done a review before. and it's also free so don't worry about that.
Rohan U
Android user
I know a lot of apps use fake accounts to boost their reviews but this app deserves it all. Originally I was getting 4 in my English exams and this time I got a grade 7. I didn’t even know about this app three days until the exam and it has helped A LOT. Please actually trust me and use it as I’m sure you too will see developments.
Xander S
iOS user
THE QUIZES AND FLASHCARDS ARE SO USEFUL AND I LOVE Knowunity AI. IT ALSO IS LITREALLY LIKE CHATGPT BUT SMARTER!! HELPED ME WITH MY MASCARA PROBLEMS TOO!! AS WELL AS MY REAL SUBJECTS ! DUHHH 😍😁😲🤑💗✨🎀😮
Elisha
iOS user
This apps acc the goat. I find revision so boring but this app makes it so easy to organize it all and then you can ask the freeeee ai to test yourself so good and you can easily upload your own stuff. highly recommend as someone taking mocks now
Paul T
iOS user
Josh
@josh_025
Want to master functions and their properties? This guide breaks down everything you need to know about functions, from basic definitions to finding domains and ranges. You'll learn how to work with function notation, graph different types of functions, and... Show more

Access to all documents
Improve your grades
Join milions of students
By signing up you accept Terms of Service and Privacy Policy
This topic covers four essential areas that build on each other. Functions and models form the foundation, followed by domain and range concepts, then limits using numerical and graphical methods, and finally algebraic limits and continuity.
Think of this as your roadmap to understanding how mathematical relationships work. Each section prepares you for more advanced calculus concepts you'll encounter later.

Access to all documents
Improve your grades
Join milions of students
By signing up you accept Terms of Service and Privacy Policy
Ever wondered what makes something a function? It's simpler than you think - a function is just a special type of relation where each input has exactly one output. Unlike regular relations, no two ordered pairs can have the same first element.
Here's the key difference: if you can draw a vertical line through a graph and it touches the curve more than once, it's not a function. For example, y = x² is a function, but x = y² isn't because it fails the vertical line test.
Functions use special notation like f(x) = x², which is just another way of writing y = x². This notation makes it easier to work with and substitute values.
Quick Tip: Remember the vertical line test - it's your go-to method for identifying functions on graphs!

Access to all documents
Improve your grades
Join milions of students
By signing up you accept Terms of Service and Privacy Policy
Function evaluation is like following a recipe - you substitute the given value for x and calculate the result. With f(x) = 3x + 5, finding f(4) means replacing every x with 4: f(4) = 3(4) + 5 = 17.
The real power comes when you work with variables. For f(a), you get 3a + 5, and for f, you get 3 + 5 = 3a + 3h + 5.
This skill becomes crucial for more advanced topics like derivatives, so practice until substituting values feels automatic.
Pro Tip: Always work step-by-step and double-check your arithmetic - small errors here lead to big problems later!

Access to all documents
Improve your grades
Join milions of students
By signing up you accept Terms of Service and Privacy Policy
Quadratic functions like f(x) = 3x² + 2x - 7 require extra care because you're dealing with squared terms. When evaluating f(4), you calculate 3(4)² + 2(4) - 7 = 48 + 8 - 7 = 49.
For variables, f(a) = 3a² + 2a - 7, and f(5a) = 3(5a)² + 2(5a) - 7 = 75a² + 10a - 7. Notice how (5a)² becomes 25a², then multiplied by 3 gives 75a².
The key is handling the order of operations correctly - squares first, then multiplication, then addition and subtraction.
Watch Out: (5a)² = 25a², not 5a². This is one of the most common mistakes students make!

Access to all documents
Improve your grades
Join milions of students
By signing up you accept Terms of Service and Privacy Policy
The difference quotient /h might look intimidating, but it's just measuring how much a function changes. For f(x) = 2x - x², you first find f = 2 - ².
Expanding gives f = 2x + 2h - x² - 2xh - h². Then subtract f(x) to get -2h - 2xh - h². Finally, divide by h to get -2 - 2x - h.
This concept becomes the foundation for derivatives in calculus - you're essentially finding the slope of a curve at any point.
Key Insight: The difference quotient measures the average rate of change, which leads directly to instantaneous rate of change in calculus!

