The binomial theoremis one of the most powerful tools... Show more
Sign up to see the contentIt's free!
Access to all documents
Improve your grades
Join milions of students
By signing up you accept Terms of Service and Privacy Policy
Responding to change (a2 only)
Infection and response
Homeostasis and response
Energy transfers (a2 only)
Cell biology
Organisms respond to changes in their internal and external environments (a-level only)
Biological molecules
Organisation
Substance exchange
Bioenergetics
Genetic information & variation
Inheritance, variation and evolution
Genetics & ecosystems (a2 only)
Ecology
Cells
Show all topics
Britain & the wider world: 1745 -1901
1l the quest for political stability: germany, 1871-1991
The cold war
Inter-war germany
Medieval period: 1066 -1509
2d religious conflict and the church in england, c1529-c1570
2o democracy and nazism: germany, 1918-1945
1f industrialisation and the people: britain, c1783-1885
1c the tudors: england, 1485-1603
2m wars and welfare: britain in transition, 1906-1957
World war two & the holocaust
2n revolution and dictatorship: russia, 1917-1953
2s the making of modern britain, 1951-2007
World war one
Britain: 1509 -1745
Show all topics

0
0
Megan
06/12/2025
Maths
WJEC AS-level Pure Mathematics Binomial theorem
56
•
6 Dec 2025
•
Megan
@megan_0306
The binomial theoremis one of the most powerful tools... Show more











Ever wondered if there's a shortcut to expanding ⁴ without multiplying brackets four times? There absolutely is! Let's start by looking at the pattern that emerges when we expand simple binomial expressions.
When you expand ², you get 1+2x+x². For ³, the result is 1+3x+3x²+x³. Notice how the coefficients follow a specific pattern - this isn't coincidence, it's the foundation of the binomial theorem.
The key insight is that these coefficients come from Pascal's triangle. Each row gives you the coefficients for the next power, making expansions much quicker than traditional multiplication.
Quick Tip: Always check your expansions by substituting x=1 - both sides should give you the same result!

Pascal's triangle is your best mate for binomial expansions. Each number is the sum of the two numbers above it, and each row gives you the coefficients for ⁿ where n is the row number.
The real magic happens when you need to expand something like ³ or ⁴. You use the same coefficients from Pascal's triangle, but you need to be careful with the powers. For ³, you substitute 2x wherever you see x in the basic expansion.
For expressions like ⁴, you can rewrite it as 3⁴⁴ or use the fact that each term involves powers of both 3 and x. The coefficient pattern stays the same - it's just the arithmetic that gets trickier.
Remember: The coefficients from Pascal's triangle never change - only how you apply the powers of your variables changes.

The general binomial theorem states that ⁿ = aⁿ + ⁿC₁aⁿ⁻¹b + ⁿC₂aⁿ⁻²b² + ... where ⁿCᵣ represents "n choose r". This notation might look intimidating, but it's just a systematic way to find those Pascal's triangle numbers.
Factorials are crucial here - they're written as n! and mean n×××...×1. So 5! = 5×4×3×2×1 = 120. The formula ⁿCᵣ = n!/ tells you exactly how many ways you can choose r objects from n objects.
Your calculator can handle factorials and combinations, but understanding the pattern helps you spot shortcuts. For instance, ⁵C₂ = (5×4)/(2×1) = 10, which is much quicker than calculating the full factorials.
Pro Tip: Learn to cancel common factors in factorial fractions - it'll save you loads of time in exams!

Now you can tackle any binomial expansion systematically. For ¹⁵, you don't need to expand the whole thing - just find the terms you need using the general formula.
The general term is ⁿCᵣaⁿ⁻ʳbʳ. This formula lets you find specific terms without expanding everything. For the first four terms of ¹⁵, you calculate ¹⁵C₀, ¹⁵C₁, ¹⁵C₂, and ¹⁵C₃.
More complex expressions like ⁵ follow the same pattern, but you need to be extra careful with negative signs and powers. Each term alternates sign because of the part, and the powers of x build up from both parts of the binomial.
Watch Out: Keep track of negative signs carefully - they follow a pattern but it's easy to make mistakes when you're rushing!

