Pythagoras' theorem is a powerful mathematical tool that helps us... Show more
Sign up to see the contentIt's free!
Access to all documents
Improve your grades
Join milions of students
By signing up you accept Terms of Service and Privacy Policy
Subjects
Classic Dramatic Literature
Modern Lyric Poetry
Influential English-Language Authors
Classic and Contemporary Novels
Literary Character Analysis
Romantic and Love Poetry
Reading Analysis and Interpretation
Evidence Analysis and Integration
Author's Stylistic Elements
Figurative Language and Rhetoric
Show all topics
Human Organ Systems
Cellular Organization and Development
Biomolecular Structure and Organization
Enzyme Structure and Regulation
Cellular Organization Types
Biological Homeostatic Processes
Cellular Membrane Structure
Autotrophic Energy Processes
Environmental Sustainability and Impact
Neural Communication Systems
Show all topics
Social Sciences Research & Practice
Social Structure and Mobility
Classic Social Influence Experiments
Social Systems Theories
Family and Relationship Dynamics
Memory Systems and Processes
Neural Bases of Behavior
Social Influence and Attraction
Psychotherapeutic Approaches
Human Agency and Responsibility
Show all topics
Chemical Sciences and Applications
Chemical Bond Types and Properties
Organic Functional Groups
Atomic Structure and Composition
Chromatographic Separation Principles
Chemical Compound Classifications
Electrochemical Cell Systems
Periodic Table Organization
Chemical Reaction Kinetics
Chemical Equation Conservation
Show all topics
Nazi Germany and Holocaust 1933-1945
World Wars and Peace Treaties
European Monarchs and Statesmen
Cold War Global Tensions
Medieval Institutions and Systems
European Renaissance and Enlightenment
Modern Global Environmental-Health Challenges
Modern Military Conflicts
Medieval Migration and Invasions
World Wars Era and Impact
Show all topics
106
•
Updated 5 Mar 2026
•
Simran
@simran_task
Pythagoras' theorem is a powerful mathematical tool that helps us... Show more









Pythagoras' theorem is one of the most useful formulas you'll learn in mathematics. It works in any right-angled triangle and states that a² + b² = c², where c is the hypotenuse (the longest side opposite the right angle).
The formula helps us find missing sides in triangles when we know the other two sides. You'll often need to find square roots as part of solving these problems, so make sure your calculator is ready!
When tackling Pythagoras problems in exams, always start by identifying the right angle in the triangle and labeling which side is the hypotenuse.
Pro tip: Always draw a clear diagram if one isn't provided, and label the sides you know and the side you need to find.

When finding the hypotenuse (the longest side opposite the right angle), we use the formula a² + b² = c², where c is the hypotenuse. This is the most straightforward application of Pythagoras' theorem.
In question 1, we find the length of AC by using the measurements of the other two sides: 3.6 cm and 4.8 cm. We square these values (3.6² + 4.8² = 12.96 + 23.04 = 36), then take the square root to get 6 cm.
For question 2, we use the same approach but with different values. We know the hypotenuse BC is 17.55 cm and one side AC is 6.75 cm. To find AB, we rearrange the formula: AB² = BC² - AC² which gives us AB = 16.2 cm.
Remember: When finding the hypotenuse, you ADD the squares of the two shorter sides. When finding a shorter side, you SUBTRACT the known shorter side squared from the hypotenuse squared.

Sometimes you need to find one of the shorter sides rather than the hypotenuse. In these cases, you rearrange the formula to a² = c² - b².
In question 3, we need to find BC when AC = 14 cm and AB = 6 cm. Since AC is the hypotenuse, we calculate BC² = AC² - AB² = 14² - 6² = 196 - 36 = 160. Taking the square root gives BC = 12.6 cm (to 1 decimal place).
For question 4, we find AC when AB = 4.2 cm and BC = 5.6 cm. Using a² + b² = c², we get 4.2² + 5.6² = AC². This simplifies to 17.64 + 31.36 = AC², so AC = 7 cm.
Watch out: Make sure you correctly identify which side is the hypotenuse before applying Pythagoras' theorem. The hypotenuse is always opposite the right angle and is the longest side.

