Algebrski ulomki so v bistvu samo naprednejša verzija navadnih ulomkov... Show more
Sign up to see the contentIt's free!
Access to all documents
Improve your grades
Join milions of students
Knowunity AI
Subjects
Triangle Congruence and Similarity Theorems
Triangle Properties and Classification
Linear Equations and Graphs
Geometric Angle Relationships
Trigonometric Functions and Identities
Equation Solving Techniques
Circle Geometry Fundamentals
Division Operations and Methods
Basic Differentiation Rules
Exponent and Logarithm Properties
Show all topics
Human Organ Systems
Reproductive Cell Cycles
Biological Sciences Subdisciplines
Cellular Energy Metabolism
Autotrophic Energy Processes
Inheritance Patterns and Principles
Biomolecular Structure and Organization
Cell Cycle and Division Mechanics
Cellular Organization and Development
Biological Structural Organization
Show all topics
Chemical Sciences and Applications
Atomic Structure and Composition
Molecular Electron Structure Representation
Atomic Electron Behavior
Matter Properties and Water
Mole Concept and Calculations
Gas Laws and Behavior
Periodic Table Organization
Chemical Thermodynamics Fundamentals
Chemical Bond Types and Properties
Show all topics
European Renaissance and Enlightenment
European Cultural Movements 800-1920
American Revolution Era 1763-1797
American Civil War 1861-1865
Global Imperial Systems
Mongol and Chinese Dynasties
U.S. Presidents and World Leaders
Historical Sources and Documentation
World Wars Era and Impact
World Religious Systems
Show all topics
Classic and Contemporary Novels
Literary Character Analysis
Rhetorical Theory and Practice
Classic Literary Narratives
Reading Analysis and Interpretation
Narrative Structure and Techniques
English Language Components
Influential English-Language Authors
Basic Sentence Structure
Narrative Voice and Perspective
Show all topics
219
•
Updated Apr 25, 2026
•
Algebrski ulomki so v bistvu samo naprednejša verzija navadnih ulomkov... Show more







Algebrski ulomek izgleda tako: , kjer sta A(x) in B(x) polinoma. To pomeni, da lahko imaš v števcu izraz kot , v imenovalcu pa npr. .
Definicijsko območje je tvoj najboljši prijatelj pri tej snovi. To je množica vseh vrednosti x, za katere ulomek sploh obstaja. Ker z nič ne smemo deliti, mora biti imenovalec vedno različen od nič.
⚠️ Pozor! Če pozabiš na definicijsko območje, je naloga napačno rešena, tudi če je rezultat pravilen.
Za določitev definicijskega območja rešiš enačbo B(x) = 0 in ugotoviš, katere vrednosti x niso dovoljene. Te vrednosti izključiš iz množice realnih števil.

Krajšanje je temelj vsega - brez tega se ne da nič. Postopek je vedno isti: razstavi, določi pogoje, krajšaj.
Najprej razstaviš števec in imenovalec na prafaktorje. Uporabiš vse znane metode: izpostavljanje, razlika kvadratov, Vietovo pravilo. Nato iz razstavljene oblike določiš definicijsko območje.
Ključno pravilo: krajšaš lahko samo faktorje (tisto, kar se množi), nikoli pa ne smeš krajšati posameznih členov! Torej se NE DA krajšati.
💡 Pomni si: Vedno najprej razstavi, šele nato krajšaj. To ti bo prihranilo ogromno časa in napak.
Primer: pogoji: $x \neq 3, x \neq -2$

Množenje je preprosto: "števec s števcem, imenovalec z imenovalcem". Ampak ne zaskoči kar takoj! Najprej razstavi vse izraze in poskusi krajšati.
Formula:
Deljenje spremeniš v množenje z obratno vrednostjo:
🎯 Nasvet: Pri množenju lahko krajšaš "navzkrižno" med ulomki - torej števec enega z imenovalcem drugega.
Postopek je vedno isti: razstavi vse → določi pogoje → krajšaj → zmnoži preostalo. Če narediš razstavljanje na začetku, boš na koncu imel precej manj računanja.

