This GCSE area and circumference of circles study guidecovers... Show more
Sign up to see the contentIt's free!
Access to all documents
Improve your grades
Join milions of students
By signing up you accept Terms of Service and Privacy Policy
Responding to change (a2 only)
Energy transfers (a2 only)
Infection and response
Homeostasis and response
Cell biology
Organisms respond to changes in their internal and external environments (a-level only)
Biological molecules
Organisation
Substance exchange
Bioenergetics
Genetic information & variation
Inheritance, variation and evolution
Genetics & ecosystems (a2 only)
Ecology
Cells
Show all topics
1l the quest for political stability: germany, 1871-1991
Medieval period: 1066 -1509
The cold war
Inter-war germany
2d religious conflict and the church in england, c1529-c1570
2o democracy and nazism: germany, 1918-1945
1f industrialisation and the people: britain, c1783-1885
1c the tudors: england, 1485-1603
Britain & the wider world: 1745 -1901
2m wars and welfare: britain in transition, 1906-1957
World war two & the holocaust
2n revolution and dictatorship: russia, 1917-1953
2s the making of modern britain, 1951-2007
World war one
Britain: 1509 -1745
Show all topics

18
0
Asna C
18/11/2025
Maths
Area and Circumference of Circles
944
•
18 Nov 2025
•
Asna C
@asnac_jhfz
This GCSE area and circumference of circles study guidecovers... Show more









This page introduces fundamental concepts related to circles.
Question 1 asks students to draw and identify key parts of a circle:
Question 2 tests students' knowledge of circle terminology:
Definition: A radius is a line segment from the center of a circle to any point on its circumference.
Definition: A sector is a region of a circle enclosed by two radii and an arc.

This page focuses on applying formulas for circumference of a circle and area of a circle.
Question 3 involves calculating the circumference of a circle with a given radius:
Question 4 requires finding the area of a circle with a given diameter:
Example: For Question 3, the calculation would be: Circumference = 2π(6.5) ≈ 40.84 cm
Example: For Question 4, first calculate the radius (4.5 m), then: Area = π(4.5)² ≈ 63.6 m²
Questions 5 and 6 involve expressing answers in terms of π:
Highlight: Expressing answers in terms of π often provides a more precise result than rounding to decimal places.

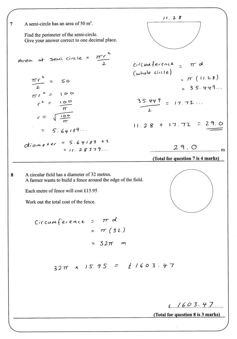
This page presents more complex problems involving circles and semi-circles.
Question 7 is a multi-step problem involving a semi-circle:
Question 8 is a real-world application problem:
Example: For Question 7, the steps would be:
- Use the semi-circle area formula: 50 = (πr²)/2
- Solve for r: r ≈ 5.64 m
- Calculate the perimeter: πr + 2r ≈ 29.0 m
Highlight: These problems demonstrate how circle geometry concepts apply to real-world situations.

This page focuses on problems involving combinations of circles and other shapes.
Question 9 presents a compound shape consisting of a square and a semi-circle:
Question 10 involves finding the area of a ring (the region between two concentric circles):
Vocabulary: Concentric circles are circles that share the same center point but have different radii.
Example: For Question 10, the calculation would be: Area of ring = π(7.5)² - π(6)² ≈ 80.55 cm²

This page deals with problems involving parts of circles and sectors.
Question 11 requires calculating the perimeter of three-quarters of a circle:
Question 12 involves finding the area of a complex shape:
Definition: A sector is a part of a circle enclosed by two radii and an arc.
Highlight: These problems test students' ability to visualize and work with portions of circles, combining different formulas and concepts.

This page focuses on problems involving circles in relation to squares.
Question 13 presents a circle inscribed in a square:
Example: For Question 13, the steps would be:
- Calculate the square area: 8² = 64 cm²
- Calculate the circle area: π(4)² ≈ 50.3 cm²
- Subtract: 64 - 50.3 ≈ 13.7 cm²
Highlight: This type of problem tests students' ability to work with multiple shapes and use subtraction to find areas of irregular regions.

The final page presents a complex problem involving the relationship between two circles.
Question 14 requires students to prove a relationship between a semi-circle and a smaller circle:
This problem involves:
Highlight: This question tests students' ability to work algebraically with circle formulas and demonstrate mathematical proof skills.
Example: The key steps in the solution are:
- Express the area of the semi-circle: (1/2)π(12)² = 72π
- Set up the equation: 72π = 8πr², where r is the radius of the smaller circle
- Solve to show that r = 3 cm
This final question serves as a challenging culmination of the concepts covered throughout the worksheet.

