Matematik dünyasının en heyecan verici alanlarından biri olan permütasyon, kombinasyon... Show more
Sign up to see the contentIt's free!
Access to all documents
Improve your grades
Join milions of students
Knowunity AI
Subjects
Triangle Congruence and Similarity Theorems
Triangle Properties and Classification
Linear Equations and Graphs
Geometric Angle Relationships
Trigonometric Functions and Identities
Equation Solving Techniques
Circle Geometry Fundamentals
Division Operations and Methods
Basic Differentiation Rules
Exponent and Logarithm Properties
Show all topics
Human Organ Systems
Reproductive Cell Cycles
Biological Sciences Subdisciplines
Cellular Energy Metabolism
Autotrophic Energy Processes
Inheritance Patterns and Principles
Biomolecular Structure and Organization
Cell Cycle and Division Mechanics
Cellular Organization and Development
Biological Structural Organization
Show all topics
Chemical Sciences and Applications
Atomic Structure and Composition
Molecular Electron Structure Representation
Atomic Electron Behavior
Matter Properties and Water
Mole Concept and Calculations
Gas Laws and Behavior
Periodic Table Organization
Chemical Thermodynamics Fundamentals
Chemical Bond Types and Properties
Show all topics
European Renaissance and Enlightenment
European Cultural Movements 800-1920
American Revolution Era 1763-1797
American Civil War 1861-1865
Global Imperial Systems
Mongol and Chinese Dynasties
U.S. Presidents and World Leaders
Historical Sources and Documentation
World Wars Era and Impact
World Religious Systems
Show all topics
Classic and Contemporary Novels
Literary Character Analysis
Rhetorical Theory and Practice
Classic Literary Narratives
Reading Analysis and Interpretation
Narrative Structure and Techniques
English Language Components
Influential English-Language Authors
Basic Sentence Structure
Narrative Voice and Perspective
Show all topics
365
•
Updated Apr 12, 2026
•
Eslemduru
@durus
Matematik dünyasının en heyecan verici alanlarından biri olan permütasyon, kombinasyon... Show more











Bu ünitede permütasyon, kombinasyon, binom ve olasılık konularının temellerini öğreneceğiz. Bu konular birbirleriyle bağlantılı olduğu için adım adım ilerleyeceğiz.
Ana başlıklar şunlar: saymanın temel ilkesi, permütasyon (sıralama), kombinasyon (seçme), binom teoremi ve olasılık hesaplamaları. Her konu günlük hayattan örneklerle desteklenecek.
Önemli Not: Bu konular ÖSYM sınavlarında sıkça çıkar, bu yüzden formülleri ezberlemek yerine mantığını anlamaya odaklan.

Toplama yoluyla sayma: İki ayrık kümenin birleşiminin eleman sayısını bulmak için kümelerin eleman sayılarını toplarız. s(A∪B) = s(A) + s(B) şeklinde yazılır.
Çarpma yoluyla sayma: İki bağımsız olay varsa, toplam durum sayısı bu olayların durum sayılarının çarpımına eşittir. Örneğin 8 gömlek ve 6 pantolon varsa 8×6 = 48 farklı kombinasyon yapabilirsin.
Faktöriyel: n! = 1×2×3×...×n şeklinde hesaplanır. 5! = 120 gibi. Bu sembol permütasyon hesaplamalarında çok kullanılır.
İpucu: Faktöriyel hesaplamalarında n! = n×! kuralını kullan, büyük sayıları hesaplamak çok daha kolay hale gelir.

Permütasyon (Sıralama): Sıranın önemli olduğu durumlarda kullanılır. P(n,r) = n!/! formülüyle hesaplanır. 5 kişiden 3'ünün sırayla dizilmesi gibi.
Tekrarlı Permütasyon: Aynı nesneler varsa n!/(n₁!×n₂!×...×nₖ!) formülünü kullanırız. "MATEMATIK" kelimesinin harflerini karıştırmak gibi durumlarda.
Kombinasyon (Seçme): Sıranın önemsiz olduğu durumlarda C(n,r) = n!/ formülü kullanılır. 10 kişiden 5'lik takım seçmek gibi.
Hatırlatma: Permütasyon'da sıra önemli, kombinasyon'da önemsiz. "ABC" ile "BAC" permütasyonda farklı, kombinasyonda aynı!