To je najtežji del, ampak z dobrim sistemom ga boš obvladal. Potrebuješ skupni imenovalec, tako kot pri navadnih ulomkih.
Postopek v sedmih korakih:
Skupni imenovalec je produkt vseh različnih faktorjev. Če se faktor pojavi večkrat, vzameš tistega z najvišjo potenco.
⚠️ Pasti pri odštevanju: Ko odštevaš ulomek z več členi v števcu, celoten števec daj v oklepaj!

Nadaljujmo s primerom:
Skupni imenovalec je , ker sta faktorja različna. Razširiš prvi ulomek z in drugi z .
Dobiš:
Zdaj poenostaviš števec: razmnožiš oklepaje, pazljivo odšteješ (pozor na predznake!) in sešteješ podobne člene.
💪 Samozavest: Ta korak zahteva le osnovno znanje množenja polinomov. Počasi in natančno - zmoreš!
Končni rezultat: pogoji: $x \neq 2, x \neq -2$

Najpogostejše napake, ki se jim izogibaj:
Zlata pravila za uspeh:
🎯 Za teste: Rezultat pusti v razstavljeni obliki, če je kompleksen. Ponavadi je bolj pregleden kot razmnožena oblika.
Hitri pregled korakov: Določi pogoje → Razstavi → Krajšaj → Računaj → Poenostavi. Ta sistem deluje pri vseh nalogah z algebrskimi ulomki!
Our AI Companion is a student-focused AI tool that offers more than just answers. Built on millions of Knowunity resources, it provides relevant information, personalised study plans, quizzes, and content directly in the chat, adapting to your individual learning journey.
You can download the app from Google Play Store and Apple App Store.
That's right! Enjoy free access to study content, connect with fellow students, and get instant help – all at your fingertips.
App Store
Google Play
The app is very easy to use and well designed. I have found everything I was looking for so far and have been able to learn a lot from the presentations! I will definitely use the app for a class assignment! And of course it also helps a lot as an inspiration.
Stefan S
iOS user
This app is really great. There are so many study notes and help [...]. My problem subject is French, for example, and the app has so many options for help. Thanks to this app, I have improved my French. I would recommend it to anyone.
Samantha Klich
Android user
Wow, I am really amazed. I just tried the app because I've seen it advertised many times and was absolutely stunned. This app is THE HELP you want for school and above all, it offers so many things, such as workouts and fact sheets, which have been VERY helpful to me personally.
Anna
iOS user
Best app on earth! no words because it’s too good
Thomas R
iOS user
Just amazing. Let's me revise 10x better, this app is a quick 10/10. I highly recommend it to anyone. I can watch and search for notes. I can save them in the subject folder. I can revise it any time when I come back. If you haven't tried this app, you're really missing out.
Basil
Android user
This app has made me feel so much more confident in my exam prep, not only through boosting my own self confidence through the features that allow you to connect with others and feel less alone, but also through the way the app itself is centred around making you feel better. It is easy to navigate, fun to use, and helpful to anyone struggling in absolutely any way.
David K
iOS user
The app's just great! All I have to do is enter the topic in the search bar and I get the response real fast. I don't have to watch 10 YouTube videos to understand something, so I'm saving my time. Highly recommended!
Sudenaz Ocak
Android user
In school I was really bad at maths but thanks to the app, I am doing better now. I am so grateful that you made the app.
Greenlight Bonnie
Android user
very reliable app to help and grow your ideas of Maths, English and other related topics in your works. please use this app if your struggling in areas, this app is key for that. wish I'd of done a review before. and it's also free so don't worry about that.
Rohan U
Android user