This GCSE (1-9) mathematics worksheet focuses on the area and circumference of circles. It contains 14 questions of varying difficulty, designed to test and reinforce students' understanding of circular geometry.
Highlight: The worksheet covers a range of topics from basic circle terminology to complex problem-solving involving circular shapes.
Key features of the worksheet include:
Vocabulary: GCSE (General Certificate of Secondary Education) is the main school-leaving qualification in England, Wales, and Northern Ireland.
Our AI Companion is a student-focused AI tool that offers more than just answers. Built on millions of Knowunity resources, it provides relevant information, personalised study plans, quizzes, and content directly in the chat, adapting to your individual learning journey.
You can download the app from Google Play Store and Apple App Store.
That's right! Enjoy free access to study content, connect with fellow students, and get instant help – all at your fingertips.
App Store
Google Play
The app is very easy to use and well designed. I have found everything I was looking for so far and have been able to learn a lot from the presentations! I will definitely use the app for a class assignment! And of course it also helps a lot as an inspiration.
Stefan S
iOS user
This app is really great. There are so many study notes and help [...]. My problem subject is French, for example, and the app has so many options for help. Thanks to this app, I have improved my French. I would recommend it to anyone.
Samantha Klich
Android user
Wow, I am really amazed. I just tried the app because I've seen it advertised many times and was absolutely stunned. This app is THE HELP you want for school and above all, it offers so many things, such as workouts and fact sheets, which have been VERY helpful to me personally.
Anna
iOS user
Best app on earth! no words because it’s too good
Thomas R
iOS user
Just amazing. Let's me revise 10x better, this app is a quick 10/10. I highly recommend it to anyone. I can watch and search for notes. I can save them in the subject folder. I can revise it any time when I come back. If you haven't tried this app, you're really missing out.
Basil
Android user
This app has made me feel so much more confident in my exam prep, not only through boosting my own self confidence through the features that allow you to connect with others and feel less alone, but also through the way the app itself is centred around making you feel better. It is easy to navigate, fun to use, and helpful to anyone struggling in absolutely any way.
David K
iOS user
The app's just great! All I have to do is enter the topic in the search bar and I get the response real fast. I don't have to watch 10 YouTube videos to understand something, so I'm saving my time. Highly recommended!
Sudenaz Ocak
Android user
In school I was really bad at maths but thanks to the app, I am doing better now. I am so grateful that you made the app.
Greenlight Bonnie
Android user
very reliable app to help and grow your ideas of Maths, English and other related topics in your works. please use this app if your struggling in areas, this app is key for that. wish I'd of done a review before. and it's also free so don't worry about that.
Rohan U
Android user
I know a lot of apps use fake accounts to boost their reviews but this app deserves it all. Originally I was getting 4 in my English exams and this time I got a grade 7. I didn’t even know about this app three days until the exam and it has helped A LOT. Please actually trust me and use it as I’m sure you too will see developments.
Xander S
iOS user
THE QUIZES AND FLASHCARDS ARE SO USEFUL AND I LOVE THE SCHOOLGPT. IT ALSO IS LITREALLY LIKE CHATGPT BUT SMARTER!! HELPED ME WITH MY MASCARA PROBLEMS TOO!! AS WELL AS MY REAL SUBJECTS ! DUHHH 😍😁😲🤑💗✨🎀😮
Elisha
iOS user
This apps acc the goat. I find revision so boring but this app makes it so easy to organize it all and then you can ask the freeeee ai to test yourself so good and you can easily upload your own stuff. highly recommend as someone taking mocks now
Paul T
iOS user
The app is very easy to use and well designed. I have found everything I was looking for so far and have been able to learn a lot from the presentations! I will definitely use the app for a class assignment! And of course it also helps a lot as an inspiration.
Stefan S
iOS user
This app is really great. There are so many study notes and help [...]. My problem subject is French, for example, and the app has so many options for help. Thanks to this app, I have improved my French. I would recommend it to anyone.
Samantha Klich
Android user
Wow, I am really amazed. I just tried the app because I've seen it advertised many times and was absolutely stunned. This app is THE HELP you want for school and above all, it offers so many things, such as workouts and fact sheets, which have been VERY helpful to me personally.
Anna
iOS user
Best app on earth! no words because it’s too good
Thomas R
iOS user
Just amazing. Let's me revise 10x better, this app is a quick 10/10. I highly recommend it to anyone. I can watch and search for notes. I can save them in the subject folder. I can revise it any time when I come back. If you haven't tried this app, you're really missing out.
Basil
Android user
This app has made me feel so much more confident in my exam prep, not only through boosting my own self confidence through the features that allow you to connect with others and feel less alone, but also through the way the app itself is centred around making you feel better. It is easy to navigate, fun to use, and helpful to anyone struggling in absolutely any way.
David K
iOS user
The app's just great! All I have to do is enter the topic in the search bar and I get the response real fast. I don't have to watch 10 YouTube videos to understand something, so I'm saving my time. Highly recommended!
Sudenaz Ocak
Android user
In school I was really bad at maths but thanks to the app, I am doing better now. I am so grateful that you made the app.
Greenlight Bonnie
Android user
very reliable app to help and grow your ideas of Maths, English and other related topics in your works. please use this app if your struggling in areas, this app is key for that. wish I'd of done a review before. and it's also free so don't worry about that.
Rohan U
Android user
I know a lot of apps use fake accounts to boost their reviews but this app deserves it all. Originally I was getting 4 in my English exams and this time I got a grade 7. I didn’t even know about this app three days until the exam and it has helped A LOT. Please actually trust me and use it as I’m sure you too will see developments.
Xander S
iOS user
THE QUIZES AND FLASHCARDS ARE SO USEFUL AND I LOVE THE SCHOOLGPT. IT ALSO IS LITREALLY LIKE CHATGPT BUT SMARTER!! HELPED ME WITH MY MASCARA PROBLEMS TOO!! AS WELL AS MY REAL SUBJECTS ! DUHHH 😍😁😲🤑💗✨🎀😮
Elisha
iOS user
This apps acc the goat. I find revision so boring but this app makes it so easy to organize it all and then you can ask the freeeee ai to test yourself so good and you can easily upload your own stuff. highly recommend as someone taking mocks now
Paul T
iOS user
Asna C
@asnac_jhfz
This GCSE area and circumference of circles study guide covers essential concepts and practice problems for calculating the area and circumference of circles. It provides step-by-step solutions and explanations for various circle-related questions.
Key points:

Access to all documents
Improve your grades
Join milions of students
By signing up you accept Terms of Service and Privacy Policy
This page introduces fundamental concepts related to circles.
Question 1 asks students to draw and identify key parts of a circle:
Question 2 tests students' knowledge of circle terminology:
Definition: A radius is a line segment from the center of a circle to any point on its circumference.
Definition: A sector is a region of a circle enclosed by two radii and an arc.

Access to all documents
Improve your grades
Join milions of students
By signing up you accept Terms of Service and Privacy Policy
This page focuses on applying formulas for circumference of a circle and area of a circle.
Question 3 involves calculating the circumference of a circle with a given radius:
Question 4 requires finding the area of a circle with a given diameter:
Example: For Question 3, the calculation would be: Circumference = 2π(6.5) ≈ 40.84 cm
Example: For Question 4, first calculate the radius (4.5 m), then: Area = π(4.5)² ≈ 63.6 m²
Questions 5 and 6 involve expressing answers in terms of π:
Highlight: Expressing answers in terms of π often provides a more precise result than rounding to decimal places.

Access to all documents
Improve your grades
Join milions of students
By signing up you accept Terms of Service and Privacy Policy
This page presents more complex problems involving circles and semi-circles.
Question 7 is a multi-step problem involving a semi-circle:
Question 8 is a real-world application problem:
Example: For Question 7, the steps would be:
- Use the semi-circle area formula: 50 = (πr²)/2
- Solve for r: r ≈ 5.64 m
- Calculate the perimeter: πr + 2r ≈ 29.0 m
Highlight: These problems demonstrate how circle geometry concepts apply to real-world situations.

Access to all documents
Improve your grades
Join milions of students
By signing up you accept Terms of Service and Privacy Policy
This page focuses on problems involving combinations of circles and other shapes.
Question 9 presents a compound shape consisting of a square and a semi-circle:
Question 10 involves finding the area of a ring (the region between two concentric circles):
Vocabulary: Concentric circles are circles that share the same center point but have different radii.
Example: For Question 10, the calculation would be: Area of ring = π(7.5)² - π(6)² ≈ 80.55 cm²

Access to all documents
Improve your grades
Join milions of students
By signing up you accept Terms of Service and Privacy Policy
This page deals with problems involving parts of circles and sectors.
Question 11 requires calculating the perimeter of three-quarters of a circle:
Question 12 involves finding the area of a complex shape:
Definition: A sector is a part of a circle enclosed by two radii and an arc.
Highlight: These problems test students' ability to visualize and work with portions of circles, combining different formulas and concepts.

