Standard form is a brilliant way to handle really massive... Show more
Sign up to see the contentIt's free!
Access to all documents
Improve your grades
Join milions of students
By signing up you accept Terms of Service and Privacy Policy
Subjects
Responding to change (a2 only)
Infection and response
Homeostasis and response
Energy transfers (a2 only)
Cell biology
Organisms respond to changes in their internal and external environments (a-level only)
Biological molecules
Organisation
Substance exchange
Bioenergetics
Genetic information & variation
Inheritance, variation and evolution
Genetics & ecosystems (a2 only)
Ecology
Cells
Show all topics
Britain & the wider world: 1745 -1901
1l the quest for political stability: germany, 1871-1991
The cold war
Inter-war germany
Medieval period: 1066 -1509
2d religious conflict and the church in england, c1529-c1570
2o democracy and nazism: germany, 1918-1945
1f industrialisation and the people: britain, c1783-1885
1c the tudors: england, 1485-1603
2m wars and welfare: britain in transition, 1906-1957
World war two & the holocaust
2n revolution and dictatorship: russia, 1917-1953
2s the making of modern britain, 1951-2007
World war one
Britain: 1509 -1745
Show all topics

24
0
Shannon
05/12/2025
Maths
standard form answers
525
•
5 Dec 2025
•
Shannon
@s_k_h
Standard form is a brilliant way to handle really massive... Show more









This is your complete guide to conquering standard form questions in your GCSE maths exam. The format follows official exam standards, so you'll know exactly what to expect on test day.
Remember to show all your working out - even if you get the wrong answer, you can still pick up marks for using the correct method. The marks in brackets tell you how much time and effort each question deserves.
Top Tip: Always double-check whether the question asks for standard form or ordinary numbers - mixing these up costs easy marks!

The basics are straightforward once you get the hang of it. Standard form always looks like a number between 1 and 10, multiplied by a power of 10.
When converting to an ordinary number, the positive power means you move the decimal point 5 places to the right, giving you 120,000. For negative powers like in , you move left instead - so 0.003 becomes your answer.
The key trick is remembering that positive powers make numbers bigger (move decimal right) whilst negative powers make numbers smaller (move decimal left). Practice this until it becomes automatic.
Quick Check: If you see a tiny decimal like 0.003, expect a negative power in standard form!

Multiplying and dividing in standard form becomes much easier when you split the problem into two parts. Handle the numbers separately from the powers of 10.
For division like , first work out , then deal with the powers: . Your final answer is .
When converting massive numbers like 5,600,000 into standard form, count how many places you need to move the decimal left to get a number between 1 and 10. That's your power - so .
Calculator Tip: Your calculator can handle standard form, but always double-check your answer makes sense!

Division in standard form follows the same split-and-conquer approach. For , divide the numbers normally, then subtract the powers: .
Watch out for tricky conversions like . This isn't proper standard form yet because 0.21 isn't between 1 and 10. Rewrite it as .
Multiplication works brilliantly in standard form - becomes , which you then tidy up to .
Power Rule: When multiplying, add the powers; when dividing, subtract them!

Sometimes you'll need to tackle standard form calculations by hand. Break everything down into standard form first - like changing 0.03 into .
For fraction calculations like , convert everything: . This becomes .
Large number multiplication like gives you , which you must convert to proper standard form: .
Memory Aid: Always check your final answer is in proper standard form - number between 1 and 10!

Ordering numbers in standard form requires a systematic approach. First, convert everything to the same format, then compare carefully.
For numbers like , , and , convert them all to ordinary numbers first: 610, 6.1, and 0.61. Now ordering becomes straightforward.
Real-world applications often involve sphere volume calculations like where . Your calculator handles the complex arithmetic, but you need to express the final answer correctly in standard form.
Exam Strategy: When ordering, convert to ordinary numbers first - it's much less confusing!

Standard form shines in real-world problems involving massive or tiny quantities. Whether calculating the weight of 12 rocks at grams each, or comparing planetary diameters, the method stays the same.
Space measurements like Neptune's diameter $5.0 \times 10^4$ km versus Mars $6.8 \times 10^3$ km become manageable. Convert to ordinary numbers, subtract, then convert back: km.
Microscopic calculations work identically. Finding the mass of 250 electrons when each weighs grams just means multiplying: grams.
Real-World Tip: Standard form makes impossible calculations possible - from atoms to planets!