I know a lot of apps use fake accounts to boost their reviews but this app deserves it all. Originally I was getting 4 in my English exams and this time I got a grade 7. I didn’t even know about this app three days until the exam and it has helped A LOT. Please actually trust me and use it as I’m sure you too will see developments.
Xander S
iOS user
THE QUIZES AND FLASHCARDS ARE SO USEFUL AND I LOVE Knowunity AI. IT ALSO IS LITREALLY LIKE CHATGPT BUT SMARTER!! HELPED ME WITH MY MASCARA PROBLEMS TOO!! AS WELL AS MY REAL SUBJECTS ! DUHHH 😍😁😲🤑💗✨🎀😮
Elisha
iOS user
This apps acc the goat. I find revision so boring but this app makes it so easy to organize it all and then you can ask the freeeee ai to test yourself so good and you can easily upload your own stuff. highly recommend as someone taking mocks now
Paul T
iOS user
The app is very easy to use and well designed. I have found everything I was looking for so far and have been able to learn a lot from the presentations! I will definitely use the app for a class assignment! And of course it also helps a lot as an inspiration.
Stefan S
iOS user
This app is really great. There are so many study notes and help [...]. My problem subject is French, for example, and the app has so many options for help. Thanks to this app, I have improved my French. I would recommend it to anyone.
Samantha Klich
Android user
Wow, I am really amazed. I just tried the app because I've seen it advertised many times and was absolutely stunned. This app is THE HELP you want for school and above all, it offers so many things, such as workouts and fact sheets, which have been VERY helpful to me personally.
Anna
iOS user
Best app on earth! no words because it’s too good
Thomas R
iOS user
Just amazing. Let's me revise 10x better, this app is a quick 10/10. I highly recommend it to anyone. I can watch and search for notes. I can save them in the subject folder. I can revise it any time when I come back. If you haven't tried this app, you're really missing out.
Basil
Android user
This app has made me feel so much more confident in my exam prep, not only through boosting my own self confidence through the features that allow you to connect with others and feel less alone, but also through the way the app itself is centred around making you feel better. It is easy to navigate, fun to use, and helpful to anyone struggling in absolutely any way.
David K
iOS user
The app's just great! All I have to do is enter the topic in the search bar and I get the response real fast. I don't have to watch 10 YouTube videos to understand something, so I'm saving my time. Highly recommended!
Sudenaz Ocak
Android user
In school I was really bad at maths but thanks to the app, I am doing better now. I am so grateful that you made the app.
Greenlight Bonnie
Android user
very reliable app to help and grow your ideas of Maths, English and other related topics in your works. please use this app if your struggling in areas, this app is key for that. wish I'd of done a review before. and it's also free so don't worry about that.
Rohan U
Android user
I know a lot of apps use fake accounts to boost their reviews but this app deserves it all. Originally I was getting 4 in my English exams and this time I got a grade 7. I didn’t even know about this app three days until the exam and it has helped A LOT. Please actually trust me and use it as I’m sure you too will see developments.
Xander S
iOS user
THE QUIZES AND FLASHCARDS ARE SO USEFUL AND I LOVE Knowunity AI. IT ALSO IS LITREALLY LIKE CHATGPT BUT SMARTER!! HELPED ME WITH MY MASCARA PROBLEMS TOO!! AS WELL AS MY REAL SUBJECTS ! DUHHH 😍😁😲🤑💗✨🎀😮
Elisha
iOS user
This apps acc the goat. I find revision so boring but this app makes it so easy to organize it all and then you can ask the freeeee ai to test yourself so good and you can easily upload your own stuff. highly recommend as someone taking mocks now
Paul T
iOS user
Algebrski ulomki so v bistvu samo naprednejša verzija navadnih ulomkov - namesto številk imajo v števcu in imenovalcu algebrske izraze. Če že znaš računati z navadnimi ulomki, se boš tudi tega hitro naučil!

