The transcript appears to be missing, so I cannot generate... Show more
Sign up to see the contentIt's free!
Access to all documents
Improve your grades
Join milions of students
By signing up you accept Terms of Service and Privacy Policy
Responding to change (a2 only)
Energy transfers (a2 only)
Infection and response
Homeostasis and response
Cell biology
Organisms respond to changes in their internal and external environments (a-level only)
Biological molecules
Organisation
Substance exchange
Bioenergetics
Genetic information & variation
Inheritance, variation and evolution
Genetics & ecosystems (a2 only)
Ecology
Cells
Show all topics
1l the quest for political stability: germany, 1871-1991
Medieval period: 1066 -1509
The cold war
Inter-war germany
2d religious conflict and the church in england, c1529-c1570
2o democracy and nazism: germany, 1918-1945
1f industrialisation and the people: britain, c1783-1885
1c the tudors: england, 1485-1603
Britain & the wider world: 1745 -1901
2m wars and welfare: britain in transition, 1906-1957
World war two & the holocaust
2n revolution and dictatorship: russia, 1917-1953
2s the making of modern britain, 1951-2007
World war one
Britain: 1509 -1745
Show all topics

8
0
Los
27/11/2025
Physics
june 2022 physics paper 3 worked solutions
315
•
27 Nov 2025
•
Los
@los
The transcript appears to be missing, so I cannot generate... Show more











The study of gravitational forces and motion on Venus provides fascinating insights into planetary physics. When we calculate gravitational field strength on Venus, we must consider its unique properties including its mass of 4.87 x 10²⁴ kg and radius of 6050 km. The gravitational field strength at Venus's surface reaches approximately 8.87 N/kg, notably different from Earth's 9.81 N/kg due to Venus's distinct mass and radius characteristics.
Definition: Gravitational field strength represents the force per unit mass experienced by any object in a gravitational field, measured in Newtons per kilogram .
The centripetal acceleration probe on Venus experiment reveals fascinating differences between equatorial and polar locations. When analyzing space probes landing on Venus, we must account for both gravitational effects and atmospheric conditions. The dense Venusian atmosphere, with a surface density of 65 kg/m³, creates significant upthrust forces affecting any landed equipment.
Understanding the interplay between gravitational forces, atmospheric pressure, and rotational effects is crucial for space exploration missions to Venus. The normal contact forces experienced by probes vary depending on their landing location, with polar probes experiencing different forces than equatorial ones due to Venus's rotation.

The rotation period of Venus, approximately 5830 hours, creates unique conditions for scientific equipment placed on its surface. When calculating centripetal acceleration for objects at the equator, we must consider both the planet's radius and its angular velocity. This becomes particularly relevant for space probes like the hypothetical 760 kg probe with a volume of 1.7 m³.
Example: A probe at Venus's equator experiences centripetal acceleration of approximately 5.42 x 10⁻⁷ m/s², calculated using the formula a = ω²r, where ω is the angular velocity and r is the radius.
The atmospheric upthrust on Venus plays a crucial role in probe stability. With Venus's dense atmosphere, the upthrust can be calculated by considering the weight of displaced atmospheric gases. This calculation involves multiplying the volume of the probe by the atmospheric density and the local gravitational field strength.

When analyzing forces on Venus, we must consider multiple factors simultaneously: gravitational force, atmospheric upthrust, and centripetal effects. The normal contact force varies between polar and equatorial locations due to the planet's rotation. At the poles, forces are more straightforward as there's no centripetal component to consider.
Highlight: The normal contact force at the poles differs from that at the equator due to the additional centripetal force component at equatorial locations.
The total force analysis must include:
This comprehensive force analysis helps engineers design appropriate landing systems for Venus missions and ensures accurate scientific measurements can be taken at different locations on the planet's surface.