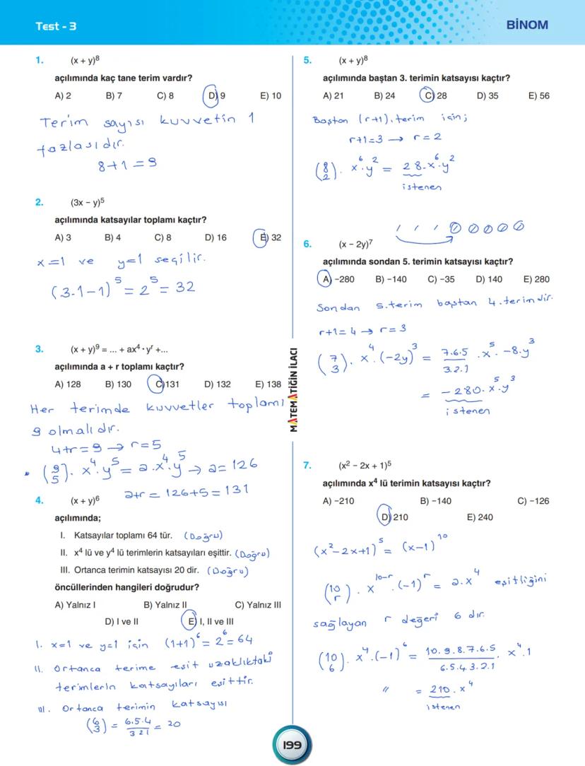
ⁿ açılımında n+1 tane terim vardır. Genel terim (n r) x^ y^r şeklindedir.
Önemli özellikler: Katsayılar toplamı 2ⁿ'dir . Baştan . terim formülü ile bulunur. Ortanca terimin katsayısı en büyüktür.
Pratik kullanım: ⁵ gibi açılımlarda işaret değişimlerine dikkat et. (-1)ʳ faktörü terimlerin işaretini belirler.
Sınav İpucu: Belirli bir terimin katsayısını bulmak için kuvvetleri eşitle ve r değerini bul. Sonra binom katsayısını hesapla.

Temel kavramlar: Örnek uzay tüm olası sonuçlar, olay ise bu uzayın alt kümesidir. P(A) = s(A)/s(E) formülüyle hesaplanır.
Olasılık kuralları: 0 ≤ P(A) ≤ 1 arasındadır. P(A) + P(A') = 1 (tümler olay kuralı). Ayrık olaylar için P(A∪B) = P(A) + P(B).
Bağımsız olaylar: A olayının gerçekleşmesi B'yi etkilemiyorsa P(A∩B) = P(A)×P(B) dir. Para atma ve zar atma gibi.
Koşullu olasılık: B gerçekleştiğinde A'nın olasılığı P(A|B) = P(A∩B)/P(B) formülüyle bulunur.
Gerçek Hayat Bağlantısı: Hava durumu tahmini, hastalık teşhisi, spor bahisleri hep olasılık hesaplarına dayanır!

Sayma problemleri: Giysi kombinasyonları, yol sayısı, PIN kodu oluşturma gibi sorularda çarpma ilkesini kullan. Her adımda kaç seçenek var, hepsini çarp.
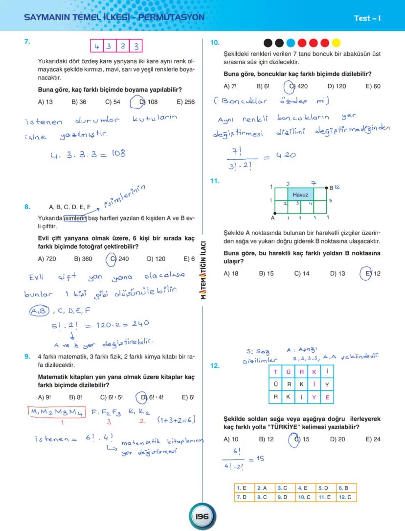
Permütasyon soruları: Kişilerin dizilmesi, kelime oluşturma, boyama problemlerinde sıra önemli. Kısıtlamalar varsa (yanyana, ayrı durma) özel teknikler uygula.
Şartlı sayma: "En az bir", "yan yana olma" gibi şartlar için tüm durumlardan istenmeyen durumları çıkar ya da durumları böl.
Çözüm Stratejisi: Önce problemi anlayıp ne aradığını belirle. Sıra önemli mi? Tekrarlayan eleman var mı? Bu sorulara göre formül seç.