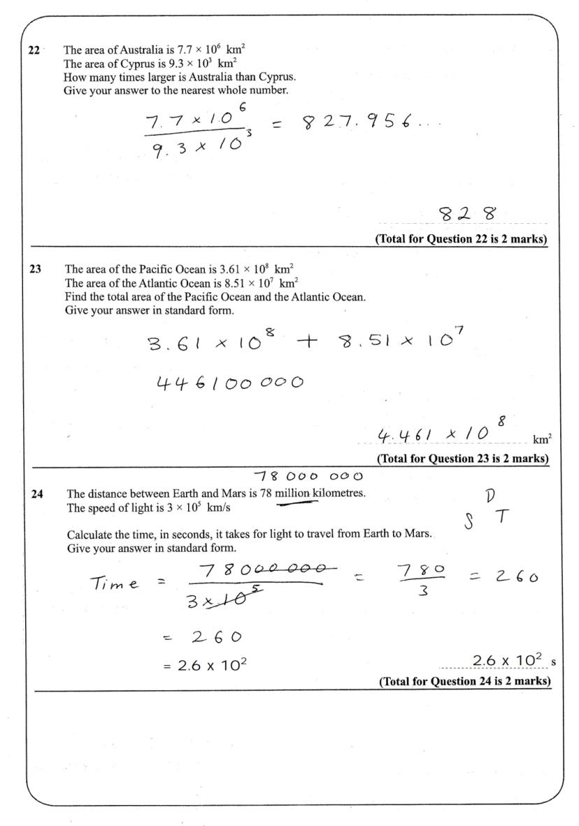
Comparison questions test your standard form skills differently. When Australia $7.7 \times 10^6$ km² is compared to Cyprus $9.3 \times 10^3$ km², you divide: times larger.
Adding different powers requires careful alignment. The Pacific Ocean $3.61 \times 10^8$ km² plus Atlantic Ocean $8.51 \times 10^7$ km² means rewriting as km².
Time calculations using distance and speed formulas work perfectly with standard form. Light travelling 78 million km at km/s takes seconds.
Success Strategy: Break complex problems into smaller steps - standard form makes each step manageable!
Our AI Companion is a student-focused AI tool that offers more than just answers. Built on millions of Knowunity resources, it provides relevant information, personalised study plans, quizzes, and content directly in the chat, adapting to your individual learning journey.
You can download the app from Google Play Store and Apple App Store.
That's right! Enjoy free access to study content, connect with fellow students, and get instant help – all at your fingertips.
App Store
Google Play
The app is very easy to use and well designed. I have found everything I was looking for so far and have been able to learn a lot from the presentations! I will definitely use the app for a class assignment! And of course it also helps a lot as an inspiration.
Stefan S
iOS user
This app is really great. There are so many study notes and help [...]. My problem subject is French, for example, and the app has so many options for help. Thanks to this app, I have improved my French. I would recommend it to anyone.
Samantha Klich
Android user
Wow, I am really amazed. I just tried the app because I've seen it advertised many times and was absolutely stunned. This app is THE HELP you want for school and above all, it offers so many things, such as workouts and fact sheets, which have been VERY helpful to me personally.
Anna
iOS user
Best app on earth! no words because it’s too good
Thomas R
iOS user
Just amazing. Let's me revise 10x better, this app is a quick 10/10. I highly recommend it to anyone. I can watch and search for notes. I can save them in the subject folder. I can revise it any time when I come back. If you haven't tried this app, you're really missing out.
Basil
Android user
This app has made me feel so much more confident in my exam prep, not only through boosting my own self confidence through the features that allow you to connect with others and feel less alone, but also through the way the app itself is centred around making you feel better. It is easy to navigate, fun to use, and helpful to anyone struggling in absolutely any way.
David K
iOS user
The app's just great! All I have to do is enter the topic in the search bar and I get the response real fast. I don't have to watch 10 YouTube videos to understand something, so I'm saving my time. Highly recommended!
Sudenaz Ocak
Android user
In school I was really bad at maths but thanks to the app, I am doing better now. I am so grateful that you made the app.
Greenlight Bonnie
Android user
very reliable app to help and grow your ideas of Maths, English and other related topics in your works. please use this app if your struggling in areas, this app is key for that. wish I'd of done a review before. and it's also free so don't worry about that.
Rohan U
Android user
I know a lot of apps use fake accounts to boost their reviews but this app deserves it all. Originally I was getting 4 in my English exams and this time I got a grade 7. I didn’t even know about this app three days until the exam and it has helped A LOT. Please actually trust me and use it as I’m sure you too will see developments.
Xander S
iOS user