When designing experiments for Venus's surface, scientists must account for the extreme conditions and various forces at play. The high atmospheric density affects both the landing process and ongoing operations of any equipment placed on the surface. Understanding these forces is crucial for successful mission planning.
Vocabulary: Upthrust - The upward force exerted by a fluid (liquid or gas) on an object immersed in it, equal to the weight of the fluid displaced.
The difference in normal contact forces between polar and equatorial locations has important implications for equipment design and experimental setup. Engineers must consider these variations when designing landing gear and stabilization systems for Venus probes. The combined effects of gravity, atmosphere, and planetary rotation create unique challenges for Venus exploration missions.
The successful operation of scientific equipment on Venus requires careful consideration of all these physical factors, making it one of the most challenging environments for space exploration in our solar system.

When conducting physics experiments involving oscillation period uniform rod physics experiment, precise measurements and proper technique are essential for accurate results. The setup involves a uniform rod pivoted at one end, allowing it to swing back and forth in a regular motion.
To determine the period of oscillation accurately, scientists use specific measurement techniques. Rather than timing a single oscillation, which could introduce significant error, it's standard practice to measure multiple oscillations. The experimenter should time 10 complete oscillations and then divide by 10 to find the average period. This method reduces the impact of reaction time errors and provides more reliable data.
Definition: An oscillation is one complete back-and-forth motion of the rod, starting and ending at the same position.
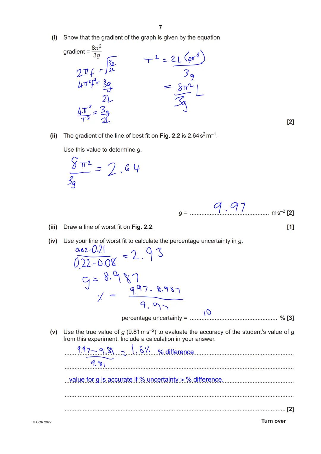
The relationship between the rod's length and oscillation period follows a mathematical pattern. The frequency (f) of oscillations relates to the length (L) of the rod and gravitational acceleration (g) through the equation f = 1/(2π) √. This relationship demonstrates how the physical properties of the system affect its motion.

When studying oscillating systems, graphical analysis provides valuable insights into the relationship between variables. By plotting T² (period squared) against L (length), scientists can determine important physical constants like gravitational acceleration.
The gradient of such a graph has special significance, being equal to 8π²/3g. This relationship allows researchers to calculate the local gravitational field strength from experimental data. Using a measured gradient of 2.64 s²/m, calculations yield a value for g that can be compared to the accepted value of 9.81 m/s².
Example: To calculate g from the gradient: g = 8π²/(3 × gradient) g = 8π²/(3 × 2.64) ≈ 9.97 m/s²
Understanding uncertainty is crucial in experimental physics. By drawing lines of best and worst fit through data points, scientists can estimate the percentage uncertainty in their measurements. This helps evaluate the accuracy and reliability of experimental results.

In nuclear physics, understanding particle transformations is fundamental. Beta-plus decay involves the conversion of a proton into other particles, following specific conservation laws. The process can be represented by a nuclear equation showing the transformation of a proton into a neutron, positron, and neutrino.
Vocabulary: Beta-plus decay is a type of radioactive decay where a proton changes into a neutron while emitting a positron and an electron neutrino.
The experimental investigation of radioactive sources requires careful safety procedures and systematic testing methods. Using materials of different thicknesses for absorption tests, along with magnetic fields for deflection studies, allows scientists to identify different types of radiation emissions.

When working with radioactive sources, proper safety protocols and detection methods are essential. Scientists use various tools including Geiger-Müller tubes, absorption materials, and magnetic fields to characterize radiation types.
Different radiation types interact distinctively with matter and magnetic fields. Gamma rays penetrate most materials easily but aren't deflected by magnetic fields. Beta particles (both positive and negative) are less penetrating and are deflected by magnetic fields in opposite directions.
Highlight: Safety is paramount when working with radioactive sources. Always work under supervision and use appropriate shielding and detection equipment.
The systematic testing of radiation properties allows for the safe and accurate identification of unknown sources. This process involves measuring penetration through different materials and observing deflection patterns in magnetic fields.

