Arithmetic sequences are everywhere - from your weekly pocket money... Show more
Sign up to see the contentIt's free!
Access to all documents
Improve your grades
Join milions of students
By signing up you accept Terms of Service and Privacy Policy
Subjects
Responding to change (a2 only)
Infection and response
Homeostasis and response
Energy transfers (a2 only)
Cell biology
Organisms respond to changes in their internal and external environments (a-level only)
Biological molecules
Organisation
Substance exchange
Bioenergetics
Genetic information & variation
Inheritance, variation and evolution
Genetics & ecosystems (a2 only)
Ecology
Cells
Show all topics
1l the quest for political stability: germany, 1871-1991
Britain & the wider world: 1745 -1901
The cold war
Inter-war germany
Medieval period: 1066 -1509
2d religious conflict and the church in england, c1529-c1570
2o democracy and nazism: germany, 1918-1945
1f industrialisation and the people: britain, c1783-1885
1c the tudors: england, 1485-1603
2m wars and welfare: britain in transition, 1906-1957
World war two & the holocaust
2n revolution and dictatorship: russia, 1917-1953
2s the making of modern britain, 1951-2007
World war one
Britain: 1509 -1745
Show all topics

2
0
๐ธ๐ฆ๐ธ๏ธ๐ฑ๐ฅ๐ข๐ฌ๐ธ๏ธ๐ฆ๐ธ
01/12/2025
Maths
Arithmetic Sequences
206
โข
1 Dec 2025
โข
๐ธ๐ฆ๐ธ๏ธ๐ฑ๐ฅ๐ข๐ฌ๐ธ๏ธ๐ฆ๐ธ
@gh0styb0i
Arithmetic sequences are everywhere - from your weekly pocket money... Show more
![# MATHEMATICS-Arithmetic Sequences
Equations
NOTES/WORK
$n^{th}$ term of an arithmetic sequence
$a+(n-1)d$
[a is the first term]
[d is the d](/_next/image?url=https%3A%2F%2Fcontent-eu-central-1.knowunity.com%2FCONTENT%2F019049ef-736d-773e-aa9a-9c7e7b1bacf8_image_page_1.webp&w=2048&q=75)
Ever noticed how cinema seats are numbered or how your savings grow each week? That's arithmetic sequences in action - patterns where you add the same amount each time.
The nth term formula is your best mate: a + d. Here, 'a' is your starting number (first term) and 'd' is the common difference you keep adding. Want the 10th term? Just plug in n = 10 and you're sorted.
For finding the sum of an arithmetic sequence, use S_n = n/2, where L is the last term. This saves you from adding up dozens of terms manually - brilliant for exam time pressure.
The proof shown demonstrates why this formula works by writing the sum forwards and backwards, then adding them together. When you add 2S = n, dividing by 2 gives you the standard sum formula. Understanding this proof shows examiners you grasp the underlying maths, not just memorised formulas.
Quick Tip: Always identify 'a' and 'd' first - they're the building blocks for everything else in arithmetic sequences!
Our AI Companion is a student-focused AI tool that offers more than just answers. Built on millions of Knowunity resources, it provides relevant information, personalised study plans, quizzes, and content directly in the chat, adapting to your individual learning journey.
You can download the app from Google Play Store and Apple App Store.
That's right! Enjoy free access to study content, connect with fellow students, and get instant help โ all at your fingertips.
App Store
Google Play
The app is very easy to use and well designed. I have found everything I was looking for so far and have been able to learn a lot from the presentations! I will definitely use the app for a class assignment! And of course it also helps a lot as an inspiration.
Stefan S
iOS user
This app is really great. There are so many study notes and help [...]. My problem subject is French, for example, and the app has so many options for help. Thanks to this app, I have improved my French. I would recommend it to anyone.
Samantha Klich
Android user
Wow, I am really amazed. I just tried the app because I've seen it advertised many times and was absolutely stunned. This app is THE HELP you want for school and above all, it offers so many things, such as workouts and fact sheets, which have been VERY helpful to me personally.
Anna
iOS user
Best app on earth! no words because itโs too good
Thomas R
iOS user
Just amazing. Let's me revise 10x better, this app is a quick 10/10. I highly recommend it to anyone. I can watch and search for notes. I can save them in the subject folder. I can revise it any time when I come back. If you haven't tried this app, you're really missing out.
Basil
Android user
This app has made me feel so much more confident in my exam prep, not only through boosting my own self confidence through the features that allow you to connect with others and feel less alone, but also through the way the app itself is centred around making you feel better. It is easy to navigate, fun to use, and helpful to anyone struggling in absolutely any way.