Sometimes you'll be given information about coefficients and asked to find unknown values. These problems test your understanding of the binomial expansion formula and your algebra skills.
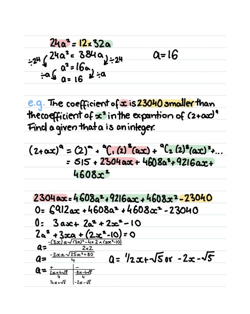
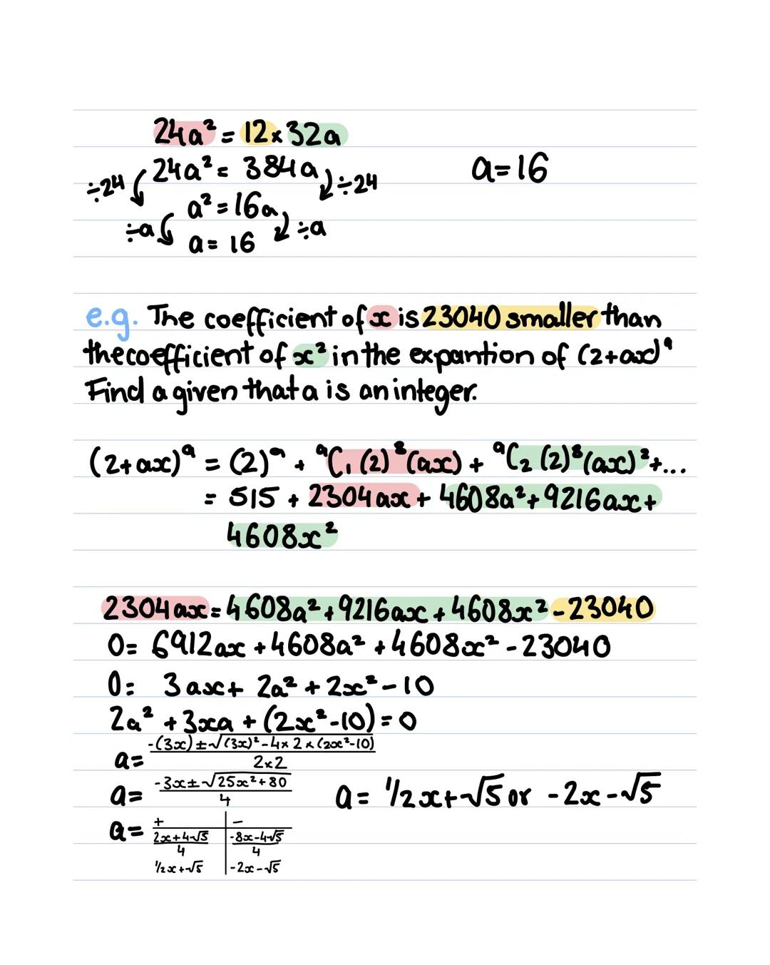
For example, if the coefficient of x⁴ is 12 times the coefficient of x³ in ⁴, you set up an equation using the general formula. The coefficient of x³ is ⁴C₃×a×(2x)³ = 32a, and the coefficient of x⁴ would be from the next term.
Setting up the equation 32a × 12 = coefficient of x⁴ gives you 384a. But wait - there's no x⁴ term in ⁴! This means you need to reconsider the problem setup and check your working carefully.
Strategy: Always write out the first few terms explicitly before setting up your equations - it prevents costly errors!

When dealing with more complex coefficient relationships, your algebraic manipulation skills become crucial. These problems often involve setting up equations where coefficients are related by specific ratios or differences.
Consider when the coefficient of x is 23040 smaller than the coefficient of x² in ⁹. You expand the first few terms, identify the relevant coefficients, and set up your equation. The algebra can get messy, but the method stays the same.
Sometimes you'll end up with quadratic equations in your unknown. Use the quadratic formula when factoring isn't obvious, and always check that your answers make sense in the original context.
Don't Panic: These problems look scary but they're just systematic applications of the binomial formula plus some algebra!