The cosmic microwave background radiation represents one of the most significant pieces of evidence for the Big Bang theory, providing crucial insights into the early universe. This omnipresent radiation, detected at a temperature of 2.7 Kelvin with an intensity of 3 x 10-6 Watts per square meter, tells a fascinating story of our universe's evolution.
Definition: Cosmic microwave background radiation (CMB) is the afterglow of the Big Bang, consisting of electromagnetic radiation that fills all space and provides evidence of the early universe's conditions.
The origin of this background radiation traces back to the universe's earliest moments. Initially, the universe existed in an incredibly hot and dense state, filled with high-energy gamma radiation. As the universe underwent rapid expansion, it gradually cooled, causing the wavelength of the original gamma photons to stretch dramatically. This process, known as cosmological redshift, transformed the high-energy radiation into the microwave radiation we detect today at 2.7 Kelvin.
Wien's displacement law plays a crucial role in understanding how this radiation has evolved over time. The law demonstrates the relationship between an object's temperature and the peak wavelength of its electromagnetic emission spectrum. In the current universe, this peak occurs at approximately 1.1 millimeters for the cosmic microwave background radiation. However, examining the spectrum's evolution provides fascinating insights into the universe's past conditions.
Example: If we could observe the cosmic microwave background radiation billions of years ago, we would see its peak intensity at significantly shorter wavelengths, corresponding to higher temperatures. The spectrum would be shifted toward higher frequencies, reflecting the universe's hotter past.