Access to all documents
Improve your grades
Join milions of students
Algebrski ulomek izgleda tako: , kjer sta A(x) in B(x) polinoma. To pomeni, da lahko imaš v števcu izraz kot , v imenovalcu pa npr. .
Definicijsko območje je tvoj najboljši prijatelj pri tej snovi. To je množica vseh vrednosti x, za katere ulomek sploh obstaja. Ker z nič ne smemo deliti, mora biti imenovalec vedno različen od nič.
⚠️ Pozor! Če pozabiš na definicijsko območje, je naloga napačno rešena, tudi če je rezultat pravilen.
Za določitev definicijskega območja rešiš enačbo B(x) = 0 in ugotoviš, katere vrednosti x niso dovoljene. Te vrednosti izključiš iz množice realnih števil.

Access to all documents
Improve your grades
Join milions of students
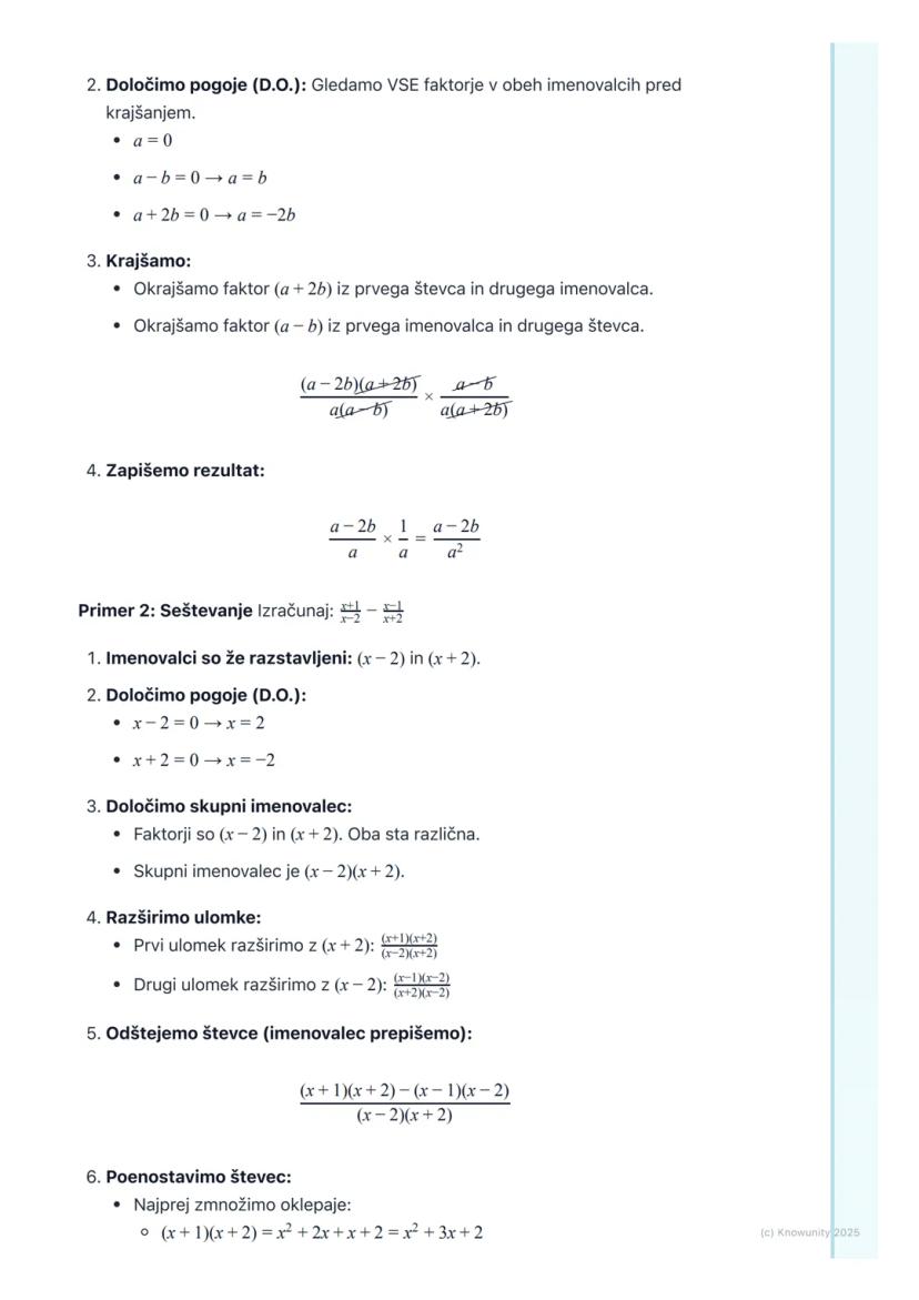
Krajšanje je temelj vsega - brez tega se ne da nič. Postopek je vedno isti: razstavi, določi pogoje, krajšaj.
Najprej razstaviš števec in imenovalec na prafaktorje. Uporabiš vse znane metode: izpostavljanje, razlika kvadratov, Vietovo pravilo. Nato iz razstavljene oblike določiš definicijsko območje.
Ključno pravilo: krajšaš lahko samo faktorje (tisto, kar se množi), nikoli pa ne smeš krajšati posameznih členov! Torej se NE DA krajšati.
💡 Pomni si: Vedno najprej razstavi, šele nato krajšaj. To ti bo prihranilo ogromno časa in napak.
Primer: pogoji: $x \neq 3, x \neq -2$