David K
iOS user
The app's just great! All I have to do is enter the topic in the search bar and I get the response real fast. I don't have to watch 10 YouTube videos to understand something, so I'm saving my time. Highly recommended!
Sudenaz Ocak
Android user
In school I was really bad at maths but thanks to the app, I am doing better now. I am so grateful that you made the app.
Greenlight Bonnie
Android user
very reliable app to help and grow your ideas of Maths, English and other related topics in your works. please use this app if your struggling in areas, this app is key for that. wish I'd of done a review before. and it's also free so don't worry about that.
Rohan U
Android user
I know a lot of apps use fake accounts to boost their reviews but this app deserves it all. Originally I was getting 4 in my English exams and this time I got a grade 7. I didnโt even know about this app three days until the exam and it has helped A LOT. Please actually trust me and use it as Iโm sure you too will see developments.
Xander S
iOS user
THE QUIZES AND FLASHCARDS ARE SO USEFUL AND I LOVE THE SCHOOLGPT. IT ALSO IS LITREALLY LIKE CHATGPT BUT SMARTER!! HELPED ME WITH MY MASCARA PROBLEMS TOO!! AS WELL AS MY REAL SUBJECTS ! DUHHH ๐๐๐ฒ๐ค๐โจ๐๐ฎ
Elisha
iOS user
This apps acc the goat. I find revision so boring but this app makes it so easy to organize it all and then you can ask the freeeee ai to test yourself so good and you can easily upload your own stuff. highly recommend as someone taking mocks now
Paul T
iOS user
The app is very easy to use and well designed. I have found everything I was looking for so far and have been able to learn a lot from the presentations! I will definitely use the app for a class assignment! And of course it also helps a lot as an inspiration.
Stefan S
iOS user
This app is really great. There are so many study notes and help [...]. My problem subject is French, for example, and the app has so many options for help. Thanks to this app, I have improved my French. I would recommend it to anyone.
Samantha Klich
Android user
Wow, I am really amazed. I just tried the app because I've seen it advertised many times and was absolutely stunned. This app is THE HELP you want for school and above all, it offers so many things, such as workouts and fact sheets, which have been VERY helpful to me personally.
Anna
iOS user
Best app on earth! no words because itโs too good
Thomas R
iOS user
Just amazing. Let's me revise 10x better, this app is a quick 10/10. I highly recommend it to anyone. I can watch and search for notes. I can save them in the subject folder. I can revise it any time when I come back. If you haven't tried this app, you're really missing out.
Basil
Android user
This app has made me feel so much more confident in my exam prep, not only through boosting my own self confidence through the features that allow you to connect with others and feel less alone, but also through the way the app itself is centred around making you feel better. It is easy to navigate, fun to use, and helpful to anyone struggling in absolutely any way.
David K
iOS user
The app's just great! All I have to do is enter the topic in the search bar and I get the response real fast. I don't have to watch 10 YouTube videos to understand something, so I'm saving my time. Highly recommended!
Sudenaz Ocak
Android user
In school I was really bad at maths but thanks to the app, I am doing better now. I am so grateful that you made the app.
Greenlight Bonnie
Android user
very reliable app to help and grow your ideas of Maths, English and other related topics in your works. please use this app if your struggling in areas, this app is key for that. wish I'd of done a review before. and it's also free so don't worry about that.
Rohan U
Android user
I know a lot of apps use fake accounts to boost their reviews but this app deserves it all. Originally I was getting 4 in my English exams and this time I got a grade 7. I didnโt even know about this app three days until the exam and it has helped A LOT. Please actually trust me and use it as Iโm sure you too will see developments.