Unknown indices problems give you information about coefficients and ask you to find the power n. These require you to use the relationship between different terms in the expansion.
If the 3rd and 5th terms have equal coefficients in ⁿ, you set ⁿC₂ = ⁿC₄. Using the factorial formula and simplifying gives you a quadratic equation in n. Remember to check that your answer satisfies any given conditions.
The key insight is that ⁿCᵣ = ⁿCₙ₋ᵣ, which explains why some coefficients can be equal. This symmetry in Pascal's triangle is often the foundation for these problems.
Remember: Pascal's triangle is symmetric - this symmetry is often the key to solving unknown index problems!

Let's solidify your understanding with another approach. When the coefficient of x² in ⁿ equals 55, you use ⁿC₂ = 55. This gives you n/2 = 55, leading to n²-n-110 = 0.
For expressions like ⁿ where the coefficient of x² is 40, remember that the coefficient involves both the combination and the power of 2. So ⁿC₂ × 2² = 40, giving you ⁿC₂ = 10.
These problems follow the same pattern: identify the relevant term, extract the coefficient using the general formula, set up your equation, and solve. The algebra might vary, but the method is consistent.
Success Strategy: Practice identifying which combination formula you need - that's usually the trickiest part!

When working with expressions like ⁿ, don't forget that the coefficient includes powers of the constant. For the x² term, you need ⁿC₂ × (2x)² = ⁿC₂ × 4x².
If this coefficient equals 40, then ⁿC₂ × 4 = 40, so ⁿC₂ = 10. This gives you n/2 = 10, leading to n²-n-20 = 0. Factoring gives you = 0.
Since n must be positive, n = 5 is your answer. Always check that your solution makes sense in the context - negative powers or impossible values should make you reconsider your working.
Final Check: Substitute your answer back into the original expansion to verify your coefficient calculation!