The relationship between temperature and wavelength in cosmic radiation follows a precise mathematical pattern described by Wien's displacement law. As the universe has cooled over billions of years, the peak wavelength of the cosmic microwave background radiation has systematically increased, providing a direct measurement of cosmic evolution.
Highlight: The current peak wavelength of 1.1 millimeters represents the end point of a long evolutionary process, where the original high-energy gamma radiation has been stretched by the expansion of space itself.
When analyzing historical cosmic radiation spectra, scientists can effectively "wind back the clock" using Wien's law. Earlier in the universe's history, the radiation's peak intensity occurred at shorter wavelengths, corresponding to higher temperatures. This shift in the spectrum's peak provides crucial evidence for the Big Bang theory and helps astronomers understand the universe's cooling process.
The study of cosmic microwave background radiation continues to yield new insights into the universe's properties and evolution. Modern precision measurements of its spectrum and slight variations in different directions provide valuable information about the early universe's structure and the distribution of matter that would eventually form galaxies and galaxy clusters.
Vocabulary: Wien's displacement law states that the wavelength of peak emission from a black body is inversely proportional to its absolute temperature, expressed mathematically as λmax = b/T, where b is Wien's displacement constant.
Our AI Companion is a student-focused AI tool that offers more than just answers. Built on millions of Knowunity resources, it provides relevant information, personalised study plans, quizzes, and content directly in the chat, adapting to your individual learning journey.
You can download the app from Google Play Store and Apple App Store.
That's right! Enjoy free access to study content, connect with fellow students, and get instant help – all at your fingertips.
App Store
Google Play
The app is very easy to use and well designed. I have found everything I was looking for so far and have been able to learn a lot from the presentations! I will definitely use the app for a class assignment! And of course it also helps a lot as an inspiration.
Stefan S
iOS user
This app is really great. There are so many study notes and help [...]. My problem subject is French, for example, and the app has so many options for help. Thanks to this app, I have improved my French. I would recommend it to anyone.
Samantha Klich
Android user
Wow, I am really amazed. I just tried the app because I've seen it advertised many times and was absolutely stunned. This app is THE HELP you want for school and above all, it offers so many things, such as workouts and fact sheets, which have been VERY helpful to me personally.
Anna
iOS user
Best app on earth! no words because it’s too good
Thomas R
iOS user
Just amazing. Let's me revise 10x better, this app is a quick 10/10. I highly recommend it to anyone. I can watch and search for notes. I can save them in the subject folder. I can revise it any time when I come back. If you haven't tried this app, you're really missing out.
Basil
Android user
This app has made me feel so much more confident in my exam prep, not only through boosting my own self confidence through the features that allow you to connect with others and feel less alone, but also through the way the app itself is centred around making you feel better. It is easy to navigate, fun to use, and helpful to anyone struggling in absolutely any way.
David K
iOS user
The app's just great! All I have to do is enter the topic in the search bar and I get the response real fast. I don't have to watch 10 YouTube videos to understand something, so I'm saving my time. Highly recommended!
Sudenaz Ocak
Android user
In school I was really bad at maths but thanks to the app, I am doing better now. I am so grateful that you made the app.
Greenlight Bonnie
Android user
very reliable app to help and grow your ideas of Maths, English and other related topics in your works. please use this app if your struggling in areas, this app is key for that. wish I'd of done a review before. and it's also free so don't worry about that.
Rohan U
Android user
I know a lot of apps use fake accounts to boost their reviews but this app deserves it all. Originally I was getting 4 in my English exams and this time I got a grade 7. I didn’t even know about this app three days until the exam and it has helped A LOT. Please actually trust me and use it as I’m sure you too will see developments.
Xander S
iOS user
THE QUIZES AND FLASHCARDS ARE SO USEFUL AND I LOVE THE SCHOOLGPT. IT ALSO IS LITREALLY LIKE CHATGPT BUT SMARTER!! HELPED ME WITH MY MASCARA PROBLEMS TOO!! AS WELL AS MY REAL SUBJECTS ! DUHHH 😍😁😲🤑💗✨🎀😮
Elisha
iOS user
This apps acc the goat. I find revision so boring but this app makes it so easy to organize it all and then you can ask the freeeee ai to test yourself so good and you can easily upload your own stuff. highly recommend as someone taking mocks now
Paul T
iOS user
The app is very easy to use and well designed. I have found everything I was looking for so far and have been able to learn a lot from the presentations! I will definitely use the app for a class assignment! And of course it also helps a lot as an inspiration.
Stefan S
iOS user
This app is really great. There are so many study notes and help [...]. My problem subject is French, for example, and the app has so many options for help. Thanks to this app, I have improved my French. I would recommend it to anyone.
Samantha Klich
Android user
Wow, I am really amazed. I just tried the app because I've seen it advertised many times and was absolutely stunned. This app is THE HELP you want for school and above all, it offers so many things, such as workouts and fact sheets, which have been VERY helpful to me personally.
Anna
iOS user
Best app on earth! no words because it’s too good
Thomas R
iOS user
Just amazing. Let's me revise 10x better, this app is a quick 10/10. I highly recommend it to anyone. I can watch and search for notes. I can save them in the subject folder. I can revise it any time when I come back. If you haven't tried this app, you're really missing out.
Basil
Android user
This app has made me feel so much more confident in my exam prep, not only through boosting my own self confidence through the features that allow you to connect with others and feel less alone, but also through the way the app itself is centred around making you feel better. It is easy to navigate, fun to use, and helpful to anyone struggling in absolutely any way.
David K
iOS user
The app's just great! All I have to do is enter the topic in the search bar and I get the response real fast. I don't have to watch 10 YouTube videos to understand something, so I'm saving my time. Highly recommended!
Sudenaz Ocak
Android user
In school I was really bad at maths but thanks to the app, I am doing better now. I am so grateful that you made the app.
Greenlight Bonnie
Android user
very reliable app to help and grow your ideas of Maths, English and other related topics in your works. please use this app if your struggling in areas, this app is key for that. wish I'd of done a review before. and it's also free so don't worry about that.
Rohan U
Android user
I know a lot of apps use fake accounts to boost their reviews but this app deserves it all. Originally I was getting 4 in my English exams and this time I got a grade 7. I didn’t even know about this app three days until the exam and it has helped A LOT. Please actually trust me and use it as I’m sure you too will see developments.
Xander S
iOS user
THE QUIZES AND FLASHCARDS ARE SO USEFUL AND I LOVE THE SCHOOLGPT. IT ALSO IS LITREALLY LIKE CHATGPT BUT SMARTER!! HELPED ME WITH MY MASCARA PROBLEMS TOO!! AS WELL AS MY REAL SUBJECTS ! DUHHH 😍😁😲🤑💗✨🎀😮
Elisha
iOS user
This apps acc the goat. I find revision so boring but this app makes it so easy to organize it all and then you can ask the freeeee ai to test yourself so good and you can easily upload your own stuff. highly recommend as someone taking mocks now
Paul T
iOS user
Los
@los
The transcript appears to be missing, so I cannot generate a meaningful summary without the source content to analyze. To create an accurate and helpful summary that incorporates the specified keywords and meets the formatting requirements, I would need:

Access to all documents
Improve your grades
Join milions of students
By signing up you accept Terms of Service and Privacy Policy
The study of gravitational forces and motion on Venus provides fascinating insights into planetary physics. When we calculate gravitational field strength on Venus, we must consider its unique properties including its mass of 4.87 x 10²⁴ kg and radius of 6050 km. The gravitational field strength at Venus's surface reaches approximately 8.87 N/kg, notably different from Earth's 9.81 N/kg due to Venus's distinct mass and radius characteristics.
Definition: Gravitational field strength represents the force per unit mass experienced by any object in a gravitational field, measured in Newtons per kilogram .
The centripetal acceleration probe on Venus experiment reveals fascinating differences between equatorial and polar locations. When analyzing space probes landing on Venus, we must account for both gravitational effects and atmospheric conditions. The dense Venusian atmosphere, with a surface density of 65 kg/m³, creates significant upthrust forces affecting any landed equipment.
Understanding the interplay between gravitational forces, atmospheric pressure, and rotational effects is crucial for space exploration missions to Venus. The normal contact forces experienced by probes vary depending on their landing location, with polar probes experiencing different forces than equatorial ones due to Venus's rotation.

Access to all documents
Improve your grades
Join milions of students
By signing up you accept Terms of Service and Privacy Policy
The rotation period of Venus, approximately 5830 hours, creates unique conditions for scientific equipment placed on its surface. When calculating centripetal acceleration for objects at the equator, we must consider both the planet's radius and its angular velocity. This becomes particularly relevant for space probes like the hypothetical 760 kg probe with a volume of 1.7 m³.
Example: A probe at Venus's equator experiences centripetal acceleration of approximately 5.42 x 10⁻⁷ m/s², calculated using the formula a = ω²r, where ω is the angular velocity and r is the radius.
The atmospheric upthrust on Venus plays a crucial role in probe stability. With Venus's dense atmosphere, the upthrust can be calculated by considering the weight of displaced atmospheric gases. This calculation involves multiplying the volume of the probe by the atmospheric density and the local gravitational field strength.

Access to all documents
Improve your grades
Join milions of students
By signing up you accept Terms of Service and Privacy Policy
When analyzing forces on Venus, we must consider multiple factors simultaneously: gravitational force, atmospheric upthrust, and centripetal effects. The normal contact force varies between polar and equatorial locations due to the planet's rotation. At the poles, forces are more straightforward as there's no centripetal component to consider.
Highlight: The normal contact force at the poles differs from that at the equator due to the additional centripetal force component at equatorial locations.
The total force analysis must include:
This comprehensive force analysis helps engineers design appropriate landing systems for Venus missions and ensures accurate scientific measurements can be taken at different locations on the planet's surface.

Access to all documents
Improve your grades
Join milions of students
By signing up you accept Terms of Service and Privacy Policy
When designing experiments for Venus's surface, scientists must account for the extreme conditions and various forces at play. The high atmospheric density affects both the landing process and ongoing operations of any equipment placed on the surface. Understanding these forces is crucial for successful mission planning.
Vocabulary: Upthrust - The upward force exerted by a fluid (liquid or gas) on an object immersed in it, equal to the weight of the fluid displaced.
The difference in normal contact forces between polar and equatorial locations has important implications for equipment design and experimental setup. Engineers must consider these variations when designing landing gear and stabilization systems for Venus probes. The combined effects of gravity, atmosphere, and planetary rotation create unique challenges for Venus exploration missions.
The successful operation of scientific equipment on Venus requires careful consideration of all these physical factors, making it one of the most challenging environments for space exploration in our solar system.