More complex problems may require you to use Pythagoras' theorem multiple times to reach the final answer. These problems test your ability to break down complex shapes into manageable parts.
In question 5, we need to find the length AD in a shape with multiple right angles. First, we calculate the length y using Pythagoras: y² = 19² - 14² = 361 - 196 = 165, so y = √165 ≈ 12.85. Then we use y to find AD: AD² = 10² + y² = 100 + 165 = 265, giving AD = 16.3 m (3sf).
Question 6 follows a similar approach. We first find length y using Pythagoras: y² = 4² + 7² = 16 + 49 = 65. Then we solve for AB: AB² + 65 = 9.5², which gives AB = 5.02 cm (3sf).
Key insight: For complex shapes, identify right-angled triangles within the shape and solve them one at a time. Your answer from one calculation becomes input for the next.

Pythagoras' theorem is extremely useful when working with geometric shapes like rectangles, squares, and trapeziums. The diagonal of these shapes can be found using this theorem.
For rectangles, as in question 7, the diagonal AC forms a right-angled triangle with the sides of the rectangle. Using Pythagoras, AC² = 8² + 17² = 64 + 289 = 353, giving AC = 18.8 cm (1dp).
In question 8, we have a trapezium ABCD. We first find the height of the trapezium using Pythagoras: x² = 17² - 15² = 289 - 225 = 64, so x = 8 cm. Then we subtract this value from the total width to find BC: BC = 12 - 8 = 4 cm.
Handy tip: In regular shapes like squares and rectangles, the diagonals always form right-angled triangles with the sides, making Pythagoras' theorem perfect for finding their lengths.

Pythagoras' theorem helps us find crucial measurements in various geometric figures, like the height of triangles or distances in compound shapes.
In question 9, we need to find the perpendicular height of an isosceles triangle. Using Pythagoras, the distance from the base to the height is x² = 10² - 4² = 100 - 16 = 84, giving a height of 9.17 (3sf).
Question 10 involves finding the diagonal AC in a trapezium. We first calculate the length of one part using Pythagoras: x² = 13² - 5² = 169 - 25 = 144, so x = 12. Then we find AC using the second right-angled triangle: AC² = 8² + 12² = 64 + 144 = 208, giving AC = 14.4 (3sf).
Remember: When working with isosceles triangles, the perpendicular height bisects the base, creating two equal right-angled triangles—perfect for applying Pythagoras' theorem!

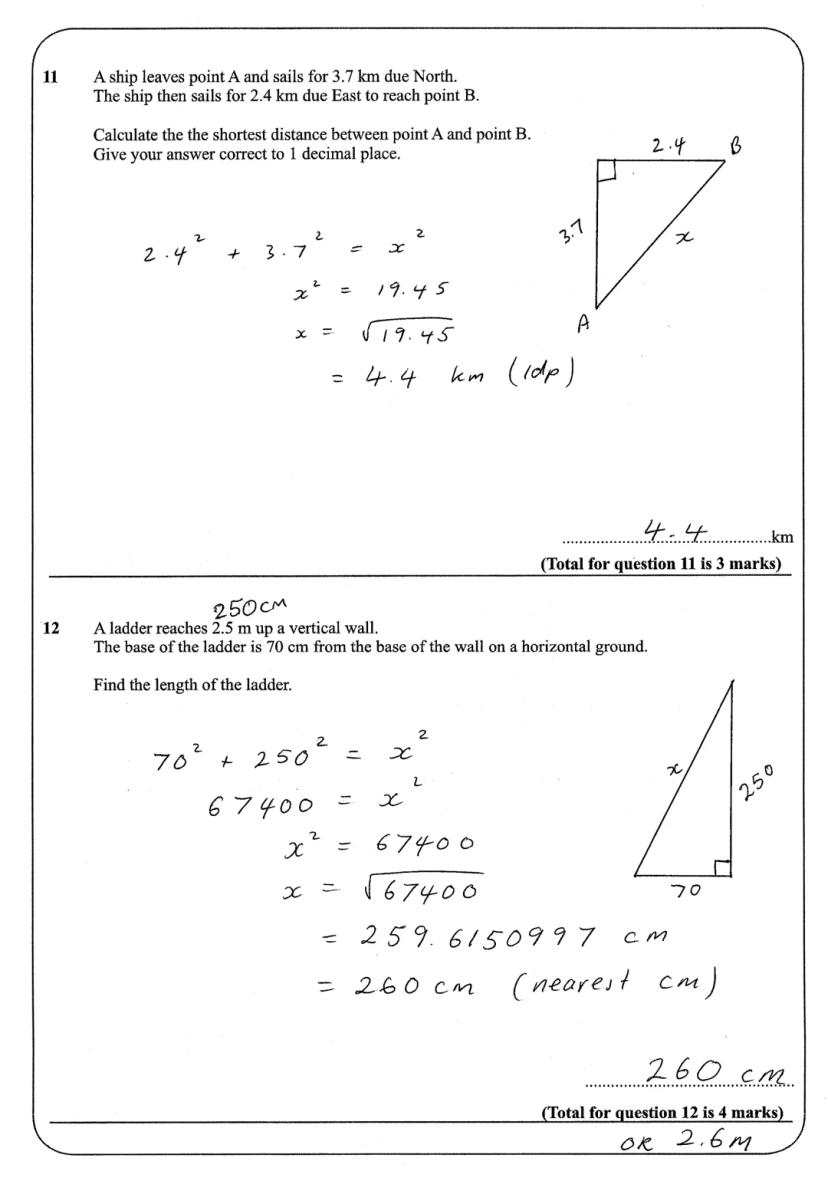
Pythagoras' theorem has many practical applications in real life, from navigation to construction problems.
In question 11, a ship sails 3.7 km North and then 2.4 km East. To find the direct distance between the starting and ending points, we use Pythagoras: x² = 2.4² + 3.7² = 5.76 + 13.69 = 19.45, giving a direct distance of 4.4 km (1dp).
Question 12 presents a classic ladder problem. With the ladder reaching 2.5 m (or 250 cm) up a wall and its base 70 cm from the wall, we can find the ladder's length using Pythagoras: x² = 70² + 250² = 4,900 + 62,500 = 67,400, giving a ladder length of 260 cm.
Real-life connection: Engineers and architects regularly use Pythagoras' theorem when designing structures, planning layouts, or calculating distances that can't be directly measured.