Our AI Companion is a student-focused AI tool that offers more than just answers. Built on millions of Knowunity resources, it provides relevant information, personalised study plans, quizzes, and content directly in the chat, adapting to your individual learning journey.
You can download the app from Google Play Store and Apple App Store.
That's right! Enjoy free access to study content, connect with fellow students, and get instant help – all at your fingertips.
Quotes from every main character
App Store
Google Play
The app is very easy to use and well designed. I have found everything I was looking for so far and have been able to learn a lot from the presentations! I will definitely use the app for a class assignment! And of course it also helps a lot as an inspiration.
Stefan S
iOS user
This app is really great. There are so many study notes and help [...]. My problem subject is French, for example, and the app has so many options for help. Thanks to this app, I have improved my French. I would recommend it to anyone.
Samantha Klich
Android user
Wow, I am really amazed. I just tried the app because I've seen it advertised many times and was absolutely stunned. This app is THE HELP you want for school and above all, it offers so many things, such as workouts and fact sheets, which have been VERY helpful to me personally.
Anna
iOS user
Best app on earth! no words because it’s too good
Thomas R
iOS user
Just amazing. Let's me revise 10x better, this app is a quick 10/10. I highly recommend it to anyone. I can watch and search for notes. I can save them in the subject folder. I can revise it any time when I come back. If you haven't tried this app, you're really missing out.
Basil
Android user
This app has made me feel so much more confident in my exam prep, not only through boosting my own self confidence through the features that allow you to connect with others and feel less alone, but also through the way the app itself is centred around making you feel better. It is easy to navigate, fun to use, and helpful to anyone struggling in absolutely any way.
David K
iOS user
The app's just great! All I have to do is enter the topic in the search bar and I get the response real fast. I don't have to watch 10 YouTube videos to understand something, so I'm saving my time. Highly recommended!
Sudenaz Ocak
Android user
In school I was really bad at maths but thanks to the app, I am doing better now. I am so grateful that you made the app.
Greenlight Bonnie
Android user
very reliable app to help and grow your ideas of Maths, English and other related topics in your works. please use this app if your struggling in areas, this app is key for that. wish I'd of done a review before. and it's also free so don't worry about that.
Rohan U
Android user
I know a lot of apps use fake accounts to boost their reviews but this app deserves it all. Originally I was getting 4 in my English exams and this time I got a grade 7. I didn’t even know about this app three days until the exam and it has helped A LOT. Please actually trust me and use it as I’m sure you too will see developments.
Xander S
iOS user
THE QUIZES AND FLASHCARDS ARE SO USEFUL AND I LOVE THE SCHOOLGPT. IT ALSO IS LITREALLY LIKE CHATGPT BUT SMARTER!! HELPED ME WITH MY MASCARA PROBLEMS TOO!! AS WELL AS MY REAL SUBJECTS ! DUHHH 😍😁😲🤑💗✨🎀😮
Elisha
iOS user
This apps acc the goat. I find revision so boring but this app makes it so easy to organize it all and then you can ask the freeeee ai to test yourself so good and you can easily upload your own stuff. highly recommend as someone taking mocks now
Paul T
iOS user
The app is very easy to use and well designed. I have found everything I was looking for so far and have been able to learn a lot from the presentations! I will definitely use the app for a class assignment! And of course it also helps a lot as an inspiration.
Stefan S
iOS user
This app is really great. There are so many study notes and help [...]. My problem subject is French, for example, and the app has so many options for help. Thanks to this app, I have improved my French. I would recommend it to anyone.
Samantha Klich
Android user
Wow, I am really amazed. I just tried the app because I've seen it advertised many times and was absolutely stunned. This app is THE HELP you want for school and above all, it offers so many things, such as workouts and fact sheets, which have been VERY helpful to me personally.
Anna
iOS user
Best app on earth! no words because it’s too good
Thomas R
iOS user
Just amazing. Let's me revise 10x better, this app is a quick 10/10. I highly recommend it to anyone. I can watch and search for notes. I can save them in the subject folder. I can revise it any time when I come back. If you haven't tried this app, you're really missing out.
Basil
Android user
This app has made me feel so much more confident in my exam prep, not only through boosting my own self confidence through the features that allow you to connect with others and feel less alone, but also through the way the app itself is centred around making you feel better. It is easy to navigate, fun to use, and helpful to anyone struggling in absolutely any way.
David K
iOS user
The app's just great! All I have to do is enter the topic in the search bar and I get the response real fast. I don't have to watch 10 YouTube videos to understand something, so I'm saving my time. Highly recommended!
Sudenaz Ocak
Android user
In school I was really bad at maths but thanks to the app, I am doing better now. I am so grateful that you made the app.
Greenlight Bonnie
Android user
very reliable app to help and grow your ideas of Maths, English and other related topics in your works. please use this app if your struggling in areas, this app is key for that. wish I'd of done a review before. and it's also free so don't worry about that.
Rohan U
Android user
I know a lot of apps use fake accounts to boost their reviews but this app deserves it all. Originally I was getting 4 in my English exams and this time I got a grade 7. I didn’t even know about this app three days until the exam and it has helped A LOT. Please actually trust me and use it as I’m sure you too will see developments.
Xander S
iOS user
THE QUIZES AND FLASHCARDS ARE SO USEFUL AND I LOVE THE SCHOOLGPT. IT ALSO IS LITREALLY LIKE CHATGPT BUT SMARTER!! HELPED ME WITH MY MASCARA PROBLEMS TOO!! AS WELL AS MY REAL SUBJECTS ! DUHHH 😍😁😲🤑💗✨🎀😮
Elisha
iOS user
This apps acc the goat. I find revision so boring but this app makes it so easy to organize it all and then you can ask the freeeee ai to test yourself so good and you can easily upload your own stuff. highly recommend as someone taking mocks now
Paul T
iOS user
Megan
@megan_0306
The binomial theoremis one of the most powerful tools in A-level maths, letting you expand expressions like (a+b)ⁿ without having to multiply everything out by hand. Once you grasp the pattern and learn to use Pascal's triangle or the... Show more

Access to all documents
Improve your grades
Join milions of students
By signing up you accept Terms of Service and Privacy Policy
Ever wondered if there's a shortcut to expanding ⁴ without multiplying brackets four times? There absolutely is! Let's start by looking at the pattern that emerges when we expand simple binomial expressions.
When you expand ², you get 1+2x+x². For ³, the result is 1+3x+3x²+x³. Notice how the coefficients follow a specific pattern - this isn't coincidence, it's the foundation of the binomial theorem.
The key insight is that these coefficients come from Pascal's triangle. Each row gives you the coefficients for the next power, making expansions much quicker than traditional multiplication.
Quick Tip: Always check your expansions by substituting x=1 - both sides should give you the same result!

