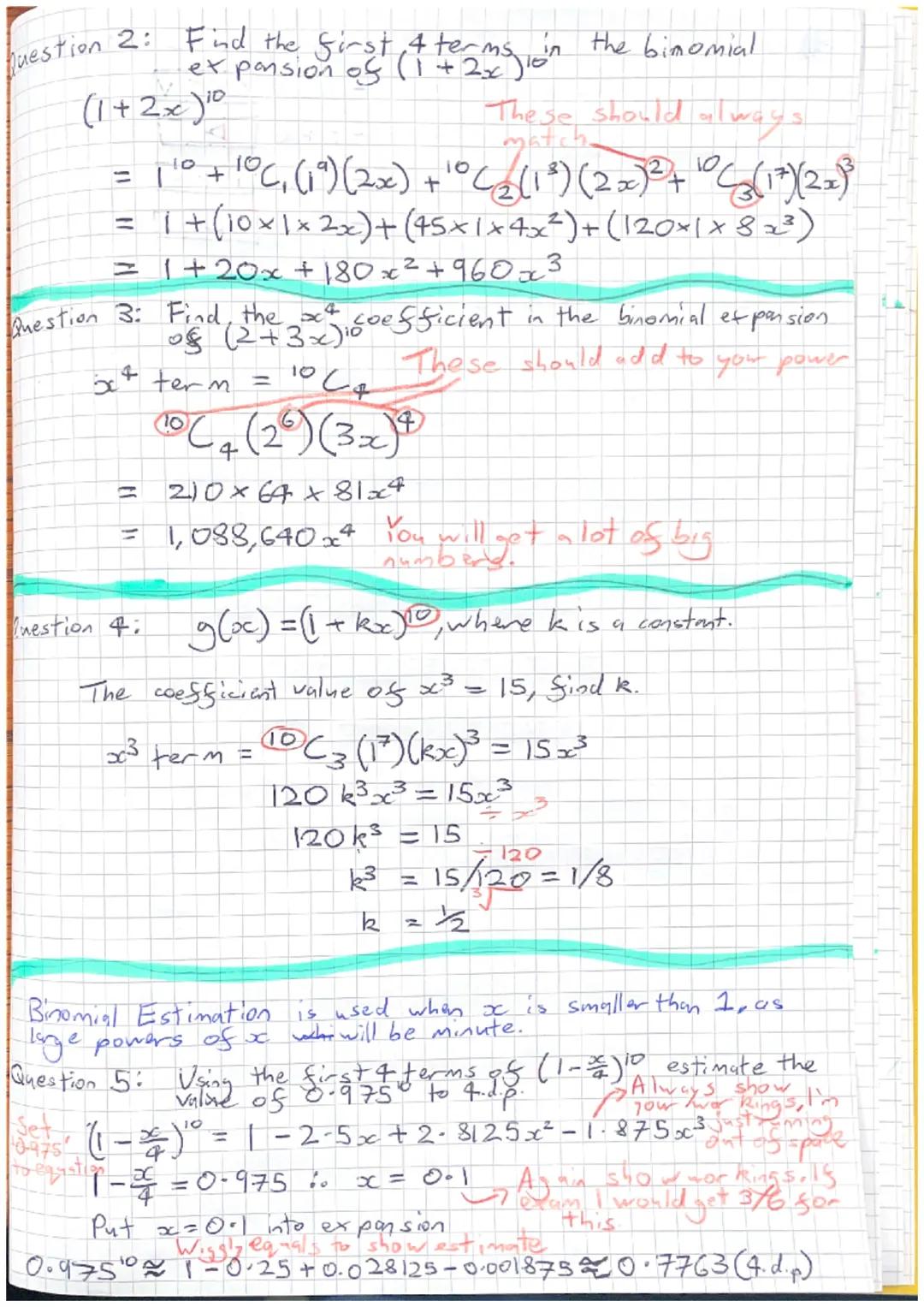
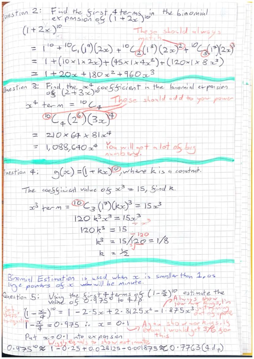
Covers: Pascal’s Triangle, Factorial Notation, The Binomial Expansion, Solving binomial problems, binomial estimation and the calculator location button for nCr.
Sign up to see the contentIt's free!
Access to all documents
Improve your grades
Join milions of students
By signing up you accept Terms of Service and Privacy Policy