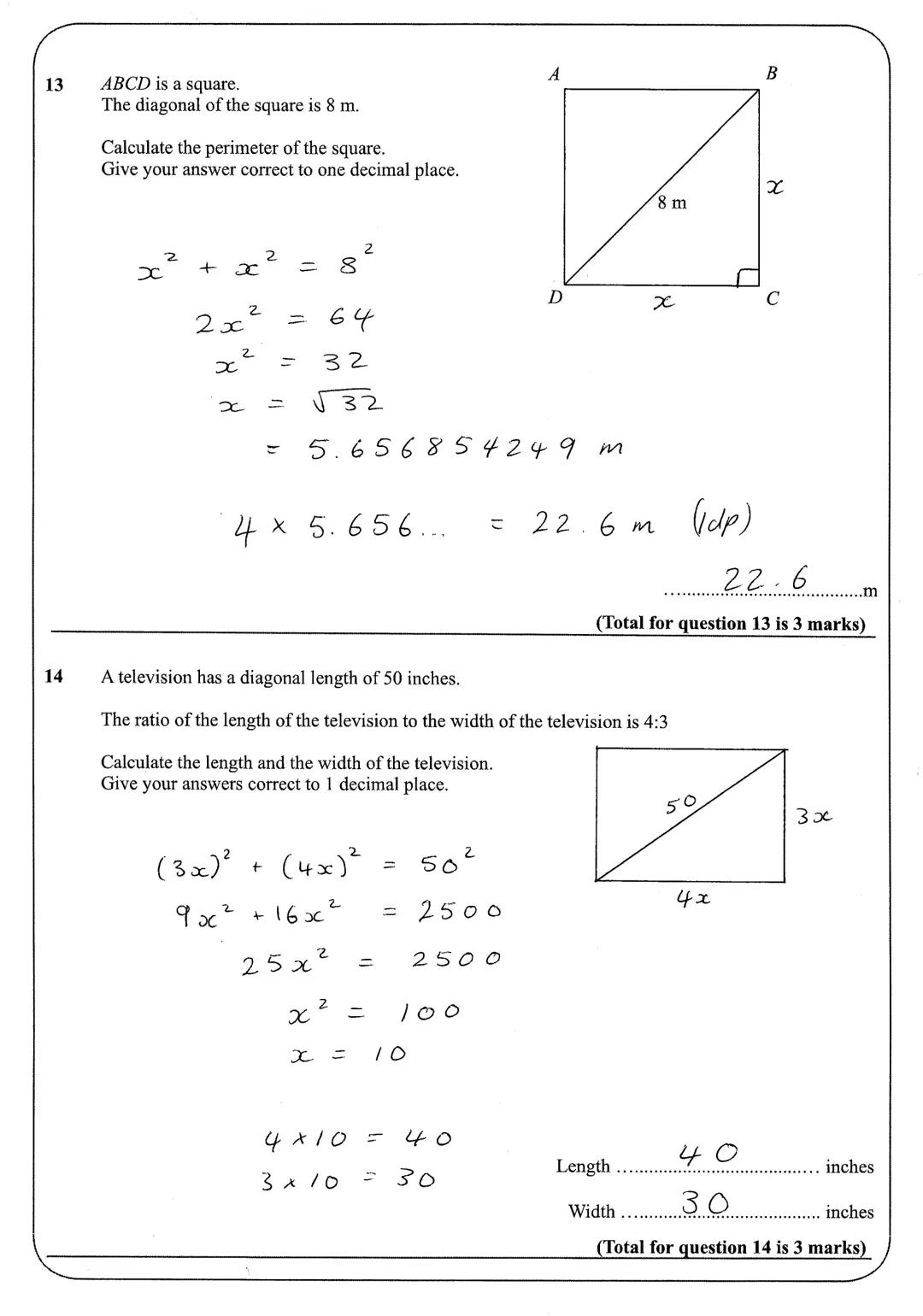
Pythagoras' theorem can solve interesting problems involving special geometric relationships and real-world scenarios.
In question 13, we need to find the perimeter of a square when only given its diagonal (8 m). Since the diagonal creates a right-angled triangle with two equal sides, we use Pythagoras: x² + x² = 8², so 2x² = 64, making x = √32 ≈ 5.66 m. The perimeter is 4 times this length: 4 × 5.66 = 22.6 m (1dp).
Question 14 involves finding the dimensions of a TV with a 50-inch diagonal and a 4:3 aspect ratio. We can write the sides as 4x and 3x, then apply Pythagoras: (4x)² + (3x)² = 50². This gives us 16x² + 9x² = 2500, so 25x² = 2500, making x = 10. Therefore, the length is 4 × 10 = 40 inches and the width is 3 × 10 = 30 inches.
Cool fact: TV and monitor sizes are always measured diagonally! You can use Pythagoras' theorem to work out the actual screen dimensions when shopping for a new device.
Our AI Companion is a student-focused AI tool that offers more than just answers. Built on millions of Knowunity resources, it provides relevant information, personalised study plans, quizzes, and content directly in the chat, adapting to your individual learning journey.
You can download the app from Google Play Store and Apple App Store.
That's right! Enjoy free access to study content, connect with fellow students, and get instant help – all at your fingertips.
App Store
Google Play
The app is very easy to use and well designed. I have found everything I was looking for so far and have been able to learn a lot from the presentations! I will definitely use the app for a class assignment! And of course it also helps a lot as an inspiration.
Stefan S
iOS user
This app is really great. There are so many study notes and help [...]. My problem subject is French, for example, and the app has so many options for help. Thanks to this app, I have improved my French. I would recommend it to anyone.
Samantha Klich
Android user
Wow, I am really amazed. I just tried the app because I've seen it advertised many times and was absolutely stunned. This app is THE HELP you want for school and above all, it offers so many things, such as workouts and fact sheets, which have been VERY helpful to me personally.
Anna
iOS user
Best app on earth! no words because it’s too good
Thomas R
iOS user
Just amazing. Let's me revise 10x better, this app is a quick 10/10. I highly recommend it to anyone. I can watch and search for notes. I can save them in the subject folder. I can revise it any time when I come back. If you haven't tried this app, you're really missing out.
Basil
Android user
This app has made me feel so much more confident in my exam prep, not only through boosting my own self confidence through the features that allow you to connect with others and feel less alone, but also through the way the app itself is centred around making you feel better. It is easy to navigate, fun to use, and helpful to anyone struggling in absolutely any way.
David K
iOS user
The app's just great! All I have to do is enter the topic in the search bar and I get the response real fast. I don't have to watch 10 YouTube videos to understand something, so I'm saving my time. Highly recommended!
Sudenaz Ocak
Android user
In school I was really bad at maths but thanks to the app, I am doing better now. I am so grateful that you made the app.
Greenlight Bonnie
Android user
very reliable app to help and grow your ideas of Maths, English and other related topics in your works. please use this app if your struggling in areas, this app is key for that. wish I'd of done a review before. and it's also free so don't worry about that.
Rohan U
Android user
I know a lot of apps use fake accounts to boost their reviews but this app deserves it all. Originally I was getting 4 in my English exams and this time I got a grade 7. I didn’t even know about this app three days until the exam and it has helped A LOT. Please actually trust me and use it as I’m sure you too will see developments.