Access to all documents
Improve your grades
Join milions of students
By signing up you accept Terms of Service and Privacy Policy
Pascal's triangle is your best mate for binomial expansions. Each number is the sum of the two numbers above it, and each row gives you the coefficients for ⁿ where n is the row number.
The real magic happens when you need to expand something like ³ or ⁴. You use the same coefficients from Pascal's triangle, but you need to be careful with the powers. For ³, you substitute 2x wherever you see x in the basic expansion.
For expressions like ⁴, you can rewrite it as 3⁴⁴ or use the fact that each term involves powers of both 3 and x. The coefficient pattern stays the same - it's just the arithmetic that gets trickier.
Remember: The coefficients from Pascal's triangle never change - only how you apply the powers of your variables changes.

Access to all documents
Improve your grades
Join milions of students
By signing up you accept Terms of Service and Privacy Policy
The general binomial theorem states that ⁿ = aⁿ + ⁿC₁aⁿ⁻¹b + ⁿC₂aⁿ⁻²b² + ... where ⁿCᵣ represents "n choose r". This notation might look intimidating, but it's just a systematic way to find those Pascal's triangle numbers.
Factorials are crucial here - they're written as n! and mean n×××...×1. So 5! = 5×4×3×2×1 = 120. The formula ⁿCᵣ = n!/ tells you exactly how many ways you can choose r objects from n objects.
Your calculator can handle factorials and combinations, but understanding the pattern helps you spot shortcuts. For instance, ⁵C₂ = (5×4)/(2×1) = 10, which is much quicker than calculating the full factorials.
Pro Tip: Learn to cancel common factors in factorial fractions - it'll save you loads of time in exams!

Access to all documents
Improve your grades
Join milions of students
By signing up you accept Terms of Service and Privacy Policy
Now you can tackle any binomial expansion systematically. For ¹⁵, you don't need to expand the whole thing - just find the terms you need using the general formula.
The general term is ⁿCᵣaⁿ⁻ʳbʳ. This formula lets you find specific terms without expanding everything. For the first four terms of ¹⁵, you calculate ¹⁵C₀, ¹⁵C₁, ¹⁵C₂, and ¹⁵C₃.
More complex expressions like ⁵ follow the same pattern, but you need to be extra careful with negative signs and powers. Each term alternates sign because of the part, and the powers of x build up from both parts of the binomial.
Watch Out: Keep track of negative signs carefully - they follow a pattern but it's easy to make mistakes when you're rushing!

Access to all documents
Improve your grades
Join milions of students
By signing up you accept Terms of Service and Privacy Policy
Sometimes you'll be given information about coefficients and asked to find unknown values. These problems test your understanding of the binomial expansion formula and your algebra skills.
For example, if the coefficient of x⁴ is 12 times the coefficient of x³ in ⁴, you set up an equation using the general formula. The coefficient of x³ is ⁴C₃×a×(2x)³ = 32a, and the coefficient of x⁴ would be from the next term.
Setting up the equation 32a × 12 = coefficient of x⁴ gives you 384a. But wait - there's no x⁴ term in ⁴! This means you need to reconsider the problem setup and check your working carefully.
Strategy: Always write out the first few terms explicitly before setting up your equations - it prevents costly errors!

Access to all documents
Improve your grades
Join milions of students
By signing up you accept Terms of Service and Privacy Policy
When dealing with more complex coefficient relationships, your algebraic manipulation skills become crucial. These problems often involve setting up equations where coefficients are related by specific ratios or differences.
Consider when the coefficient of x is 23040 smaller than the coefficient of x² in ⁹. You expand the first few terms, identify the relevant coefficients, and set up your equation. The algebra can get messy, but the method stays the same.
Sometimes you'll end up with quadratic equations in your unknown. Use the quadratic formula when factoring isn't obvious, and always check that your answers make sense in the original context.
Don't Panic: These problems look scary but they're just systematic applications of the binomial formula plus some algebra!

