You've got an Applications of Mathematics exam paper here that... Show more
Sign up to see the contentIt's free!
Access to all documents
Improve your grades
Join milions of students
By signing up you accept Terms of Service and Privacy Policy
Subjects
Classic Dramatic Literature
Modern Lyric Poetry
Influential English-Language Authors
Classic and Contemporary Novels
Literary Character Analysis
Romantic and Love Poetry
Reading Analysis and Interpretation
Evidence Analysis and Integration
Author's Stylistic Elements
Figurative Language and Rhetoric
Show all topics
Human Organ Systems
Cellular Organization and Development
Biomolecular Structure and Organization
Enzyme Structure and Regulation
Cellular Organization Types
Biological Homeostatic Processes
Cellular Membrane Structure
Autotrophic Energy Processes
Environmental Sustainability and Impact
Neural Communication Systems
Show all topics
Social Sciences Research & Practice
Social Structure and Mobility
Classic Social Influence Experiments
Social Systems Theories
Family and Relationship Dynamics
Memory Systems and Processes
Neural Bases of Behavior
Social Influence and Attraction
Psychotherapeutic Approaches
Human Agency and Responsibility
Show all topics
Chemical Sciences and Applications
Chemical Bond Types and Properties
Organic Functional Groups
Atomic Structure and Composition
Chromatographic Separation Principles
Chemical Compound Classifications
Electrochemical Cell Systems
Periodic Table Organization
Chemical Reaction Kinetics
Chemical Equation Conservation
Show all topics
Nazi Germany and Holocaust 1933-1945
World Wars and Peace Treaties
European Monarchs and Statesmen
Cold War Global Tensions
Medieval Institutions and Systems
European Renaissance and Enlightenment
Modern Global Environmental-Health Challenges
Modern Military Conflicts
Medieval Migration and Invasions
World Wars Era and Impact
Show all topics
602
โข
Updated 4 Mar 2026
โข
๐ธ๐๐ท๐๐
@sarahknowunity
You've got an Applications of Mathematics exam paper here that... Show more











This is your N5 Applications of Mathematics Paper 2 from 2023. You've got 1 hour and 40 minutes to tackle all the questions, and you can definitely use a calculator - result!
The paper's worth 55 marks total, so that's roughly a mark per minute. Make sure you show all your working clearly because that's where you'll pick up marks even if your final answer isn't perfect.
Top tip: Always include units in your answers when they're needed. It's an easy way to lose marks if you forget them, and the questions will usually make it obvious what units you should use.

Here's your formula toolkit - these are the mathematical weapons you'll need for the exam! You don't need to memorise these as they're given to you, but knowing when to use each one is crucial.
The circle formulas (circumference and area) pop up loads in real-world problems. Pythagoras' theorem is your best mate for any right-angled triangle work, especially in construction and design questions.
Volume formulas for cylinders, cones, and spheres are dead useful for practical problems involving containers, building materials, or any 3D shapes. The standard deviation formula looks scary but it's just measuring how spread out your data is.
Remember: The gradient formula is simply rise over run - vertical distance divided by horizontal distance. Dead simple when you think about it as climbing a hill!

This lake problem shows you how to handle compound percentage changes over multiple years. When something decreases by 2.8%, you're left with 97.2% of the original amount (100% - 2.8% = 97.2%).
The key trick is converting percentages to decimals: 97.2% becomes 0.972. Then you multiply by this decimal three times because it's happening over three years.
So you get: 14,730,000 ร 0.972 ร 0.972 ร 0.972 = 13,500,000 litres (to 3 significant figures). Notice how you round at the very end, not during your calculations.
Pro tip: For compound changes, you can use the power function on your calculator: 14,730,000 ร (0.972)ยณ is much quicker!

This window problem combines rectangles and quarter circles - exactly the sort of mixed shape you'll see in real construction work. You need to find the total length of edging needed.
Start by identifying what makes up the perimeter: the straight edges of rectangles plus the curved edges of quarter circles. For the rectangles, you only count the outer edges that actually form the perimeter.
For the quarter circles, use the circumference formula C = ฯd, then divide by 4 since you only want a quarter. Add everything together: rectangle perimeters + quarter circle arcs = total edging length.
The working shown gives 7,399.11mm, which makes sense when you think about the size of a large window.

This fencing problem is Pythagoras in action - perfect for working out diagonal distances when you're planning layouts. You need to find the lengths AB and BC to calculate fencing costs.
For triangle with sides 5m and 7m: aยฒ + bยฒ = cยฒ, so 5ยฒ + 7ยฒ = 25 + 49 = 74, giving you c = โ74 = 8.60m. That's your distance from A to B.
For the second triangle, you use the fact that one side is 21m total, then work backwards with Pythagoras to find the other distances. Total fencing needed = 27.75m, which needs 14 rolls at ยฃ22 each = ยฃ308.
Smart move: Always round UP when buying materials - you can't buy part of a roll!