Access to all documents
Improve your grades
Join milions of students
By signing up you accept Terms of Service and Privacy Policy
This page focuses on problems involving circles in relation to squares.
Question 13 presents a circle inscribed in a square:
Example: For Question 13, the steps would be:
- Calculate the square area: 8² = 64 cm²
- Calculate the circle area: π(4)² ≈ 50.3 cm²
- Subtract: 64 - 50.3 ≈ 13.7 cm²
Highlight: This type of problem tests students' ability to work with multiple shapes and use subtraction to find areas of irregular regions.

Access to all documents
Improve your grades
Join milions of students
By signing up you accept Terms of Service and Privacy Policy
The final page presents a complex problem involving the relationship between two circles.
Question 14 requires students to prove a relationship between a semi-circle and a smaller circle:
This problem involves:
Highlight: This question tests students' ability to work algebraically with circle formulas and demonstrate mathematical proof skills.
Example: The key steps in the solution are:
- Express the area of the semi-circle: (1/2)π(12)² = 72π
- Set up the equation: 72π = 8πr², where r is the radius of the smaller circle
- Solve to show that r = 3 cm
This final question serves as a challenging culmination of the concepts covered throughout the worksheet.

Access to all documents
Improve your grades
Join milions of students
By signing up you accept Terms of Service and Privacy Policy
This GCSE (1-9) mathematics worksheet focuses on the area and circumference of circles. It contains 14 questions of varying difficulty, designed to test and reinforce students' understanding of circular geometry.
Highlight: The worksheet covers a range of topics from basic circle terminology to complex problem-solving involving circular shapes.
Key features of the worksheet include:
Vocabulary: GCSE (General Certificate of Secondary Education) is the main school-leaving qualification in England, Wales, and Northern Ireland.
Our AI Companion is a student-focused AI tool that offers more than just answers. Built on millions of Knowunity resources, it provides relevant information, personalised study plans, quizzes, and content directly in the chat, adapting to your individual learning journey.
You can download the app from Google Play Store and Apple App Store.
That's right! Enjoy free access to study content, connect with fellow students, and get instant help – all at your fingertips.
18
Smart Tools NEW
Transform this note into: ✓ 50+ Practice Questions ✓ Interactive Flashcards ✓ Full Mock Exam ✓ Essay Outlines
Explore key concepts in geometry and pressure calculations, including formulas for the volume and surface area of cones, cylinders, and spheres. This summary covers essential topics such as arc length, sector area, and hydrostatic pressure, providing a comprehensive overview for students preparing for exams. Ideal for quick revision and understanding of 3D objects and circle properties.
Explore essential concepts of circles including circumference, diameter, radius, chords, tangents, sectors, arcs, and segments. This summary provides key formulas and properties crucial for GCSE Maths. Perfect for quick revision and understanding of circle geometry.
Explore key concepts in circle geometry, including parts of a circle, essential formulae for circumference, area, and sector calculations. This summary provides step-by-step models and example questions to enhance your understanding of circle properties and their applications in GCSE Maths.
Explore essential GCSE Maths concepts including trigonometric formulas, circle theorems, and area calculations. This summary covers Pythagoras' theorem, sine and cosine rules, and key properties of circles, providing clear explanations and formulas for effective revision. Ideal for Edexcel Higher students preparing for exams.
Explore the fundamental components of circle geometry, including definitions and visual representations of the center, radius, diameter, chord, arc, segment, sector, and tangent. This summary provides a clear understanding of each part's role in circle mathematics.
Explore the essential components of a circle, including the radius, diameter, circumference, and more. This summary provides clear definitions and relationships between these key concepts, ideal for students studying geometry.
App Store
Google Play
The app is very easy to use and well designed. I have found everything I was looking for so far and have been able to learn a lot from the presentations! I will definitely use the app for a class assignment! And of course it also helps a lot as an inspiration.
Stefan S
iOS user
This app is really great. There are so many study notes and help [...]. My problem subject is French, for example, and the app has so many options for help. Thanks to this app, I have improved my French. I would recommend it to anyone.
Samantha Klich
Android user
Wow, I am really amazed. I just tried the app because I've seen it advertised many times and was absolutely stunned. This app is THE HELP you want for school and above all, it offers so many things, such as workouts and fact sheets, which have been VERY helpful to me personally.
Anna
iOS user
Best app on earth! no words because it’s too good