Access to all documents
Improve your grades
Join milions of students
By signing up you accept Terms of Service and Privacy Policy
When conducting physics experiments involving oscillation period uniform rod physics experiment, precise measurements and proper technique are essential for accurate results. The setup involves a uniform rod pivoted at one end, allowing it to swing back and forth in a regular motion.
To determine the period of oscillation accurately, scientists use specific measurement techniques. Rather than timing a single oscillation, which could introduce significant error, it's standard practice to measure multiple oscillations. The experimenter should time 10 complete oscillations and then divide by 10 to find the average period. This method reduces the impact of reaction time errors and provides more reliable data.
Definition: An oscillation is one complete back-and-forth motion of the rod, starting and ending at the same position.
The relationship between the rod's length and oscillation period follows a mathematical pattern. The frequency (f) of oscillations relates to the length (L) of the rod and gravitational acceleration (g) through the equation f = 1/(2π) √. This relationship demonstrates how the physical properties of the system affect its motion.

Access to all documents
Improve your grades
Join milions of students
By signing up you accept Terms of Service and Privacy Policy
When studying oscillating systems, graphical analysis provides valuable insights into the relationship between variables. By plotting T² (period squared) against L (length), scientists can determine important physical constants like gravitational acceleration.
The gradient of such a graph has special significance, being equal to 8π²/3g. This relationship allows researchers to calculate the local gravitational field strength from experimental data. Using a measured gradient of 2.64 s²/m, calculations yield a value for g that can be compared to the accepted value of 9.81 m/s².
Example: To calculate g from the gradient: g = 8π²/(3 × gradient) g = 8π²/(3 × 2.64) ≈ 9.97 m/s²
Understanding uncertainty is crucial in experimental physics. By drawing lines of best and worst fit through data points, scientists can estimate the percentage uncertainty in their measurements. This helps evaluate the accuracy and reliability of experimental results.

Access to all documents
Improve your grades
Join milions of students
By signing up you accept Terms of Service and Privacy Policy
In nuclear physics, understanding particle transformations is fundamental. Beta-plus decay involves the conversion of a proton into other particles, following specific conservation laws. The process can be represented by a nuclear equation showing the transformation of a proton into a neutron, positron, and neutrino.
Vocabulary: Beta-plus decay is a type of radioactive decay where a proton changes into a neutron while emitting a positron and an electron neutrino.
The experimental investigation of radioactive sources requires careful safety procedures and systematic testing methods. Using materials of different thicknesses for absorption tests, along with magnetic fields for deflection studies, allows scientists to identify different types of radiation emissions.

Access to all documents
Improve your grades
Join milions of students
By signing up you accept Terms of Service and Privacy Policy
When working with radioactive sources, proper safety protocols and detection methods are essential. Scientists use various tools including Geiger-Müller tubes, absorption materials, and magnetic fields to characterize radiation types.
Different radiation types interact distinctively with matter and magnetic fields. Gamma rays penetrate most materials easily but aren't deflected by magnetic fields. Beta particles (both positive and negative) are less penetrating and are deflected by magnetic fields in opposite directions.
Highlight: Safety is paramount when working with radioactive sources. Always work under supervision and use appropriate shielding and detection equipment.
The systematic testing of radiation properties allows for the safe and accurate identification of unknown sources. This process involves measuring penetration through different materials and observing deflection patterns in magnetic fields.