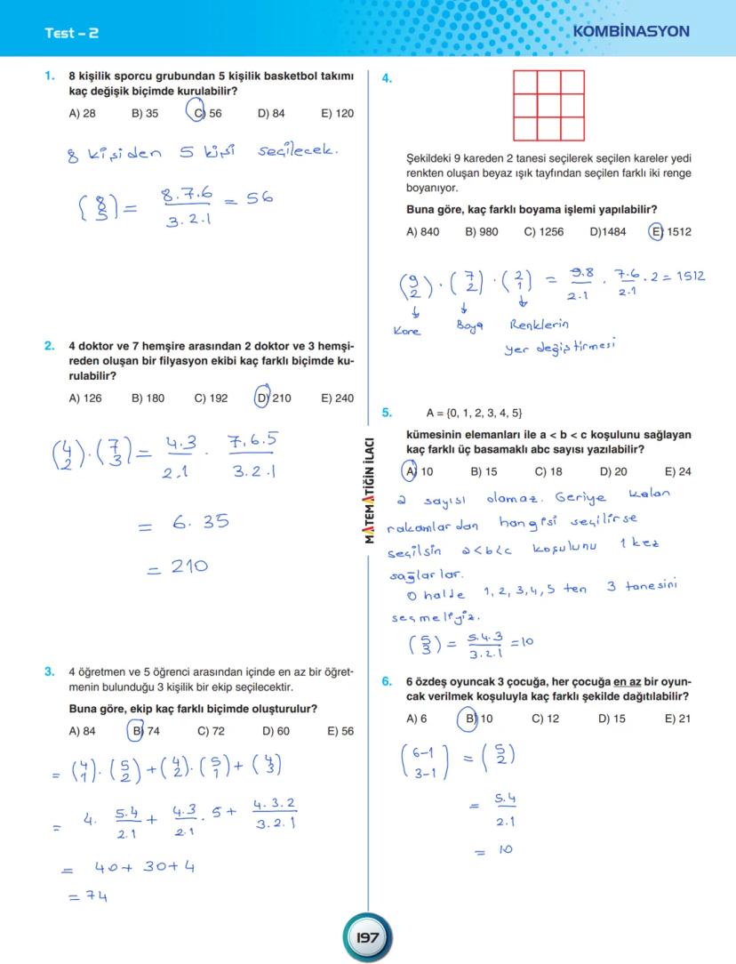
Seçme işlemleri: Takım kurma, komite oluşturma, nesne dağıtma problemlerinde kombinasyon kullanılır. C(n,r) formülüyle hesapla.
Karışık problemler: "En az bir öğretmen" gibi şartlarda tüm durumlardan istenmeyen durumları çıkar. Ya da durumları kategorilere ayırıp topla.
Geometrik kombinasyon: Nokta, doğru, üçgen sayma problemlerinde kombinasyonu geometri bilgisiyle birleştir. Doğrusal noktaları dikkatli say.
Taktik: Karmaşık problemlerde durumları kategorilere ayır ve her kategoriyi ayrı hesapla. Sonra topla veya çıkar.

Binom açılımı soruları: Belirli terimin katsayısı, katsayılar toplamı, sabit terim bulma tipik sorulardır. Kuvvetleri eşitleyerek r değerini bul.
Paskal üçgeni: Her satır bir binom açılımının katsayılarını verir. n. satırdaki katsayılar toplamı 2^'dir.
Karmaşık açılımlar: ⁵ = ¹⁰ gibi sadeleştirmeler yapmayı unutma. Negatif terimli açılımlarda işaretlere dikkat et.
Master İpucu: Binom sorularında x=1, y=1 koyarak katsayılar toplamını, x=1, y=-1 koyarak alternating toplamı bulabilirsin.