Access to all documents
Improve your grades
Join milions of students
By signing up you accept Terms of Service and Privacy Policy
Unknown indices problems give you information about coefficients and ask you to find the power n. These require you to use the relationship between different terms in the expansion.
If the 3rd and 5th terms have equal coefficients in ⁿ, you set ⁿC₂ = ⁿC₄. Using the factorial formula and simplifying gives you a quadratic equation in n. Remember to check that your answer satisfies any given conditions.
The key insight is that ⁿCᵣ = ⁿCₙ₋ᵣ, which explains why some coefficients can be equal. This symmetry in Pascal's triangle is often the foundation for these problems.
Remember: Pascal's triangle is symmetric - this symmetry is often the key to solving unknown index problems!

Access to all documents
Improve your grades
Join milions of students
By signing up you accept Terms of Service and Privacy Policy
Let's solidify your understanding with another approach. When the coefficient of x² in ⁿ equals 55, you use ⁿC₂ = 55. This gives you n/2 = 55, leading to n²-n-110 = 0.
For expressions like ⁿ where the coefficient of x² is 40, remember that the coefficient involves both the combination and the power of 2. So ⁿC₂ × 2² = 40, giving you ⁿC₂ = 10.
These problems follow the same pattern: identify the relevant term, extract the coefficient using the general formula, set up your equation, and solve. The algebra might vary, but the method is consistent.
Success Strategy: Practice identifying which combination formula you need - that's usually the trickiest part!

Access to all documents
Improve your grades
Join milions of students
By signing up you accept Terms of Service and Privacy Policy
When working with expressions like ⁿ, don't forget that the coefficient includes powers of the constant. For the x² term, you need ⁿC₂ × (2x)² = ⁿC₂ × 4x².
If this coefficient equals 40, then ⁿC₂ × 4 = 40, so ⁿC₂ = 10. This gives you n/2 = 10, leading to n²-n-20 = 0. Factoring gives you = 0.
Since n must be positive, n = 5 is your answer. Always check that your solution makes sense in the context - negative powers or impossible values should make you reconsider your working.
Final Check: Substitute your answer back into the original expansion to verify your coefficient calculation!