THE QUIZES AND FLASHCARDS ARE SO USEFUL AND I LOVE THE SCHOOLGPT. IT ALSO IS LITREALLY LIKE CHATGPT BUT SMARTER!! HELPED ME WITH MY MASCARA PROBLEMS TOO!! AS WELL AS MY REAL SUBJECTS ! DUHHH 😍😁😲🤑💗✨🎀😮
Elisha
iOS user
This apps acc the goat. I find revision so boring but this app makes it so easy to organize it all and then you can ask the freeeee ai to test yourself so good and you can easily upload your own stuff. highly recommend as someone taking mocks now
Paul T
iOS user
The app is very easy to use and well designed. I have found everything I was looking for so far and have been able to learn a lot from the presentations! I will definitely use the app for a class assignment! And of course it also helps a lot as an inspiration.
Stefan S
iOS user
This app is really great. There are so many study notes and help [...]. My problem subject is French, for example, and the app has so many options for help. Thanks to this app, I have improved my French. I would recommend it to anyone.
Samantha Klich
Android user
Wow, I am really amazed. I just tried the app because I've seen it advertised many times and was absolutely stunned. This app is THE HELP you want for school and above all, it offers so many things, such as workouts and fact sheets, which have been VERY helpful to me personally.
Anna
iOS user
Best app on earth! no words because it’s too good
Thomas R
iOS user
Just amazing. Let's me revise 10x better, this app is a quick 10/10. I highly recommend it to anyone. I can watch and search for notes. I can save them in the subject folder. I can revise it any time when I come back. If you haven't tried this app, you're really missing out.
Basil
Android user
This app has made me feel so much more confident in my exam prep, not only through boosting my own self confidence through the features that allow you to connect with others and feel less alone, but also through the way the app itself is centred around making you feel better. It is easy to navigate, fun to use, and helpful to anyone struggling in absolutely any way.
David K
iOS user
The app's just great! All I have to do is enter the topic in the search bar and I get the response real fast. I don't have to watch 10 YouTube videos to understand something, so I'm saving my time. Highly recommended!
Sudenaz Ocak
Android user
In school I was really bad at maths but thanks to the app, I am doing better now. I am so grateful that you made the app.
Greenlight Bonnie
Android user
very reliable app to help and grow your ideas of Maths, English and other related topics in your works. please use this app if your struggling in areas, this app is key for that. wish I'd of done a review before. and it's also free so don't worry about that.
Rohan U
Android user
I know a lot of apps use fake accounts to boost their reviews but this app deserves it all. Originally I was getting 4 in my English exams and this time I got a grade 7. I didn’t even know about this app three days until the exam and it has helped A LOT. Please actually trust me and use it as I’m sure you too will see developments.
Xander S
iOS user
THE QUIZES AND FLASHCARDS ARE SO USEFUL AND I LOVE THE SCHOOLGPT. IT ALSO IS LITREALLY LIKE CHATGPT BUT SMARTER!! HELPED ME WITH MY MASCARA PROBLEMS TOO!! AS WELL AS MY REAL SUBJECTS ! DUHHH 😍😁😲🤑💗✨🎀😮
Elisha
iOS user
This apps acc the goat. I find revision so boring but this app makes it so easy to organize it all and then you can ask the freeeee ai to test yourself so good and you can easily upload your own stuff. highly recommend as someone taking mocks now
Paul T
iOS user
Shannon
@s_k_h
Standard form is a brilliant way to handle really massive numbers (like the distance to Mars) or incredibly tiny ones (like the mass of an electron) without drowning in zeros. You'll master converting between ordinary numbers and standard form, plus... Show more