Bu bölümdeki test sonuçları konuyu ne kadar anladığını gösterir. Permütasyon, kombinasyon ve binom sorularında formülleri doğru uygulamak kritik.
Yanlış yaptığın soruları tekrar çöz ve hangi aşamada hata yaptığını bul. Çoğu hata formül seçiminde veya hesaplama aşamasında oluyor.
Sınav stratejisi: Önce kolay soruları çöz, zaman kazan. Karmaşık hesaplamalar yerine akıllı kısayollar kullan. Verilen cevap seçeneklerini kontrol amaçlı kullan.
Motivasyon: Bu konular başta zor gelebilir ama mantığını kavradığında matematik dersindeki en keyifli konulardan biri haline gelir!

Our AI Companion is a student-focused AI tool that offers more than just answers. Built on millions of Knowunity resources, it provides relevant information, personalised study plans, quizzes, and content directly in the chat, adapting to your individual learning journey.
You can download the app from Google Play Store and Apple App Store.
That's right! Enjoy free access to study content, connect with fellow students, and get instant help – all at your fingertips.
App Store
Google Play
The app is very easy to use and well designed. I have found everything I was looking for so far and have been able to learn a lot from the presentations! I will definitely use the app for a class assignment! And of course it also helps a lot as an inspiration.
Stefan S
iOS user
This app is really great. There are so many study notes and help [...]. My problem subject is French, for example, and the app has so many options for help. Thanks to this app, I have improved my French. I would recommend it to anyone.
Samantha Klich
Android user
Wow, I am really amazed. I just tried the app because I've seen it advertised many times and was absolutely stunned. This app is THE HELP you want for school and above all, it offers so many things, such as workouts and fact sheets, which have been VERY helpful to me personally.
Anna
iOS user
Best app on earth! no words because it’s too good
Thomas R
iOS user
Just amazing. Let's me revise 10x better, this app is a quick 10/10. I highly recommend it to anyone. I can watch and search for notes. I can save them in the subject folder. I can revise it any time when I come back. If you haven't tried this app, you're really missing out.
Basil
Android user
This app has made me feel so much more confident in my exam prep, not only through boosting my own self confidence through the features that allow you to connect with others and feel less alone, but also through the way the app itself is centred around making you feel better. It is easy to navigate, fun to use, and helpful to anyone struggling in absolutely any way.
David K
iOS user
The app's just great! All I have to do is enter the topic in the search bar and I get the response real fast. I don't have to watch 10 YouTube videos to understand something, so I'm saving my time. Highly recommended!
Sudenaz Ocak
Android user
In school I was really bad at maths but thanks to the app, I am doing better now. I am so grateful that you made the app.
Greenlight Bonnie
Android user
very reliable app to help and grow your ideas of Maths, English and other related topics in your works. please use this app if your struggling in areas, this app is key for that. wish I'd of done a review before. and it's also free so don't worry about that.
Rohan U
Android user
I know a lot of apps use fake accounts to boost their reviews but this app deserves it all. Originally I was getting 4 in my English exams and this time I got a grade 7. I didn’t even know about this app three days until the exam and it has helped A LOT. Please actually trust me and use it as I’m sure you too will see developments.
Xander S
iOS user
THE QUIZES AND FLASHCARDS ARE SO USEFUL AND I LOVE Knowunity AI. IT ALSO IS LITREALLY LIKE CHATGPT BUT SMARTER!! HELPED ME WITH MY MASCARA PROBLEMS TOO!! AS WELL AS MY REAL SUBJECTS ! DUHHH 😍😁😲🤑💗✨🎀😮
Elisha
iOS user
This apps acc the goat. I find revision so boring but this app makes it so easy to organize it all and then you can ask the freeeee ai to test yourself so good and you can easily upload your own stuff. highly recommend as someone taking mocks now