Xander S
iOS user
THE QUIZES AND FLASHCARDS ARE SO USEFUL AND I LOVE Knowunity AI. IT ALSO IS LITREALLY LIKE CHATGPT BUT SMARTER!! HELPED ME WITH MY MASCARA PROBLEMS TOO!! AS WELL AS MY REAL SUBJECTS ! DUHHH 😍😁😲🤑💗✨🎀😮
Elisha
iOS user
This apps acc the goat. I find revision so boring but this app makes it so easy to organize it all and then you can ask the freeeee ai to test yourself so good and you can easily upload your own stuff. highly recommend as someone taking mocks now
Paul T
iOS user
The app is very easy to use and well designed. I have found everything I was looking for so far and have been able to learn a lot from the presentations! I will definitely use the app for a class assignment! And of course it also helps a lot as an inspiration.
Stefan S
iOS user
This app is really great. There are so many study notes and help [...]. My problem subject is French, for example, and the app has so many options for help. Thanks to this app, I have improved my French. I would recommend it to anyone.
Samantha Klich
Android user
Wow, I am really amazed. I just tried the app because I've seen it advertised many times and was absolutely stunned. This app is THE HELP you want for school and above all, it offers so many things, such as workouts and fact sheets, which have been VERY helpful to me personally.
Anna
iOS user
Best app on earth! no words because it’s too good
Thomas R
iOS user
Just amazing. Let's me revise 10x better, this app is a quick 10/10. I highly recommend it to anyone. I can watch and search for notes. I can save them in the subject folder. I can revise it any time when I come back. If you haven't tried this app, you're really missing out.
Basil
Android user
This app has made me feel so much more confident in my exam prep, not only through boosting my own self confidence through the features that allow you to connect with others and feel less alone, but also through the way the app itself is centred around making you feel better. It is easy to navigate, fun to use, and helpful to anyone struggling in absolutely any way.
David K
iOS user
The app's just great! All I have to do is enter the topic in the search bar and I get the response real fast. I don't have to watch 10 YouTube videos to understand something, so I'm saving my time. Highly recommended!
Sudenaz Ocak
Android user
In school I was really bad at maths but thanks to the app, I am doing better now. I am so grateful that you made the app.
Greenlight Bonnie
Android user
very reliable app to help and grow your ideas of Maths, English and other related topics in your works. please use this app if your struggling in areas, this app is key for that. wish I'd of done a review before. and it's also free so don't worry about that.
Rohan U
Android user
I know a lot of apps use fake accounts to boost their reviews but this app deserves it all. Originally I was getting 4 in my English exams and this time I got a grade 7. I didn’t even know about this app three days until the exam and it has helped A LOT. Please actually trust me and use it as I’m sure you too will see developments.
Xander S
iOS user
THE QUIZES AND FLASHCARDS ARE SO USEFUL AND I LOVE Knowunity AI. IT ALSO IS LITREALLY LIKE CHATGPT BUT SMARTER!! HELPED ME WITH MY MASCARA PROBLEMS TOO!! AS WELL AS MY REAL SUBJECTS ! DUHHH 😍😁😲🤑💗✨🎀😮
Elisha
iOS user
This apps acc the goat. I find revision so boring but this app makes it so easy to organize it all and then you can ask the freeeee ai to test yourself so good and you can easily upload your own stuff. highly recommend as someone taking mocks now
Paul T
iOS user
Simran
@simran_task
Pythagoras' theorem is a powerful mathematical tool that helps us find unknown sides in right-angled triangles. This theorem states that the square of the hypotenuse (the longest side opposite the right angle) equals the sum of the squares of the... Show more