Access to all documents
Improve your grades
Join milions of students
Množenje je preprosto: "števec s števcem, imenovalec z imenovalcem". Ampak ne zaskoči kar takoj! Najprej razstavi vse izraze in poskusi krajšati.
Formula:
Deljenje spremeniš v množenje z obratno vrednostjo:
🎯 Nasvet: Pri množenju lahko krajšaš "navzkrižno" med ulomki - torej števec enega z imenovalcem drugega.
Postopek je vedno isti: razstavi vse → določi pogoje → krajšaj → zmnoži preostalo. Če narediš razstavljanje na začetku, boš na koncu imel precej manj računanja.

Access to all documents
Improve your grades
Join milions of students
To je najtežji del, ampak z dobrim sistemom ga boš obvladal. Potrebuješ skupni imenovalec, tako kot pri navadnih ulomkih.
Postopek v sedmih korakih:
Skupni imenovalec je produkt vseh različnih faktorjev. Če se faktor pojavi večkrat, vzameš tistega z najvišjo potenco.
⚠️ Pasti pri odštevanju: Ko odštevaš ulomek z več členi v števcu, celoten števec daj v oklepaj!

Access to all documents
Improve your grades
Join milions of students
Nadaljujmo s primerom:
Skupni imenovalec je , ker sta faktorja različna. Razširiš prvi ulomek z in drugi z .
Dobiš:
Zdaj poenostaviš števec: razmnožiš oklepaje, pazljivo odšteješ (pozor na predznake!) in sešteješ podobne člene.
💪 Samozavest: Ta korak zahteva le osnovno znanje množenja polinomov. Počasi in natančno - zmoreš!
Končni rezultat: pogoji: $x \neq 2, x \neq -2$