Paul T
iOS user
The app is very easy to use and well designed. I have found everything I was looking for so far and have been able to learn a lot from the presentations! I will definitely use the app for a class assignment! And of course it also helps a lot as an inspiration.
Stefan S
iOS user
This app is really great. There are so many study notes and help [...]. My problem subject is French, for example, and the app has so many options for help. Thanks to this app, I have improved my French. I would recommend it to anyone.
Samantha Klich
Android user
Wow, I am really amazed. I just tried the app because I've seen it advertised many times and was absolutely stunned. This app is THE HELP you want for school and above all, it offers so many things, such as workouts and fact sheets, which have been VERY helpful to me personally.
Anna
iOS user
Best app on earth! no words because it’s too good
Thomas R
iOS user
Just amazing. Let's me revise 10x better, this app is a quick 10/10. I highly recommend it to anyone. I can watch and search for notes. I can save them in the subject folder. I can revise it any time when I come back. If you haven't tried this app, you're really missing out.
Basil
Android user
This app has made me feel so much more confident in my exam prep, not only through boosting my own self confidence through the features that allow you to connect with others and feel less alone, but also through the way the app itself is centred around making you feel better. It is easy to navigate, fun to use, and helpful to anyone struggling in absolutely any way.
David K
iOS user
The app's just great! All I have to do is enter the topic in the search bar and I get the response real fast. I don't have to watch 10 YouTube videos to understand something, so I'm saving my time. Highly recommended!
Sudenaz Ocak
Android user
In school I was really bad at maths but thanks to the app, I am doing better now. I am so grateful that you made the app.
Greenlight Bonnie
Android user
very reliable app to help and grow your ideas of Maths, English and other related topics in your works. please use this app if your struggling in areas, this app is key for that. wish I'd of done a review before. and it's also free so don't worry about that.
Rohan U
Android user
I know a lot of apps use fake accounts to boost their reviews but this app deserves it all. Originally I was getting 4 in my English exams and this time I got a grade 7. I didn’t even know about this app three days until the exam and it has helped A LOT. Please actually trust me and use it as I’m sure you too will see developments.
Xander S
iOS user
THE QUIZES AND FLASHCARDS ARE SO USEFUL AND I LOVE Knowunity AI. IT ALSO IS LITREALLY LIKE CHATGPT BUT SMARTER!! HELPED ME WITH MY MASCARA PROBLEMS TOO!! AS WELL AS MY REAL SUBJECTS ! DUHHH 😍😁😲🤑💗✨🎀😮
Elisha
iOS user
This apps acc the goat. I find revision so boring but this app makes it so easy to organize it all and then you can ask the freeeee ai to test yourself so good and you can easily upload your own stuff. highly recommend as someone taking mocks now
Paul T
iOS user
Eslemduru
@durus
Matematik dünyasının en heyecan verici alanlarından biri olan permütasyon, kombinasyon ve olasılık konularını öğrenmeye hazır mısın? Bu konular günlük hayattan sınavlara kadar her yerde karşına çıkacak - telefonunuzun PIN kodundan futbol turnuvalarına kadar!

Access to all documents
Improve your grades
Join milions of students
Bu ünitede permütasyon, kombinasyon, binom ve olasılık konularının temellerini öğreneceğiz. Bu konular birbirleriyle bağlantılı olduğu için adım adım ilerleyeceğiz.
Ana başlıklar şunlar: saymanın temel ilkesi, permütasyon (sıralama), kombinasyon (seçme), binom teoremi ve olasılık hesaplamaları. Her konu günlük hayattan örneklerle desteklenecek.
Önemli Not: Bu konular ÖSYM sınavlarında sıkça çıkar, bu yüzden formülleri ezberlemek yerine mantığını anlamaya odaklan.