Access to all documents
Improve your grades
Join milions of students
By signing up you accept Terms of Service and Privacy Policy
Pythagoras' theorem is one of the most useful formulas you'll learn in mathematics. It works in any right-angled triangle and states that a² + b² = c², where c is the hypotenuse (the longest side opposite the right angle).
The formula helps us find missing sides in triangles when we know the other two sides. You'll often need to find square roots as part of solving these problems, so make sure your calculator is ready!
When tackling Pythagoras problems in exams, always start by identifying the right angle in the triangle and labeling which side is the hypotenuse.
Pro tip: Always draw a clear diagram if one isn't provided, and label the sides you know and the side you need to find.

Access to all documents
Improve your grades
Join milions of students
By signing up you accept Terms of Service and Privacy Policy
When finding the hypotenuse (the longest side opposite the right angle), we use the formula a² + b² = c², where c is the hypotenuse. This is the most straightforward application of Pythagoras' theorem.
In question 1, we find the length of AC by using the measurements of the other two sides: 3.6 cm and 4.8 cm. We square these values (3.6² + 4.8² = 12.96 + 23.04 = 36), then take the square root to get 6 cm.
For question 2, we use the same approach but with different values. We know the hypotenuse BC is 17.55 cm and one side AC is 6.75 cm. To find AB, we rearrange the formula: AB² = BC² - AC² which gives us AB = 16.2 cm.
Remember: When finding the hypotenuse, you ADD the squares of the two shorter sides. When finding a shorter side, you SUBTRACT the known shorter side squared from the hypotenuse squared.