Access to all documents
Improve your grades
Join milions of students
By signing up you accept Terms of Service and Privacy Policy
This is your complete guide to conquering standard form questions in your GCSE maths exam. The format follows official exam standards, so you'll know exactly what to expect on test day.
Remember to show all your working out - even if you get the wrong answer, you can still pick up marks for using the correct method. The marks in brackets tell you how much time and effort each question deserves.
Top Tip: Always double-check whether the question asks for standard form or ordinary numbers - mixing these up costs easy marks!

Access to all documents
Improve your grades
Join milions of students
By signing up you accept Terms of Service and Privacy Policy
The basics are straightforward once you get the hang of it. Standard form always looks like a number between 1 and 10, multiplied by a power of 10.
When converting to an ordinary number, the positive power means you move the decimal point 5 places to the right, giving you 120,000. For negative powers like in , you move left instead - so 0.003 becomes your answer.
The key trick is remembering that positive powers make numbers bigger (move decimal right) whilst negative powers make numbers smaller (move decimal left). Practice this until it becomes automatic.
Quick Check: If you see a tiny decimal like 0.003, expect a negative power in standard form!

Access to all documents
Improve your grades
Join milions of students
By signing up you accept Terms of Service and Privacy Policy
Multiplying and dividing in standard form becomes much easier when you split the problem into two parts. Handle the numbers separately from the powers of 10.
For division like , first work out , then deal with the powers: . Your final answer is .
When converting massive numbers like 5,600,000 into standard form, count how many places you need to move the decimal left to get a number between 1 and 10. That's your power - so .
Calculator Tip: Your calculator can handle standard form, but always double-check your answer makes sense!

Access to all documents
Improve your grades
Join milions of students
By signing up you accept Terms of Service and Privacy Policy
Division in standard form follows the same split-and-conquer approach. For , divide the numbers normally, then subtract the powers: .
Watch out for tricky conversions like . This isn't proper standard form yet because 0.21 isn't between 1 and 10. Rewrite it as .
Multiplication works brilliantly in standard form - becomes , which you then tidy up to .
Power Rule: When multiplying, add the powers; when dividing, subtract them!

Access to all documents
Improve your grades
Join milions of students
By signing up you accept Terms of Service and Privacy Policy
Sometimes you'll need to tackle standard form calculations by hand. Break everything down into standard form first - like changing 0.03 into .
For fraction calculations like , convert everything: . This becomes .
Large number multiplication like gives you , which you must convert to proper standard form: .
Memory Aid: Always check your final answer is in proper standard form - number between 1 and 10!

Access to all documents
Improve your grades
Join milions of students
By signing up you accept Terms of Service and Privacy Policy
Ordering numbers in standard form requires a systematic approach. First, convert everything to the same format, then compare carefully.
For numbers like , , and , convert them all to ordinary numbers first: 610, 6.1, and 0.61. Now ordering becomes straightforward.
Real-world applications often involve sphere volume calculations like where . Your calculator handles the complex arithmetic, but you need to express the final answer correctly in standard form.
Exam Strategy: When ordering, convert to ordinary numbers first - it's much less confusing!

Access to all documents
Improve your grades
Join milions of students
By signing up you accept Terms of Service and Privacy Policy
Standard form shines in real-world problems involving massive or tiny quantities. Whether calculating the weight of 12 rocks at grams each, or comparing planetary diameters, the method stays the same.
Space measurements like Neptune's diameter $5.0 \times 10^4$ km versus Mars $6.8 \times 10^3$ km become manageable. Convert to ordinary numbers, subtract, then convert back: km.
Microscopic calculations work identically. Finding the mass of 250 electrons when each weighs grams just means multiplying: grams.
Real-World Tip: Standard form makes impossible calculations possible - from atoms to planets!