Access to all documents
Improve your grades
Join milions of students
Toplama yoluyla sayma: İki ayrık kümenin birleşiminin eleman sayısını bulmak için kümelerin eleman sayılarını toplarız. s(A∪B) = s(A) + s(B) şeklinde yazılır.
Çarpma yoluyla sayma: İki bağımsız olay varsa, toplam durum sayısı bu olayların durum sayılarının çarpımına eşittir. Örneğin 8 gömlek ve 6 pantolon varsa 8×6 = 48 farklı kombinasyon yapabilirsin.
Faktöriyel: n! = 1×2×3×...×n şeklinde hesaplanır. 5! = 120 gibi. Bu sembol permütasyon hesaplamalarında çok kullanılır.
İpucu: Faktöriyel hesaplamalarında n! = n×! kuralını kullan, büyük sayıları hesaplamak çok daha kolay hale gelir.

Access to all documents
Improve your grades
Join milions of students
Permütasyon (Sıralama): Sıranın önemli olduğu durumlarda kullanılır. P(n,r) = n!/! formülüyle hesaplanır. 5 kişiden 3'ünün sırayla dizilmesi gibi.
Tekrarlı Permütasyon: Aynı nesneler varsa n!/(n₁!×n₂!×...×nₖ!) formülünü kullanırız. "MATEMATIK" kelimesinin harflerini karıştırmak gibi durumlarda.
Kombinasyon (Seçme): Sıranın önemsiz olduğu durumlarda C(n,r) = n!/ formülü kullanılır. 10 kişiden 5'lik takım seçmek gibi.
Hatırlatma: Permütasyon'da sıra önemli, kombinasyon'da önemsiz. "ABC" ile "BAC" permütasyonda farklı, kombinasyonda aynı!

Access to all documents
Improve your grades
Join milions of students
ⁿ açılımında n+1 tane terim vardır. Genel terim (n r) x^ y^r şeklindedir.
Önemli özellikler: Katsayılar toplamı 2ⁿ'dir . Baştan . terim formülü ile bulunur. Ortanca terimin katsayısı en büyüktür.
Pratik kullanım: ⁵ gibi açılımlarda işaret değişimlerine dikkat et. (-1)ʳ faktörü terimlerin işaretini belirler.
Sınav İpucu: Belirli bir terimin katsayısını bulmak için kuvvetleri eşitle ve r değerini bul. Sonra binom katsayısını hesapla.

Access to all documents
Improve your grades
Join milions of students
Temel kavramlar: Örnek uzay tüm olası sonuçlar, olay ise bu uzayın alt kümesidir. P(A) = s(A)/s(E) formülüyle hesaplanır.
Olasılık kuralları: 0 ≤ P(A) ≤ 1 arasındadır. P(A) + P(A') = 1 (tümler olay kuralı). Ayrık olaylar için P(A∪B) = P(A) + P(B).
Bağımsız olaylar: A olayının gerçekleşmesi B'yi etkilemiyorsa P(A∩B) = P(A)×P(B) dir. Para atma ve zar atma gibi.
Koşullu olasılık: B gerçekleştiğinde A'nın olasılığı P(A|B) = P(A∩B)/P(B) formülüyle bulunur.
Gerçek Hayat Bağlantısı: Hava durumu tahmini, hastalık teşhisi, spor bahisleri hep olasılık hesaplarına dayanır!

Access to all documents
Improve your grades
Join milions of students
Sayma problemleri: Giysi kombinasyonları, yol sayısı, PIN kodu oluşturma gibi sorularda çarpma ilkesini kullan. Her adımda kaç seçenek var, hepsini çarp.
Permütasyon soruları: Kişilerin dizilmesi, kelime oluşturma, boyama problemlerinde sıra önemli. Kısıtlamalar varsa (yanyana, ayrı durma) özel teknikler uygula.
Şartlı sayma: "En az bir", "yan yana olma" gibi şartlar için tüm durumlardan istenmeyen durumları çıkar ya da durumları böl.
Çözüm Stratejisi: Önce problemi anlayıp ne aradığını belirle. Sıra önemli mi? Tekrarlayan eleman var mı? Bu sorulara göre formül seç.