Access to all documents
Improve your grades
Join milions of students
By signing up you accept Terms of Service and Privacy Policy
Graphing quadratic functions like f(x) = 2 - x² starts with recognizing the basic shape. Since the coefficient of x² is negative, this parabola opens downward with vertex at (0, 2).
Create a table of values to plot points: when x = -2, y = 2 - 4 = -2; when x = 0, y = 2; when x = 2, y = -2. The symmetry around the vertex makes graphing easier.
The vertex form y - 2 = -² clearly shows the vertex at (0, 2) and confirms the downward opening.
Memory Aid: Negative coefficient of x² means sad parabola (opens down), positive means happy parabola (opens up)!

Access to all documents
Improve your grades
Join milions of students
By signing up you accept Terms of Service and Privacy Policy
Piecewise functions are like mathematical chameleons - they change their behavior based on the input value. For the given function, you have three different rules for three different intervals.
When x ≤ 0, f(x) = 4 (horizontal line). For 0 < x ≤ 2, f(x) = 4 - x² (downward parabola starting from (0,4)). When x > 2, f(x) = 2x - 6 (straight line with slope 2).
Pay attention to the inequality symbols - they tell you whether to include endpoints with solid or open dots.
Graphing Tip: Draw each piece separately, then check the endpoints to see if they connect or have breaks!

Access to all documents
Improve your grades
Join milions of students
By signing up you accept Terms of Service and Privacy Policy
Sometimes piecewise functions have unusual definitions, like a single point with one value and everywhere else with another. Here, f(-2) = 1 specifically, while f(x) = 2 - x for all other x values.
Graph y = 2 - x normally (a straight line), but place an open circle at (-2, 4) since that point isn't included. Then add a solid dot at (-2, 1) to show the special case.
This creates a function with a "hole" in the line and an isolated point above it.
Important: The solid dot shows where the function actually is, while the open circle shows where it would be on the main rule!

Access to all documents
Improve your grades
Join milions of students
By signing up you accept Terms of Service and Privacy Policy
Domain and range are about understanding what goes in and what comes out of a function. The domain consists of all possible input values , while the range includes all possible output values .
Interval notation provides a clean way to express these sets. You'll use brackets [ ] for included endpoints and parentheses ( ) for excluded endpoints.
This topic builds directly on your function knowledge and prepares you for more advanced concepts in calculus.
Think of it this way: Domain is like the ingredients you can use, range is like the dishes you can actually make!