Xander S
iOS user
THE QUIZES AND FLASHCARDS ARE SO USEFUL AND I LOVE THE SCHOOLGPT. IT ALSO IS LITREALLY LIKE CHATGPT BUT SMARTER!! HELPED ME WITH MY MASCARA PROBLEMS TOO!! AS WELL AS MY REAL SUBJECTS ! DUHHH ๐๐๐ฒ๐ค๐โจ๐๐ฎ
Elisha
iOS user
This apps acc the goat. I find revision so boring but this app makes it so easy to organize it all and then you can ask the freeeee ai to test yourself so good and you can easily upload your own stuff. highly recommend as someone taking mocks now
Paul T
iOS user
๐ธ๐ฆ๐ธ๏ธ๐ฑ๐ฅ๐ข๐ฌ๐ธ๏ธ๐ฆ๐ธ
@gh0styb0i
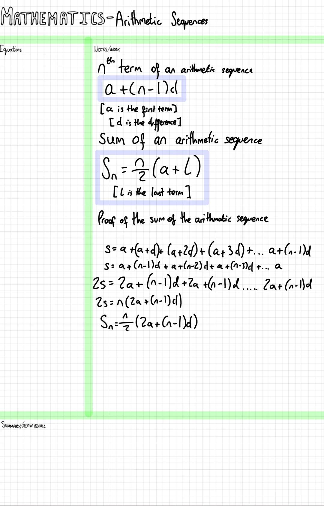
Arithmetic sequences are everywhere - from your weekly pocket money to stadium seating arrangements. Understanding these patterns and their formulas will help you solve problems quickly and ace your maths exams.
![# MATHEMATICS-Arithmetic Sequences
Equations
NOTES/WORK
$n^{th}$ term of an arithmetic sequence
$a+(n-1)d$
[a is the first term]
[d is the d](/_next/image?url=https%3A%2F%2Fcontent-eu-central-1.knowunity.com%2FCONTENT%2F019049ef-736d-773e-aa9a-9c7e7b1bacf8_image_page_1.webp&w=2048&q=75)
Access to all documents
Improve your grades
Join milions of students
By signing up you accept Terms of Service and Privacy Policy
Ever noticed how cinema seats are numbered or how your savings grow each week? That's arithmetic sequences in action - patterns where you add the same amount each time.
The nth term formula is your best mate: a + d. Here, 'a' is your starting number (first term) and 'd' is the common difference you keep adding. Want the 10th term? Just plug in n = 10 and you're sorted.
For finding the sum of an arithmetic sequence, use S_n = n/2, where L is the last term. This saves you from adding up dozens of terms manually - brilliant for exam time pressure.
The proof shown demonstrates why this formula works by writing the sum forwards and backwards, then adding them together. When you add 2S = n, dividing by 2 gives you the standard sum formula. Understanding this proof shows examiners you grasp the underlying maths, not just memorised formulas.
Quick Tip: Always identify 'a' and 'd' first - they're the building blocks for everything else in arithmetic sequences!
Our AI Companion is a student-focused AI tool that offers more than just answers. Built on millions of Knowunity resources, it provides relevant information, personalised study plans, quizzes, and content directly in the chat, adapting to your individual learning journey.
You can download the app from Google Play Store and Apple App Store.
That's right! Enjoy free access to study content, connect with fellow students, and get instant help โ all at your fingertips.
2
Smart Tools NEW
Transform this note into: โ 50+ Practice Questions โ Interactive Flashcards โ Full Mock Exam โ Essay Outlines
Master the concepts of geometric sequences and series with this comprehensive revision sheet. Learn how to find the common ratio, calculate terms, and sum series effectively. Ideal for A Level students preparing for exams.
Explore the fundamentals of binomial expansion, including the Binomial Theorem, coefficients, and practical applications. This summary covers key concepts such as Pascal's Triangle and provides step-by-step examples for expanding binomials effectively. Ideal for students preparing for exams or seeking to strengthen their understanding of algebraic expansions.
Explore the principles of binomial expansion, including the Binomial Theorem, coefficients from Pascal's Triangle, and practical examples. This summary covers key concepts such as binomial coefficients and their applications in expanding expressions like (a+b)^n. Ideal for students seeking to understand and apply binomial expansion techniques effectively.
App Store
Google Play
The app is very easy to use and well designed. I have found everything I was looking for so far and have been able to learn a lot from the presentations! I will definitely use the app for a class assignment! And of course it also helps a lot as an inspiration.
Stefan S
iOS user
This app is really great. There are so many study notes and help [...]. My problem subject is French, for example, and the app has so many options for help. Thanks to this app, I have improved my French. I would recommend it to anyone.
Samantha Klich
Android user
Wow, I am really amazed. I just tried the app because I've seen it advertised many times and was absolutely stunned. This app is THE HELP you want for school and above all, it offers so many things, such as workouts and fact sheets, which have been VERY helpful to me personally.
Anna
iOS user
Best app on earth! no words because itโs too good
Thomas R
iOS user
Just amazing. Let's me revise 10x better, this app is a quick 10/10. I highly recommend it to anyone. I can watch and search for notes. I can save them in the subject folder. I can revise it any time when I come back. If you haven't tried this app, you're really missing out.