Thomas R
iOS user
Just amazing. Let's me revise 10x better, this app is a quick 10/10. I highly recommend it to anyone. I can watch and search for notes. I can save them in the subject folder. I can revise it any time when I come back. If you haven't tried this app, you're really missing out.
Basil
Android user
This app has made me feel so much more confident in my exam prep, not only through boosting my own self confidence through the features that allow you to connect with others and feel less alone, but also through the way the app itself is centred around making you feel better. It is easy to navigate, fun to use, and helpful to anyone struggling in absolutely any way.
David K
iOS user
The app's just great! All I have to do is enter the topic in the search bar and I get the response real fast. I don't have to watch 10 YouTube videos to understand something, so I'm saving my time. Highly recommended!
Sudenaz Ocak
Android user
In school I was really bad at maths but thanks to the app, I am doing better now. I am so grateful that you made the app.
Greenlight Bonnie
Android user
very reliable app to help and grow your ideas of Maths, English and other related topics in your works. please use this app if your struggling in areas, this app is key for that. wish I'd of done a review before. and it's also free so don't worry about that.
Rohan U
Android user
I know a lot of apps use fake accounts to boost their reviews but this app deserves it all. Originally I was getting 4 in my English exams and this time I got a grade 7. I didn’t even know about this app three days until the exam and it has helped A LOT. Please actually trust me and use it as I’m sure you too will see developments.
Xander S
iOS user
THE QUIZES AND FLASHCARDS ARE SO USEFUL AND I LOVE THE SCHOOLGPT. IT ALSO IS LITREALLY LIKE CHATGPT BUT SMARTER!! HELPED ME WITH MY MASCARA PROBLEMS TOO!! AS WELL AS MY REAL SUBJECTS ! DUHHH 😍😁😲🤑💗✨🎀😮
Elisha
iOS user
This apps acc the goat. I find revision so boring but this app makes it so easy to organize it all and then you can ask the freeeee ai to test yourself so good and you can easily upload your own stuff. highly recommend as someone taking mocks now
Paul T
iOS user
The app is very easy to use and well designed. I have found everything I was looking for so far and have been able to learn a lot from the presentations! I will definitely use the app for a class assignment! And of course it also helps a lot as an inspiration.
Stefan S
iOS user
This app is really great. There are so many study notes and help [...]. My problem subject is French, for example, and the app has so many options for help. Thanks to this app, I have improved my French. I would recommend it to anyone.
Samantha Klich
Android user
Wow, I am really amazed. I just tried the app because I've seen it advertised many times and was absolutely stunned. This app is THE HELP you want for school and above all, it offers so many things, such as workouts and fact sheets, which have been VERY helpful to me personally.
Anna
iOS user
Best app on earth! no words because it’s too good
Thomas R
iOS user
Just amazing. Let's me revise 10x better, this app is a quick 10/10. I highly recommend it to anyone. I can watch and search for notes. I can save them in the subject folder. I can revise it any time when I come back. If you haven't tried this app, you're really missing out.
Basil
Android user
This app has made me feel so much more confident in my exam prep, not only through boosting my own self confidence through the features that allow you to connect with others and feel less alone, but also through the way the app itself is centred around making you feel better. It is easy to navigate, fun to use, and helpful to anyone struggling in absolutely any way.
David K
iOS user
The app's just great! All I have to do is enter the topic in the search bar and I get the response real fast. I don't have to watch 10 YouTube videos to understand something, so I'm saving my time. Highly recommended!
Sudenaz Ocak
Android user
In school I was really bad at maths but thanks to the app, I am doing better now. I am so grateful that you made the app.
Greenlight Bonnie
Android user
very reliable app to help and grow your ideas of Maths, English and other related topics in your works. please use this app if your struggling in areas, this app is key for that. wish I'd of done a review before. and it's also free so don't worry about that.
Rohan U
Android user
I know a lot of apps use fake accounts to boost their reviews but this app deserves it all. Originally I was getting 4 in my English exams and this time I got a grade 7. I didn’t even know about this app three days until the exam and it has helped A LOT. Please actually trust me and use it as I’m sure you too will see developments.
Xander S
iOS user
THE QUIZES AND FLASHCARDS ARE SO USEFUL AND I LOVE THE SCHOOLGPT. IT ALSO IS LITREALLY LIKE CHATGPT BUT SMARTER!! HELPED ME WITH MY MASCARA PROBLEMS TOO!! AS WELL AS MY REAL SUBJECTS ! DUHHH 😍😁😲🤑💗✨🎀😮
Elisha
iOS user
This apps acc the goat. I find revision so boring but this app makes it so easy to organize it all and then you can ask the freeeee ai to test yourself so good and you can easily upload your own stuff. highly recommend as someone taking mocks now
Paul T
iOS user