Access to all documents
Improve your grades
Join milions of students
By signing up you accept Terms of Service and Privacy Policy
Sometimes you need to find one of the shorter sides rather than the hypotenuse. In these cases, you rearrange the formula to a² = c² - b².
In question 3, we need to find BC when AC = 14 cm and AB = 6 cm. Since AC is the hypotenuse, we calculate BC² = AC² - AB² = 14² - 6² = 196 - 36 = 160. Taking the square root gives BC = 12.6 cm (to 1 decimal place).
For question 4, we find AC when AB = 4.2 cm and BC = 5.6 cm. Using a² + b² = c², we get 4.2² + 5.6² = AC². This simplifies to 17.64 + 31.36 = AC², so AC = 7 cm.
Watch out: Make sure you correctly identify which side is the hypotenuse before applying Pythagoras' theorem. The hypotenuse is always opposite the right angle and is the longest side.

Access to all documents
Improve your grades
Join milions of students
By signing up you accept Terms of Service and Privacy Policy
More complex problems may require you to use Pythagoras' theorem multiple times to reach the final answer. These problems test your ability to break down complex shapes into manageable parts.
In question 5, we need to find the length AD in a shape with multiple right angles. First, we calculate the length y using Pythagoras: y² = 19² - 14² = 361 - 196 = 165, so y = √165 ≈ 12.85. Then we use y to find AD: AD² = 10² + y² = 100 + 165 = 265, giving AD = 16.3 m (3sf).
Question 6 follows a similar approach. We first find length y using Pythagoras: y² = 4² + 7² = 16 + 49 = 65. Then we solve for AB: AB² + 65 = 9.5², which gives AB = 5.02 cm (3sf).
Key insight: For complex shapes, identify right-angled triangles within the shape and solve them one at a time. Your answer from one calculation becomes input for the next.

Access to all documents
Improve your grades
Join milions of students
By signing up you accept Terms of Service and Privacy Policy
Pythagoras' theorem is extremely useful when working with geometric shapes like rectangles, squares, and trapeziums. The diagonal of these shapes can be found using this theorem.
For rectangles, as in question 7, the diagonal AC forms a right-angled triangle with the sides of the rectangle. Using Pythagoras, AC² = 8² + 17² = 64 + 289 = 353, giving AC = 18.8 cm (1dp).
In question 8, we have a trapezium ABCD. We first find the height of the trapezium using Pythagoras: x² = 17² - 15² = 289 - 225 = 64, so x = 8 cm. Then we subtract this value from the total width to find BC: BC = 12 - 8 = 4 cm.
Handy tip: In regular shapes like squares and rectangles, the diagonals always form right-angled triangles with the sides, making Pythagoras' theorem perfect for finding their lengths.