Access to all documents
Improve your grades
Join milions of students
Seçme işlemleri: Takım kurma, komite oluşturma, nesne dağıtma problemlerinde kombinasyon kullanılır. C(n,r) formülüyle hesapla.
Karışık problemler: "En az bir öğretmen" gibi şartlarda tüm durumlardan istenmeyen durumları çıkar. Ya da durumları kategorilere ayırıp topla.
Geometrik kombinasyon: Nokta, doğru, üçgen sayma problemlerinde kombinasyonu geometri bilgisiyle birleştir. Doğrusal noktaları dikkatli say.
Taktik: Karmaşık problemlerde durumları kategorilere ayır ve her kategoriyi ayrı hesapla. Sonra topla veya çıkar.

Access to all documents
Improve your grades
Join milions of students
Binom açılımı soruları: Belirli terimin katsayısı, katsayılar toplamı, sabit terim bulma tipik sorulardır. Kuvvetleri eşitleyerek r değerini bul.
Paskal üçgeni: Her satır bir binom açılımının katsayılarını verir. n. satırdaki katsayılar toplamı 2^'dir.
Karmaşık açılımlar: ⁵ = ¹⁰ gibi sadeleştirmeler yapmayı unutma. Negatif terimli açılımlarda işaretlere dikkat et.
Master İpucu: Binom sorularında x=1, y=1 koyarak katsayılar toplamını, x=1, y=-1 koyarak alternating toplamı bulabilirsin.

Access to all documents
Improve your grades
Join milions of students
Bu bölümdeki test sonuçları konuyu ne kadar anladığını gösterir. Permütasyon, kombinasyon ve binom sorularında formülleri doğru uygulamak kritik.
Yanlış yaptığın soruları tekrar çöz ve hangi aşamada hata yaptığını bul. Çoğu hata formül seçiminde veya hesaplama aşamasında oluyor.
Sınav stratejisi: Önce kolay soruları çöz, zaman kazan. Karmaşık hesaplamalar yerine akıllı kısayollar kullan. Verilen cevap seçeneklerini kontrol amaçlı kullan.
Motivasyon: Bu konular başta zor gelebilir ama mantığını kavradığında matematik dersindeki en keyifli konulardan biri haline gelir!