Access to all documents
Improve your grades
Join milions of students
By signing up you accept Terms of Service and Privacy Policy
The cosmic microwave background radiation represents one of the most significant pieces of evidence for the Big Bang theory, providing crucial insights into the early universe. This omnipresent radiation, detected at a temperature of 2.7 Kelvin with an intensity of 3 x 10-6 Watts per square meter, tells a fascinating story of our universe's evolution.
Definition: Cosmic microwave background radiation (CMB) is the afterglow of the Big Bang, consisting of electromagnetic radiation that fills all space and provides evidence of the early universe's conditions.
The origin of this background radiation traces back to the universe's earliest moments. Initially, the universe existed in an incredibly hot and dense state, filled with high-energy gamma radiation. As the universe underwent rapid expansion, it gradually cooled, causing the wavelength of the original gamma photons to stretch dramatically. This process, known as cosmological redshift, transformed the high-energy radiation into the microwave radiation we detect today at 2.7 Kelvin.
Wien's displacement law plays a crucial role in understanding how this radiation has evolved over time. The law demonstrates the relationship between an object's temperature and the peak wavelength of its electromagnetic emission spectrum. In the current universe, this peak occurs at approximately 1.1 millimeters for the cosmic microwave background radiation. However, examining the spectrum's evolution provides fascinating insights into the universe's past conditions.
Example: If we could observe the cosmic microwave background radiation billions of years ago, we would see its peak intensity at significantly shorter wavelengths, corresponding to higher temperatures. The spectrum would be shifted toward higher frequencies, reflecting the universe's hotter past.