Access to all documents
Improve your grades
Join milions of students
By signing up you accept Terms of Service and Privacy Policy
Pythagoras' theorem helps us find crucial measurements in various geometric figures, like the height of triangles or distances in compound shapes.
In question 9, we need to find the perpendicular height of an isosceles triangle. Using Pythagoras, the distance from the base to the height is x² = 10² - 4² = 100 - 16 = 84, giving a height of 9.17 (3sf).
Question 10 involves finding the diagonal AC in a trapezium. We first calculate the length of one part using Pythagoras: x² = 13² - 5² = 169 - 25 = 144, so x = 12. Then we find AC using the second right-angled triangle: AC² = 8² + 12² = 64 + 144 = 208, giving AC = 14.4 (3sf).
Remember: When working with isosceles triangles, the perpendicular height bisects the base, creating two equal right-angled triangles—perfect for applying Pythagoras' theorem!

Access to all documents
Improve your grades
Join milions of students
By signing up you accept Terms of Service and Privacy Policy
Pythagoras' theorem has many practical applications in real life, from navigation to construction problems.
In question 11, a ship sails 3.7 km North and then 2.4 km East. To find the direct distance between the starting and ending points, we use Pythagoras: x² = 2.4² + 3.7² = 5.76 + 13.69 = 19.45, giving a direct distance of 4.4 km (1dp).
Question 12 presents a classic ladder problem. With the ladder reaching 2.5 m (or 250 cm) up a wall and its base 70 cm from the wall, we can find the ladder's length using Pythagoras: x² = 70² + 250² = 4,900 + 62,500 = 67,400, giving a ladder length of 260 cm.
Real-life connection: Engineers and architects regularly use Pythagoras' theorem when designing structures, planning layouts, or calculating distances that can't be directly measured.