Access to all documents
Improve your grades
Join milions of students
By signing up you accept Terms of Service and Privacy Policy
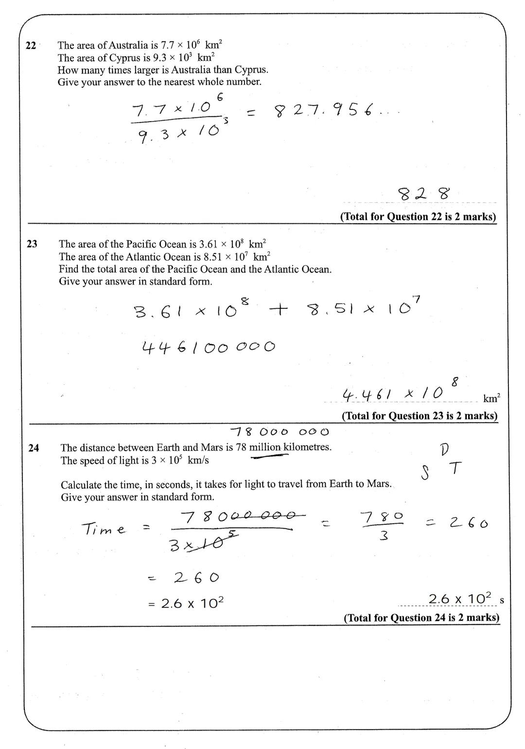
Comparison questions test your standard form skills differently. When Australia $7.7 \times 10^6$ km² is compared to Cyprus $9.3 \times 10^3$ km², you divide: times larger.
Adding different powers requires careful alignment. The Pacific Ocean $3.61 \times 10^8$ km² plus Atlantic Ocean $8.51 \times 10^7$ km² means rewriting as km².
Time calculations using distance and speed formulas work perfectly with standard form. Light travelling 78 million km at km/s takes seconds.
Success Strategy: Break complex problems into smaller steps - standard form makes each step manageable!
Our AI Companion is a student-focused AI tool that offers more than just answers. Built on millions of Knowunity resources, it provides relevant information, personalised study plans, quizzes, and content directly in the chat, adapting to your individual learning journey.
You can download the app from Google Play Store and Apple App Store.
That's right! Enjoy free access to study content, connect with fellow students, and get instant help – all at your fingertips.
24
Smart Tools NEW
Transform this note into: ✓ 50+ Practice Questions ✓ Interactive Flashcards ✓ Full Mock Exam ✓ Essay Outlines
Explore the fundamentals of Standard Form (Scientific Notation) in mathematics. This study note covers how to express large and small numbers using powers of ten, the significance of place value, and practical examples for converting between standard and ordinary forms. Ideal for students looking to master the concept of scientific notation and its applications.
This concise study note covers the essentials of Standard Form, including conversion between standard and ordinary numbers, powers of 10, and practical examples. Ideal for GCSE Maths revision, it also touches on related concepts like formula manipulation and inequalities. Perfect for students preparing for exams.
Explore the concept of standard form (scientific notation) in mathematics. This summary covers how to express large and small numbers using powers of ten, including examples and conversion techniques. Ideal for students looking to master scientific notation and its applications.
Enhance your understanding of key mathematical concepts with this comprehensive practice paper from the WJEC 2022 exam. Covering topics such as triangle congruence, Venn diagrams, trigonometric equations, and inequalities, this resource is designed to help students prepare effectively for their exams. Ideal for revision and self-assessment.
Explore essential concepts in GCSE Maths, including the rules for multiplying and dividing negative numbers, understanding standard form, and the order of operations (BIDMAS). This summary provides clear explanations and examples to enhance your mathematical skills.
App Store
Google Play
The app is very easy to use and well designed. I have found everything I was looking for so far and have been able to learn a lot from the presentations! I will definitely use the app for a class assignment! And of course it also helps a lot as an inspiration.
Stefan S
iOS user
This app is really great. There are so many study notes and help [...]. My problem subject is French, for example, and the app has so many options for help. Thanks to this app, I have improved my French. I would recommend it to anyone.
Samantha Klich
Android user
Wow, I am really amazed. I just tried the app because I've seen it advertised many times and was absolutely stunned. This app is THE HELP you want for school and above all, it offers so many things, such as workouts and fact sheets, which have been VERY helpful to me personally.
Anna
iOS user
Best app on earth! no words because it’s too good
Thomas R
iOS user
Just amazing. Let's me revise 10x better, this app is a quick 10/10. I highly recommend it to anyone. I can watch and search for notes. I can save them in the subject folder. I can revise it any time when I come back. If you haven't tried this app, you're really missing out.
Basil
Android user
This app has made me feel so much more confident in my exam prep, not only through boosting my own self confidence through the features that allow you to connect with others and feel less alone, but also through the way the app itself is centred around making you feel better. It is easy to navigate, fun to use, and helpful to anyone struggling in absolutely any way.
David K
iOS user