Basil
Android user
This app has made me feel so much more confident in my exam prep, not only through boosting my own self confidence through the features that allow you to connect with others and feel less alone, but also through the way the app itself is centred around making you feel better. It is easy to navigate, fun to use, and helpful to anyone struggling in absolutely any way.
David K
iOS user
The app's just great! All I have to do is enter the topic in the search bar and I get the response real fast. I don't have to watch 10 YouTube videos to understand something, so I'm saving my time. Highly recommended!
Sudenaz Ocak
Android user
In school I was really bad at maths but thanks to the app, I am doing better now. I am so grateful that you made the app.
Greenlight Bonnie
Android user
very reliable app to help and grow your ideas of Maths, English and other related topics in your works. please use this app if your struggling in areas, this app is key for that. wish I'd of done a review before. and it's also free so don't worry about that.
Rohan U
Android user
I know a lot of apps use fake accounts to boost their reviews but this app deserves it all. Originally I was getting 4 in my English exams and this time I got a grade 7. I didnโt even know about this app three days until the exam and it has helped A LOT. Please actually trust me and use it as Iโm sure you too will see developments.
Xander S
iOS user
THE QUIZES AND FLASHCARDS ARE SO USEFUL AND I LOVE THE SCHOOLGPT. IT ALSO IS LITREALLY LIKE CHATGPT BUT SMARTER!! HELPED ME WITH MY MASCARA PROBLEMS TOO!! AS WELL AS MY REAL SUBJECTS ! DUHHH ๐๐๐ฒ๐ค๐โจ๐๐ฎ
Elisha
iOS user
This apps acc the goat. I find revision so boring but this app makes it so easy to organize it all and then you can ask the freeeee ai to test yourself so good and you can easily upload your own stuff. highly recommend as someone taking mocks now
Paul T
iOS user
The app is very easy to use and well designed. I have found everything I was looking for so far and have been able to learn a lot from the presentations! I will definitely use the app for a class assignment! And of course it also helps a lot as an inspiration.
Stefan S
iOS user
This app is really great. There are so many study notes and help [...]. My problem subject is French, for example, and the app has so many options for help. Thanks to this app, I have improved my French. I would recommend it to anyone.
Samantha Klich
Android user
Wow, I am really amazed. I just tried the app because I've seen it advertised many times and was absolutely stunned. This app is THE HELP you want for school and above all, it offers so many things, such as workouts and fact sheets, which have been VERY helpful to me personally.
Anna
iOS user
Best app on earth! no words because itโs too good
Thomas R
iOS user
Just amazing. Let's me revise 10x better, this app is a quick 10/10. I highly recommend it to anyone. I can watch and search for notes. I can save them in the subject folder. I can revise it any time when I come back. If you haven't tried this app, you're really missing out.
Basil
Android user
This app has made me feel so much more confident in my exam prep, not only through boosting my own self confidence through the features that allow you to connect with others and feel less alone, but also through the way the app itself is centred around making you feel better. It is easy to navigate, fun to use, and helpful to anyone struggling in absolutely any way.
David K
iOS user
The app's just great! All I have to do is enter the topic in the search bar and I get the response real fast. I don't have to watch 10 YouTube videos to understand something, so I'm saving my time. Highly recommended!
Sudenaz Ocak
Android user
In school I was really bad at maths but thanks to the app, I am doing better now. I am so grateful that you made the app.
Greenlight Bonnie
Android user
very reliable app to help and grow your ideas of Maths, English and other related topics in your works. please use this app if your struggling in areas, this app is key for that. wish I'd of done a review before. and it's also free so don't worry about that.
Rohan U
Android user
I know a lot of apps use fake accounts to boost their reviews but this app deserves it all. Originally I was getting 4 in my English exams and this time I got a grade 7. I didnโt even know about this app three days until the exam and it has helped A LOT. Please actually trust me and use it as Iโm sure you too will see developments.
Xander S
iOS user
THE QUIZES AND FLASHCARDS ARE SO USEFUL AND I LOVE THE SCHOOLGPT. IT ALSO IS LITREALLY LIKE CHATGPT BUT SMARTER!! HELPED ME WITH MY MASCARA PROBLEMS TOO!! AS WELL AS MY REAL SUBJECTS ! DUHHH ๐๐๐ฒ๐ค๐โจ๐๐ฎ
Elisha
iOS user
This apps acc the goat. I find revision so boring but this app makes it so easy to organize it all and then you can ask the freeeee ai to test yourself so good and you can easily upload your own stuff. highly recommend as someone taking mocks now
Paul T
iOS user