Access to all documents
Improve your grades
Join milions of students
By signing up you accept Terms of Service and Privacy Policy
Pythagoras' theorem can solve interesting problems involving special geometric relationships and real-world scenarios.
In question 13, we need to find the perimeter of a square when only given its diagonal (8 m). Since the diagonal creates a right-angled triangle with two equal sides, we use Pythagoras: x² + x² = 8², so 2x² = 64, making x = √32 ≈ 5.66 m. The perimeter is 4 times this length: 4 × 5.66 = 22.6 m (1dp).
Question 14 involves finding the dimensions of a TV with a 50-inch diagonal and a 4:3 aspect ratio. We can write the sides as 4x and 3x, then apply Pythagoras: (4x)² + (3x)² = 50². This gives us 16x² + 9x² = 2500, so 25x² = 2500, making x = 10. Therefore, the length is 4 × 10 = 40 inches and the width is 3 × 10 = 30 inches.
Cool fact: TV and monitor sizes are always measured diagonally! You can use Pythagoras' theorem to work out the actual screen dimensions when shopping for a new device.
Our AI Companion is a student-focused AI tool that offers more than just answers. Built on millions of Knowunity resources, it provides relevant information, personalised study plans, quizzes, and content directly in the chat, adapting to your individual learning journey.
You can download the app from Google Play Store and Apple App Store.
That's right! Enjoy free access to study content, connect with fellow students, and get instant help – all at your fingertips.
3
Smart Tools NEW
Transform this note into: ✓ 50+ Practice Questions ✓ Interactive Flashcards ✓ Full Mock Exam ✓ Essay Outlines
App Store
Google Play
The app is very easy to use and well designed. I have found everything I was looking for so far and have been able to learn a lot from the presentations! I will definitely use the app for a class assignment! And of course it also helps a lot as an inspiration.
Stefan S
iOS user
This app is really great. There are so many study notes and help [...]. My problem subject is French, for example, and the app has so many options for help. Thanks to this app, I have improved my French. I would recommend it to anyone.
Samantha Klich
Android user
Wow, I am really amazed. I just tried the app because I've seen it advertised many times and was absolutely stunned. This app is THE HELP you want for school and above all, it offers so many things, such as workouts and fact sheets, which have been VERY helpful to me personally.
Anna
iOS user
Best app on earth! no words because it’s too good
Thomas R
iOS user
Just amazing. Let's me revise 10x better, this app is a quick 10/10. I highly recommend it to anyone. I can watch and search for notes. I can save them in the subject folder. I can revise it any time when I come back. If you haven't tried this app, you're really missing out.
Basil
Android user
This app has made me feel so much more confident in my exam prep, not only through boosting my own self confidence through the features that allow you to connect with others and feel less alone, but also through the way the app itself is centred around making you feel better. It is easy to navigate, fun to use, and helpful to anyone struggling in absolutely any way.
David K
iOS user
The app's just great! All I have to do is enter the topic in the search bar and I get the response real fast. I don't have to watch 10 YouTube videos to understand something, so I'm saving my time. Highly recommended!
Sudenaz Ocak
Android user
In school I was really bad at maths but thanks to the app, I am doing better now. I am so grateful that you made the app.
Greenlight Bonnie
Android user
very reliable app to help and grow your ideas of Maths, English and other related topics in your works. please use this app if your struggling in areas, this app is key for that. wish I'd of done a review before. and it's also free so don't worry about that.
Rohan U
Android user
I know a lot of apps use fake accounts to boost their reviews but this app deserves it all. Originally I was getting 4 in my English exams and this time I got a grade 7. I didn’t even know about this app three days until the exam and it has helped A LOT. Please actually trust me and use it as I’m sure you too will see developments.
Xander S
iOS user
THE QUIZES AND FLASHCARDS ARE SO USEFUL AND I LOVE Knowunity AI. IT ALSO IS LITREALLY LIKE CHATGPT BUT SMARTER!! HELPED ME WITH MY MASCARA PROBLEMS TOO!! AS WELL AS MY REAL SUBJECTS ! DUHHH 😍😁😲🤑💗✨🎀😮
Elisha
iOS user
This apps acc the goat. I find revision so boring but this app makes it so easy to organize it all and then you can ask the freeeee ai to test yourself so good and you can easily upload your own stuff. highly recommend as someone taking mocks now
Paul T
iOS user
The app is very easy to use and well designed. I have found everything I was looking for so far and have been able to learn a lot from the presentations! I will definitely use the app for a class assignment! And of course it also helps a lot as an inspiration.
Stefan S
iOS user
This app is really great. There are so many study notes and help [...]. My problem subject is French, for example, and the app has so many options for help. Thanks to this app, I have improved my French. I would recommend it to anyone.
Samantha Klich
Android user
Wow, I am really amazed. I just tried the app because I've seen it advertised many times and was absolutely stunned. This app is THE HELP you want for school and above all, it offers so many things, such as workouts and fact sheets, which have been VERY helpful to me personally.
Anna
iOS user
Best app on earth! no words because it’s too good
Thomas R
iOS user
Just amazing. Let's me revise 10x better, this app is a quick 10/10. I highly recommend it to anyone. I can watch and search for notes. I can save them in the subject folder. I can revise it any time when I come back. If you haven't tried this app, you're really missing out.
Basil
Android user
This app has made me feel so much more confident in my exam prep, not only through boosting my own self confidence through the features that allow you to connect with others and feel less alone, but also through the way the app itself is centred around making you feel better. It is easy to navigate, fun to use, and helpful to anyone struggling in absolutely any way.
David K
iOS user
The app's just great! All I have to do is enter the topic in the search bar and I get the response real fast. I don't have to watch 10 YouTube videos to understand something, so I'm saving my time. Highly recommended!
Sudenaz Ocak
Android user
In school I was really bad at maths but thanks to the app, I am doing better now. I am so grateful that you made the app.
Greenlight Bonnie
Android user
very reliable app to help and grow your ideas of Maths, English and other related topics in your works. please use this app if your struggling in areas, this app is key for that. wish I'd of done a review before. and it's also free so don't worry about that.
Rohan U
Android user
I know a lot of apps use fake accounts to boost their reviews but this app deserves it all. Originally I was getting 4 in my English exams and this time I got a grade 7. I didn’t even know about this app three days until the exam and it has helped A LOT. Please actually trust me and use it as I’m sure you too will see developments.
Xander S
iOS user
THE QUIZES AND FLASHCARDS ARE SO USEFUL AND I LOVE Knowunity AI. IT ALSO IS LITREALLY LIKE CHATGPT BUT SMARTER!! HELPED ME WITH MY MASCARA PROBLEMS TOO!! AS WELL AS MY REAL SUBJECTS ! DUHHH 😍😁😲🤑💗✨🎀😮
Elisha
iOS user
This apps acc the goat. I find revision so boring but this app makes it so easy to organize it all and then you can ask the freeeee ai to test yourself so good and you can easily upload your own stuff. highly recommend as someone taking mocks now
Paul T
iOS user