Access to all documents
Improve your grades
Join milions of students
By signing up you accept Terms of Service and Privacy Policy
The relationship between temperature and wavelength in cosmic radiation follows a precise mathematical pattern described by Wien's displacement law. As the universe has cooled over billions of years, the peak wavelength of the cosmic microwave background radiation has systematically increased, providing a direct measurement of cosmic evolution.
Highlight: The current peak wavelength of 1.1 millimeters represents the end point of a long evolutionary process, where the original high-energy gamma radiation has been stretched by the expansion of space itself.
When analyzing historical cosmic radiation spectra, scientists can effectively "wind back the clock" using Wien's law. Earlier in the universe's history, the radiation's peak intensity occurred at shorter wavelengths, corresponding to higher temperatures. This shift in the spectrum's peak provides crucial evidence for the Big Bang theory and helps astronomers understand the universe's cooling process.
The study of cosmic microwave background radiation continues to yield new insights into the universe's properties and evolution. Modern precision measurements of its spectrum and slight variations in different directions provide valuable information about the early universe's structure and the distribution of matter that would eventually form galaxies and galaxy clusters.
Vocabulary: Wien's displacement law states that the wavelength of peak emission from a black body is inversely proportional to its absolute temperature, expressed mathematically as λmax = b/T, where b is Wien's displacement constant.
Our AI Companion is a student-focused AI tool that offers more than just answers. Built on millions of Knowunity resources, it provides relevant information, personalised study plans, quizzes, and content directly in the chat, adapting to your individual learning journey.
You can download the app from Google Play Store and Apple App Store.
That's right! Enjoy free access to study content, connect with fellow students, and get instant help – all at your fingertips.
8
Smart Tools NEW
Transform this note into: ✓ 50+ Practice Questions ✓ Interactive Flashcards ✓ Full Mock Exam ✓ Essay Outlines
App Store
Google Play
The app is very easy to use and well designed. I have found everything I was looking for so far and have been able to learn a lot from the presentations! I will definitely use the app for a class assignment! And of course it also helps a lot as an inspiration.
Stefan S
iOS user
This app is really great. There are so many study notes and help [...]. My problem subject is French, for example, and the app has so many options for help. Thanks to this app, I have improved my French. I would recommend it to anyone.
Samantha Klich
Android user
Wow, I am really amazed. I just tried the app because I've seen it advertised many times and was absolutely stunned. This app is THE HELP you want for school and above all, it offers so many things, such as workouts and fact sheets, which have been VERY helpful to me personally.
Anna
iOS user
Best app on earth! no words because it’s too good
Thomas R
iOS user
Just amazing. Let's me revise 10x better, this app is a quick 10/10. I highly recommend it to anyone. I can watch and search for notes. I can save them in the subject folder. I can revise it any time when I come back. If you haven't tried this app, you're really missing out.
Basil
Android user
This app has made me feel so much more confident in my exam prep, not only through boosting my own self confidence through the features that allow you to connect with others and feel less alone, but also through the way the app itself is centred around making you feel better. It is easy to navigate, fun to use, and helpful to anyone struggling in absolutely any way.
David K
iOS user
The app's just great! All I have to do is enter the topic in the search bar and I get the response real fast. I don't have to watch 10 YouTube videos to understand something, so I'm saving my time. Highly recommended!
Sudenaz Ocak
Android user
In school I was really bad at maths but thanks to the app, I am doing better now. I am so grateful that you made the app.
Greenlight Bonnie
Android user
very reliable app to help and grow your ideas of Maths, English and other related topics in your works. please use this app if your struggling in areas, this app is key for that. wish I'd of done a review before. and it's also free so don't worry about that.
Rohan U
Android user
I know a lot of apps use fake accounts to boost their reviews but this app deserves it all. Originally I was getting 4 in my English exams and this time I got a grade 7. I didn’t even know about this app three days until the exam and it has helped A LOT. Please actually trust me and use it as I’m sure you too will see developments.
Xander S
iOS user
THE QUIZES AND FLASHCARDS ARE SO USEFUL AND I LOVE THE SCHOOLGPT. IT ALSO IS LITREALLY LIKE CHATGPT BUT SMARTER!! HELPED ME WITH MY MASCARA PROBLEMS TOO!! AS WELL AS MY REAL SUBJECTS ! DUHHH 😍😁😲🤑💗✨🎀😮
Elisha
iOS user
This apps acc the goat. I find revision so boring but this app makes it so easy to organize it all and then you can ask the freeeee ai to test yourself so good and you can easily upload your own stuff. highly recommend as someone taking mocks now
Paul T
iOS user
The app is very easy to use and well designed. I have found everything I was looking for so far and have been able to learn a lot from the presentations! I will definitely use the app for a class assignment! And of course it also helps a lot as an inspiration.
Stefan S
iOS user
This app is really great. There are so many study notes and help [...]. My problem subject is French, for example, and the app has so many options for help. Thanks to this app, I have improved my French. I would recommend it to anyone.
Samantha Klich
Android user
Wow, I am really amazed. I just tried the app because I've seen it advertised many times and was absolutely stunned. This app is THE HELP you want for school and above all, it offers so many things, such as workouts and fact sheets, which have been VERY helpful to me personally.
Anna
iOS user
Best app on earth! no words because it’s too good
Thomas R
iOS user
Just amazing. Let's me revise 10x better, this app is a quick 10/10. I highly recommend it to anyone. I can watch and search for notes. I can save them in the subject folder. I can revise it any time when I come back. If you haven't tried this app, you're really missing out.
Basil
Android user
This app has made me feel so much more confident in my exam prep, not only through boosting my own self confidence through the features that allow you to connect with others and feel less alone, but also through the way the app itself is centred around making you feel better. It is easy to navigate, fun to use, and helpful to anyone struggling in absolutely any way.
David K
iOS user
The app's just great! All I have to do is enter the topic in the search bar and I get the response real fast. I don't have to watch 10 YouTube videos to understand something, so I'm saving my time. Highly recommended!
Sudenaz Ocak
Android user
In school I was really bad at maths but thanks to the app, I am doing better now. I am so grateful that you made the app.
Greenlight Bonnie
Android user
very reliable app to help and grow your ideas of Maths, English and other related topics in your works. please use this app if your struggling in areas, this app is key for that. wish I'd of done a review before. and it's also free so don't worry about that.
Rohan U
Android user
I know a lot of apps use fake accounts to boost their reviews but this app deserves it all. Originally I was getting 4 in my English exams and this time I got a grade 7. I didn’t even know about this app three days until the exam and it has helped A LOT. Please actually trust me and use it as I’m sure you too will see developments.
Xander S
iOS user
THE QUIZES AND FLASHCARDS ARE SO USEFUL AND I LOVE THE SCHOOLGPT. IT ALSO IS LITREALLY LIKE CHATGPT BUT SMARTER!! HELPED ME WITH MY MASCARA PROBLEMS TOO!! AS WELL AS MY REAL SUBJECTS ! DUHHH 😍😁😲🤑💗✨🎀😮
Elisha
iOS user
This apps acc the goat. I find revision so boring but this app makes it so easy to organize it all and then you can ask the freeeee ai to test yourself so good and you can easily upload your own stuff. highly recommend as someone taking mocks now
Paul T
iOS user