Access to all documents
Improve your grades
Join milions of students
By signing up you accept Terms of Service and Privacy Policy
Our AI Companion is a student-focused AI tool that offers more than just answers. Built on millions of Knowunity resources, it provides relevant information, personalised study plans, quizzes, and content directly in the chat, adapting to your individual learning journey.
You can download the app from Google Play Store and Apple App Store.
That's right! Enjoy free access to study content, connect with fellow students, and get instant help – all at your fingertips.
0
Smart Tools NEW
Transform this note into: ✓ 50+ Practice Questions ✓ Interactive Flashcards ✓ Full Mock Exam ✓ Essay Outlines
Quotes from every main character
App Store
Google Play
The app is very easy to use and well designed. I have found everything I was looking for so far and have been able to learn a lot from the presentations! I will definitely use the app for a class assignment! And of course it also helps a lot as an inspiration.
Stefan S
iOS user
This app is really great. There are so many study notes and help [...]. My problem subject is French, for example, and the app has so many options for help. Thanks to this app, I have improved my French. I would recommend it to anyone.
Samantha Klich
Android user
Wow, I am really amazed. I just tried the app because I've seen it advertised many times and was absolutely stunned. This app is THE HELP you want for school and above all, it offers so many things, such as workouts and fact sheets, which have been VERY helpful to me personally.
Anna
iOS user
Best app on earth! no words because it’s too good
Thomas R
iOS user
Just amazing. Let's me revise 10x better, this app is a quick 10/10. I highly recommend it to anyone. I can watch and search for notes. I can save them in the subject folder. I can revise it any time when I come back. If you haven't tried this app, you're really missing out.
Basil
Android user
This app has made me feel so much more confident in my exam prep, not only through boosting my own self confidence through the features that allow you to connect with others and feel less alone, but also through the way the app itself is centred around making you feel better. It is easy to navigate, fun to use, and helpful to anyone struggling in absolutely any way.
David K
iOS user
The app's just great! All I have to do is enter the topic in the search bar and I get the response real fast. I don't have to watch 10 YouTube videos to understand something, so I'm saving my time. Highly recommended!
Sudenaz Ocak
Android user
In school I was really bad at maths but thanks to the app, I am doing better now. I am so grateful that you made the app.
Greenlight Bonnie
Android user
very reliable app to help and grow your ideas of Maths, English and other related topics in your works. please use this app if your struggling in areas, this app is key for that. wish I'd of done a review before. and it's also free so don't worry about that.
Rohan U
Android user
I know a lot of apps use fake accounts to boost their reviews but this app deserves it all. Originally I was getting 4 in my English exams and this time I got a grade 7. I didn’t even know about this app three days until the exam and it has helped A LOT. Please actually trust me and use it as I’m sure you too will see developments.
Xander S
iOS user
THE QUIZES AND FLASHCARDS ARE SO USEFUL AND I LOVE THE SCHOOLGPT. IT ALSO IS LITREALLY LIKE CHATGPT BUT SMARTER!! HELPED ME WITH MY MASCARA PROBLEMS TOO!! AS WELL AS MY REAL SUBJECTS ! DUHHH 😍😁😲🤑💗✨🎀😮
Elisha
iOS user
This apps acc the goat. I find revision so boring but this app makes it so easy to organize it all and then you can ask the freeeee ai to test yourself so good and you can easily upload your own stuff. highly recommend as someone taking mocks now
Paul T
iOS user
The app is very easy to use and well designed. I have found everything I was looking for so far and have been able to learn a lot from the presentations! I will definitely use the app for a class assignment! And of course it also helps a lot as an inspiration.
Stefan S
iOS user
This app is really great. There are so many study notes and help [...]. My problem subject is French, for example, and the app has so many options for help. Thanks to this app, I have improved my French. I would recommend it to anyone.
Samantha Klich
Android user
Wow, I am really amazed. I just tried the app because I've seen it advertised many times and was absolutely stunned. This app is THE HELP you want for school and above all, it offers so many things, such as workouts and fact sheets, which have been VERY helpful to me personally.
Anna
iOS user
Best app on earth! no words because it’s too good
Thomas R
iOS user
Just amazing. Let's me revise 10x better, this app is a quick 10/10. I highly recommend it to anyone. I can watch and search for notes. I can save them in the subject folder. I can revise it any time when I come back. If you haven't tried this app, you're really missing out.
Basil
Android user
This app has made me feel so much more confident in my exam prep, not only through boosting my own self confidence through the features that allow you to connect with others and feel less alone, but also through the way the app itself is centred around making you feel better. It is easy to navigate, fun to use, and helpful to anyone struggling in absolutely any way.
David K
iOS user
The app's just great! All I have to do is enter the topic in the search bar and I get the response real fast. I don't have to watch 10 YouTube videos to understand something, so I'm saving my time. Highly recommended!
Sudenaz Ocak
Android user
In school I was really bad at maths but thanks to the app, I am doing better now. I am so grateful that you made the app.
Greenlight Bonnie
Android user
very reliable app to help and grow your ideas of Maths, English and other related topics in your works. please use this app if your struggling in areas, this app is key for that. wish I'd of done a review before. and it's also free so don't worry about that.
Rohan U
Android user
I know a lot of apps use fake accounts to boost their reviews but this app deserves it all. Originally I was getting 4 in my English exams and this time I got a grade 7. I didn’t even know about this app three days until the exam and it has helped A LOT. Please actually trust me and use it as I’m sure you too will see developments.
Xander S
iOS user
THE QUIZES AND FLASHCARDS ARE SO USEFUL AND I LOVE THE SCHOOLGPT. IT ALSO IS LITREALLY LIKE CHATGPT BUT SMARTER!! HELPED ME WITH MY MASCARA PROBLEMS TOO!! AS WELL AS MY REAL SUBJECTS ! DUHHH 😍😁😲🤑💗✨🎀😮
Elisha
iOS user
This apps acc the goat. I find revision so boring but this app makes it so easy to organize it all and then you can ask the freeeee ai to test yourself so good and you can easily upload your own stuff. highly recommend as someone taking mocks now
Paul T
iOS user