Access to all documents
Improve your grades
Join milions of students
Our AI Companion is a student-focused AI tool that offers more than just answers. Built on millions of Knowunity resources, it provides relevant information, personalised study plans, quizzes, and content directly in the chat, adapting to your individual learning journey.
You can download the app from Google Play Store and Apple App Store.
That's right! Enjoy free access to study content, connect with fellow students, and get instant help – all at your fingertips.
15
Smart Tools NEW
Transform this note into: ✓ 50+ Practice Questions ✓ Interactive Flashcards ✓ Full Mock Exam ✓ Essay Outlines
App Store
Google Play
The app is very easy to use and well designed. I have found everything I was looking for so far and have been able to learn a lot from the presentations! I will definitely use the app for a class assignment! And of course it also helps a lot as an inspiration.
Stefan S
iOS user
This app is really great. There are so many study notes and help [...]. My problem subject is French, for example, and the app has so many options for help. Thanks to this app, I have improved my French. I would recommend it to anyone.
Samantha Klich
Android user
Wow, I am really amazed. I just tried the app because I've seen it advertised many times and was absolutely stunned. This app is THE HELP you want for school and above all, it offers so many things, such as workouts and fact sheets, which have been VERY helpful to me personally.
Anna
iOS user
Best app on earth! no words because it’s too good
Thomas R
iOS user
Just amazing. Let's me revise 10x better, this app is a quick 10/10. I highly recommend it to anyone. I can watch and search for notes. I can save them in the subject folder. I can revise it any time when I come back. If you haven't tried this app, you're really missing out.
Basil
Android user
This app has made me feel so much more confident in my exam prep, not only through boosting my own self confidence through the features that allow you to connect with others and feel less alone, but also through the way the app itself is centred around making you feel better. It is easy to navigate, fun to use, and helpful to anyone struggling in absolutely any way.
David K
iOS user
The app's just great! All I have to do is enter the topic in the search bar and I get the response real fast. I don't have to watch 10 YouTube videos to understand something, so I'm saving my time. Highly recommended!
Sudenaz Ocak
Android user
In school I was really bad at maths but thanks to the app, I am doing better now. I am so grateful that you made the app.
Greenlight Bonnie
Android user
very reliable app to help and grow your ideas of Maths, English and other related topics in your works. please use this app if your struggling in areas, this app is key for that. wish I'd of done a review before. and it's also free so don't worry about that.
Rohan U
Android user
I know a lot of apps use fake accounts to boost their reviews but this app deserves it all. Originally I was getting 4 in my English exams and this time I got a grade 7. I didn’t even know about this app three days until the exam and it has helped A LOT. Please actually trust me and use it as I’m sure you too will see developments.
Xander S
iOS user
THE QUIZES AND FLASHCARDS ARE SO USEFUL AND I LOVE Knowunity AI. IT ALSO IS LITREALLY LIKE CHATGPT BUT SMARTER!! HELPED ME WITH MY MASCARA PROBLEMS TOO!! AS WELL AS MY REAL SUBJECTS ! DUHHH 😍😁😲🤑💗✨🎀😮
Elisha
iOS user
This apps acc the goat. I find revision so boring but this app makes it so easy to organize it all and then you can ask the freeeee ai to test yourself so good and you can easily upload your own stuff. highly recommend as someone taking mocks now
Paul T
iOS user
The app is very easy to use and well designed. I have found everything I was looking for so far and have been able to learn a lot from the presentations! I will definitely use the app for a class assignment! And of course it also helps a lot as an inspiration.
Stefan S
iOS user
This app is really great. There are so many study notes and help [...]. My problem subject is French, for example, and the app has so many options for help. Thanks to this app, I have improved my French. I would recommend it to anyone.
Samantha Klich
Android user
Wow, I am really amazed. I just tried the app because I've seen it advertised many times and was absolutely stunned. This app is THE HELP you want for school and above all, it offers so many things, such as workouts and fact sheets, which have been VERY helpful to me personally.
Anna
iOS user
Best app on earth! no words because it’s too good
Thomas R
iOS user
Just amazing. Let's me revise 10x better, this app is a quick 10/10. I highly recommend it to anyone. I can watch and search for notes. I can save them in the subject folder. I can revise it any time when I come back. If you haven't tried this app, you're really missing out.
Basil
Android user
This app has made me feel so much more confident in my exam prep, not only through boosting my own self confidence through the features that allow you to connect with others and feel less alone, but also through the way the app itself is centred around making you feel better. It is easy to navigate, fun to use, and helpful to anyone struggling in absolutely any way.
David K
iOS user
The app's just great! All I have to do is enter the topic in the search bar and I get the response real fast. I don't have to watch 10 YouTube videos to understand something, so I'm saving my time. Highly recommended!
Sudenaz Ocak
Android user
In school I was really bad at maths but thanks to the app, I am doing better now. I am so grateful that you made the app.
Greenlight Bonnie
Android user
very reliable app to help and grow your ideas of Maths, English and other related topics in your works. please use this app if your struggling in areas, this app is key for that. wish I'd of done a review before. and it's also free so don't worry about that.
Rohan U
Android user
I know a lot of apps use fake accounts to boost their reviews but this app deserves it all. Originally I was getting 4 in my English exams and this time I got a grade 7. I didn’t even know about this app three days until the exam and it has helped A LOT. Please actually trust me and use it as I’m sure you too will see developments.
Xander S
iOS user
THE QUIZES AND FLASHCARDS ARE SO USEFUL AND I LOVE Knowunity AI. IT ALSO IS LITREALLY LIKE CHATGPT BUT SMARTER!! HELPED ME WITH MY MASCARA PROBLEMS TOO!! AS WELL AS MY REAL SUBJECTS ! DUHHH 😍😁😲🤑💗✨🎀😮
Elisha
iOS user
This apps acc the goat. I find revision so boring but this app makes it so easy to organize it all and then you can ask the freeeee ai to test yourself so good and you can easily upload your own stuff. highly recommend as someone taking mocks now
Paul T
iOS user