Access to all documents
Improve your grades
Join milions of students
Najpogostejše napake, ki se jim izogibaj:
Zlata pravila za uspeh:
🎯 Za teste: Rezultat pusti v razstavljeni obliki, če je kompleksen. Ponavadi je bolj pregleden kot razmnožena oblika.
Hitri pregled korakov: Določi pogoje → Razstavi → Krajšaj → Računaj → Poenostavi. Ta sistem deluje pri vseh nalogah z algebrskimi ulomki!
Our AI Companion is a student-focused AI tool that offers more than just answers. Built on millions of Knowunity resources, it provides relevant information, personalised study plans, quizzes, and content directly in the chat, adapting to your individual learning journey.
You can download the app from Google Play Store and Apple App Store.
That's right! Enjoy free access to study content, connect with fellow students, and get instant help – all at your fingertips.
4
Smart Tools NEW
Transform this note into: ✓ 50+ Practice Questions ✓ Interactive Flashcards ✓ Full Mock Exam ✓ Essay Outlines
App Store
Google Play
The app is very easy to use and well designed. I have found everything I was looking for so far and have been able to learn a lot from the presentations! I will definitely use the app for a class assignment! And of course it also helps a lot as an inspiration.
Stefan S
iOS user
This app is really great. There are so many study notes and help [...]. My problem subject is French, for example, and the app has so many options for help. Thanks to this app, I have improved my French. I would recommend it to anyone.
Samantha Klich
Android user
Wow, I am really amazed. I just tried the app because I've seen it advertised many times and was absolutely stunned. This app is THE HELP you want for school and above all, it offers so many things, such as workouts and fact sheets, which have been VERY helpful to me personally.
Anna
iOS user
Best app on earth! no words because it’s too good
Thomas R
iOS user
Just amazing. Let's me revise 10x better, this app is a quick 10/10. I highly recommend it to anyone. I can watch and search for notes. I can save them in the subject folder. I can revise it any time when I come back. If you haven't tried this app, you're really missing out.
Basil
Android user
This app has made me feel so much more confident in my exam prep, not only through boosting my own self confidence through the features that allow you to connect with others and feel less alone, but also through the way the app itself is centred around making you feel better. It is easy to navigate, fun to use, and helpful to anyone struggling in absolutely any way.
David K
iOS user
The app's just great! All I have to do is enter the topic in the search bar and I get the response real fast. I don't have to watch 10 YouTube videos to understand something, so I'm saving my time. Highly recommended!
Sudenaz Ocak
Android user
In school I was really bad at maths but thanks to the app, I am doing better now. I am so grateful that you made the app.
Greenlight Bonnie
Android user
very reliable app to help and grow your ideas of Maths, English and other related topics in your works. please use this app if your struggling in areas, this app is key for that. wish I'd of done a review before. and it's also free so don't worry about that.
Rohan U
Android user
I know a lot of apps use fake accounts to boost their reviews but this app deserves it all. Originally I was getting 4 in my English exams and this time I got a grade 7. I didn’t even know about this app three days until the exam and it has helped A LOT. Please actually trust me and use it as I’m sure you too will see developments.
Xander S
iOS user
THE QUIZES AND FLASHCARDS ARE SO USEFUL AND I LOVE Knowunity AI. IT ALSO IS LITREALLY LIKE CHATGPT BUT SMARTER!! HELPED ME WITH MY MASCARA PROBLEMS TOO!! AS WELL AS MY REAL SUBJECTS ! DUHHH 😍😁😲🤑💗✨🎀😮
Elisha
iOS user
This apps acc the goat. I find revision so boring but this app makes it so easy to organize it all and then you can ask the freeeee ai to test yourself so good and you can easily upload your own stuff. highly recommend as someone taking mocks now
Paul T
iOS user
The app is very easy to use and well designed. I have found everything I was looking for so far and have been able to learn a lot from the presentations! I will definitely use the app for a class assignment! And of course it also helps a lot as an inspiration.
Stefan S
iOS user
This app is really great. There are so many study notes and help [...]. My problem subject is French, for example, and the app has so many options for help. Thanks to this app, I have improved my French. I would recommend it to anyone.
Samantha Klich
Android user
Wow, I am really amazed. I just tried the app because I've seen it advertised many times and was absolutely stunned. This app is THE HELP you want for school and above all, it offers so many things, such as workouts and fact sheets, which have been VERY helpful to me personally.
Anna
iOS user
Best app on earth! no words because it’s too good
Thomas R
iOS user
Just amazing. Let's me revise 10x better, this app is a quick 10/10. I highly recommend it to anyone. I can watch and search for notes. I can save them in the subject folder. I can revise it any time when I come back. If you haven't tried this app, you're really missing out.
Basil
Android user
This app has made me feel so much more confident in my exam prep, not only through boosting my own self confidence through the features that allow you to connect with others and feel less alone, but also through the way the app itself is centred around making you feel better. It is easy to navigate, fun to use, and helpful to anyone struggling in absolutely any way.
David K
iOS user
The app's just great! All I have to do is enter the topic in the search bar and I get the response real fast. I don't have to watch 10 YouTube videos to understand something, so I'm saving my time. Highly recommended!
Sudenaz Ocak
Android user
In school I was really bad at maths but thanks to the app, I am doing better now. I am so grateful that you made the app.
Greenlight Bonnie
Android user
very reliable app to help and grow your ideas of Maths, English and other related topics in your works. please use this app if your struggling in areas, this app is key for that. wish I'd of done a review before. and it's also free so don't worry about that.
Rohan U
Android user
I know a lot of apps use fake accounts to boost their reviews but this app deserves it all. Originally I was getting 4 in my English exams and this time I got a grade 7. I didn’t even know about this app three days until the exam and it has helped A LOT. Please actually trust me and use it as I’m sure you too will see developments.
Xander S
iOS user
THE QUIZES AND FLASHCARDS ARE SO USEFUL AND I LOVE Knowunity AI. IT ALSO IS LITREALLY LIKE CHATGPT BUT SMARTER!! HELPED ME WITH MY MASCARA PROBLEMS TOO!! AS WELL AS MY REAL SUBJECTS ! DUHHH 😍😁😲🤑💗✨🎀😮
Elisha
iOS user
This apps acc the goat. I find revision so boring but this app makes it so easy to organize it all and then you can ask the freeeee ai to test yourself so good and you can easily upload your own stuff. highly recommend as someone taking mocks now
Paul T
iOS user