Access to all documents
Improve your grades
Join milions of students
By signing up you accept Terms of Service and Privacy Policy
Our AI Companion is a student-focused AI tool that offers more than just answers. Built on millions of Knowunity resources, it provides relevant information, personalised study plans, quizzes, and content directly in the chat, adapting to your individual learning journey.
You can download the app from Google Play Store and Apple App Store.
That's right! Enjoy free access to study content, connect with fellow students, and get instant help – all at your fingertips.
0
Smart Tools NEW
Transform this note into: ✓ 50+ Practice Questions ✓ Interactive Flashcards ✓ Full Mock Exam ✓ Essay Outlines
App Store
Google Play
The app is very easy to use and well designed. I have found everything I was looking for so far and have been able to learn a lot from the presentations! I will definitely use the app for a class assignment! And of course it also helps a lot as an inspiration.
Stefan S
iOS user
This app is really great. There are so many study notes and help [...]. My problem subject is French, for example, and the app has so many options for help. Thanks to this app, I have improved my French. I would recommend it to anyone.
Samantha Klich
Android user
Wow, I am really amazed. I just tried the app because I've seen it advertised many times and was absolutely stunned. This app is THE HELP you want for school and above all, it offers so many things, such as workouts and fact sheets, which have been VERY helpful to me personally.
Anna
iOS user
Best app on earth! no words because it’s too good
Thomas R
iOS user
Just amazing. Let's me revise 10x better, this app is a quick 10/10. I highly recommend it to anyone. I can watch and search for notes. I can save them in the subject folder. I can revise it any time when I come back. If you haven't tried this app, you're really missing out.
Basil
Android user
This app has made me feel so much more confident in my exam prep, not only through boosting my own self confidence through the features that allow you to connect with others and feel less alone, but also through the way the app itself is centred around making you feel better. It is easy to navigate, fun to use, and helpful to anyone struggling in absolutely any way.
David K
iOS user
The app's just great! All I have to do is enter the topic in the search bar and I get the response real fast. I don't have to watch 10 YouTube videos to understand something, so I'm saving my time. Highly recommended!
Sudenaz Ocak
Android user
In school I was really bad at maths but thanks to the app, I am doing better now. I am so grateful that you made the app.
Greenlight Bonnie
Android user
very reliable app to help and grow your ideas of Maths, English and other related topics in your works. please use this app if your struggling in areas, this app is key for that. wish I'd of done a review before. and it's also free so don't worry about that.
Rohan U
Android user
I know a lot of apps use fake accounts to boost their reviews but this app deserves it all. Originally I was getting 4 in my English exams and this time I got a grade 7. I didn’t even know about this app three days until the exam and it has helped A LOT. Please actually trust me and use it as I’m sure you too will see developments.
Xander S
iOS user
THE QUIZES AND FLASHCARDS ARE SO USEFUL AND I LOVE Knowunity AI. IT ALSO IS LITREALLY LIKE CHATGPT BUT SMARTER!! HELPED ME WITH MY MASCARA PROBLEMS TOO!! AS WELL AS MY REAL SUBJECTS ! DUHHH 😍😁😲🤑💗✨🎀😮
Elisha
iOS user
This apps acc the goat. I find revision so boring but this app makes it so easy to organize it all and then you can ask the freeeee ai to test yourself so good and you can easily upload your own stuff. highly recommend as someone taking mocks now
Paul T
iOS user
The app is very easy to use and well designed. I have found everything I was looking for so far and have been able to learn a lot from the presentations! I will definitely use the app for a class assignment! And of course it also helps a lot as an inspiration.
Stefan S
iOS user
This app is really great. There are so many study notes and help [...]. My problem subject is French, for example, and the app has so many options for help. Thanks to this app, I have improved my French. I would recommend it to anyone.
Samantha Klich
Android user
Wow, I am really amazed. I just tried the app because I've seen it advertised many times and was absolutely stunned. This app is THE HELP you want for school and above all, it offers so many things, such as workouts and fact sheets, which have been VERY helpful to me personally.
Anna
iOS user
Best app on earth! no words because it’s too good
Thomas R
iOS user
Just amazing. Let's me revise 10x better, this app is a quick 10/10. I highly recommend it to anyone. I can watch and search for notes. I can save them in the subject folder. I can revise it any time when I come back. If you haven't tried this app, you're really missing out.
Basil
Android user
This app has made me feel so much more confident in my exam prep, not only through boosting my own self confidence through the features that allow you to connect with others and feel less alone, but also through the way the app itself is centred around making you feel better. It is easy to navigate, fun to use, and helpful to anyone struggling in absolutely any way.
David K
iOS user
The app's just great! All I have to do is enter the topic in the search bar and I get the response real fast. I don't have to watch 10 YouTube videos to understand something, so I'm saving my time. Highly recommended!
Sudenaz Ocak
Android user
In school I was really bad at maths but thanks to the app, I am doing better now. I am so grateful that you made the app.
Greenlight Bonnie
Android user
very reliable app to help and grow your ideas of Maths, English and other related topics in your works. please use this app if your struggling in areas, this app is key for that. wish I'd of done a review before. and it's also free so don't worry about that.
Rohan U
Android user
I know a lot of apps use fake accounts to boost their reviews but this app deserves it all. Originally I was getting 4 in my English exams and this time I got a grade 7. I didn’t even know about this app three days until the exam and it has helped A LOT. Please actually trust me and use it as I’m sure you too will see developments.
Xander S
iOS user
THE QUIZES AND FLASHCARDS ARE SO USEFUL AND I LOVE Knowunity AI. IT ALSO IS LITREALLY LIKE CHATGPT BUT SMARTER!! HELPED ME WITH MY MASCARA PROBLEMS TOO!! AS WELL AS MY REAL SUBJECTS ! DUHHH 😍😁😲🤑💗✨🎀😮
Elisha
iOS user
This apps acc the goat. I find revision so boring but this app makes it so easy to organize it all and then you can ask the freeeee ai to test yourself so good and you can easily upload your own stuff. highly recommend as someone taking mocks now
Paul T
iOS user