The app's just great! All I have to do is enter the topic in the search bar and I get the response real fast. I don't have to watch 10 YouTube videos to understand something, so I'm saving my time. Highly recommended!
Sudenaz Ocak
Android user
In school I was really bad at maths but thanks to the app, I am doing better now. I am so grateful that you made the app.
Greenlight Bonnie
Android user
very reliable app to help and grow your ideas of Maths, English and other related topics in your works. please use this app if your struggling in areas, this app is key for that. wish I'd of done a review before. and it's also free so don't worry about that.
Rohan U
Android user
I know a lot of apps use fake accounts to boost their reviews but this app deserves it all. Originally I was getting 4 in my English exams and this time I got a grade 7. I didn’t even know about this app three days until the exam and it has helped A LOT. Please actually trust me and use it as I’m sure you too will see developments.
Xander S
iOS user
THE QUIZES AND FLASHCARDS ARE SO USEFUL AND I LOVE THE SCHOOLGPT. IT ALSO IS LITREALLY LIKE CHATGPT BUT SMARTER!! HELPED ME WITH MY MASCARA PROBLEMS TOO!! AS WELL AS MY REAL SUBJECTS ! DUHHH 😍😁😲🤑💗✨🎀😮
Elisha
iOS user
This apps acc the goat. I find revision so boring but this app makes it so easy to organize it all and then you can ask the freeeee ai to test yourself so good and you can easily upload your own stuff. highly recommend as someone taking mocks now
Paul T
iOS user
The app is very easy to use and well designed. I have found everything I was looking for so far and have been able to learn a lot from the presentations! I will definitely use the app for a class assignment! And of course it also helps a lot as an inspiration.
Stefan S
iOS user
This app is really great. There are so many study notes and help [...]. My problem subject is French, for example, and the app has so many options for help. Thanks to this app, I have improved my French. I would recommend it to anyone.
Samantha Klich
Android user
Wow, I am really amazed. I just tried the app because I've seen it advertised many times and was absolutely stunned. This app is THE HELP you want for school and above all, it offers so many things, such as workouts and fact sheets, which have been VERY helpful to me personally.
Anna
iOS user
Best app on earth! no words because it’s too good
Thomas R
iOS user
Just amazing. Let's me revise 10x better, this app is a quick 10/10. I highly recommend it to anyone. I can watch and search for notes. I can save them in the subject folder. I can revise it any time when I come back. If you haven't tried this app, you're really missing out.
Basil
Android user
This app has made me feel so much more confident in my exam prep, not only through boosting my own self confidence through the features that allow you to connect with others and feel less alone, but also through the way the app itself is centred around making you feel better. It is easy to navigate, fun to use, and helpful to anyone struggling in absolutely any way.
David K
iOS user
The app's just great! All I have to do is enter the topic in the search bar and I get the response real fast. I don't have to watch 10 YouTube videos to understand something, so I'm saving my time. Highly recommended!
Sudenaz Ocak
Android user
In school I was really bad at maths but thanks to the app, I am doing better now. I am so grateful that you made the app.
Greenlight Bonnie
Android user
very reliable app to help and grow your ideas of Maths, English and other related topics in your works. please use this app if your struggling in areas, this app is key for that. wish I'd of done a review before. and it's also free so don't worry about that.
Rohan U
Android user
I know a lot of apps use fake accounts to boost their reviews but this app deserves it all. Originally I was getting 4 in my English exams and this time I got a grade 7. I didn’t even know about this app three days until the exam and it has helped A LOT. Please actually trust me and use it as I’m sure you too will see developments.
Xander S
iOS user
THE QUIZES AND FLASHCARDS ARE SO USEFUL AND I LOVE THE SCHOOLGPT. IT ALSO IS LITREALLY LIKE CHATGPT BUT SMARTER!! HELPED ME WITH MY MASCARA PROBLEMS TOO!! AS WELL AS MY REAL SUBJECTS ! DUHHH 😍😁😲🤑💗✨🎀😮
Elisha
iOS user
This apps acc the goat. I find revision so boring but this app makes it so easy to organize it all and then you can ask the freeeee ai to test yourself so good and you can easily upload your own stuff. highly recommend as someone taking mocks now
Paul T
iOS user