This mirror problem tests your ability to handle composite shapes - a square with four semicircles attached. You calculate each part separately, then add them together.
Square area = 1.2 ร 1.2 = 1.44 mยฒ. For the semicircles, be careful with the radius - if diameter is 0.7m, then radius is 0.35m. Each semicircle area = (ฯ ร 0.35ยฒ) รท 2 = 0.1924 mยฒ.
Since you've got four identical semicircles, multiply by 4: 0.1924 ร 4 = 0.7696 mยฒ. Total mirror area = 1.44 + 0.7696 = 2.21 mยฒ.
The key here is reading the question carefully - diameter vs radius trips up loads of students!

This mirror costing question tests your ability to extract information from tables and calculate total costs. You need to identify each component cost for a 3mยฒ mirror.
From the table: 4mm silver glass = ยฃ38 per mยฒ, so 3 ร ยฃ38 = ยฃ114. Anti-glare coating = ยฃ16 per mยฒ, so 3 ร ยฃ16 = ยฃ48. Standard fixings = ยฃ32 (fixed cost), foil backing = ยฃ20 (fixed cost).
Total cost = ยฃ114 + ยฃ48 + ยฃ32 + ยฃ20 = ยฃ214. Notice how some costs are per square metre (glass, coating) while others are fixed per mirror (fixings, backing).
Watch out: Always check whether costs are per unit area or per item - it's easy to mix these up under exam pressure!

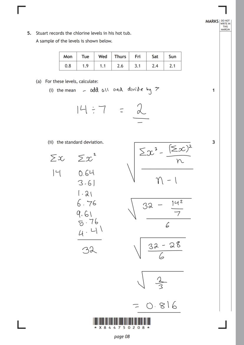
These chlorine level calculations show you practical statistics in action. The mean is straightforward: add all values (0.8 + 1.9 + 1.1 + 2.6 + 3.1 + 2.4 + 2.1 = 14) and divide by 7 = 2.
Standard deviation measures how spread out the data is. You need ฮฃx = 14, ฮฃxยฒ = 32, and n = 7. Using the formula: s = โ[(32 - 14ยฒ/7)/(7-1)] = โ[4/6] = 0.816.
The key is being systematic with your calculations - make a table with x and xยฒ columns to avoid mistakes. Standard deviation tells you about consistency - lower values mean more predictable chlorine levels.

For data comparison, you need to compare both averages and spread. Colin's mean (2.2) is higher than Stuart's (2.0), so "Colin's hot tub has higher average chlorine levels." Colin's standard deviation (1.4) is higher than Stuart's (0.816), so "Colin's levels are more variable."
The time calculation uses inverse proportion: if 4 workers take 12 hours, that's 48 worker-hours total. With 5 workers: 48 รท 5 = 9.6 hours = 9 hours 36 minutes.
Starting at 08:00, add 9 hours 36 minutes work time plus 30 minutes lunch break = 18:06 (6:06 PM). Always include breaks in your time calculations!
Remember: In inverse proportion, more workers = less time, but the total work stays constant.

This multi-step currency problem tests your ability to track money through different conversions. Start with ยฃ640 โ Polish zlotys: ยฃ640 ร 4.94 = 3,161.60 zlotys.
After spending 340 zlotys per day for 4 days , Lorna has 3,161.60 - 1,360 = 1,801.60 zlotys remaining.
Convert back to pounds first: 1,801.60 รท 4.94 = ยฃ364.70, then convert to euros: ยฃ364.70 ร 1.15 = โฌ419.40.
Top tip: Always convert through pounds when moving between two foreign currencies - it's less likely to cause errors than trying to calculate direct exchange rates.
Our AI Companion is a student-focused AI tool that offers more than just answers. Built on millions of Knowunity resources, it provides relevant information, personalised study plans, quizzes, and content directly in the chat, adapting to your individual learning journey.
You can download the app from Google Play Store and Apple App Store.
That's right! Enjoy free access to study content, connect with fellow students, and get instant help โ all at your fingertips.
App Store
Google Play
The app is very easy to use and well designed. I have found everything I was looking for so far and have been able to learn a lot from the presentations! I will definitely use the app for a class assignment! And of course it also helps a lot as an inspiration.
Stefan S
iOS user
This app is really great. There are so many study notes and help [...]. My problem subject is French, for example, and the app has so many options for help. Thanks to this app, I have improved my French. I would recommend it to anyone.
Samantha Klich
Android user
Wow, I am really amazed. I just tried the app because I've seen it advertised many times and was absolutely stunned. This app is THE HELP you want for school and above all, it offers so many things, such as workouts and fact sheets, which have been VERY helpful to me personally.
Anna
iOS user
Best app on earth! no words because itโs too good
Thomas R
iOS user
Just amazing. Let's me revise 10x better, this app is a quick 10/10. I highly recommend it to anyone. I can watch and search for notes. I can save them in the subject folder. I can revise it any time when I come back. If you haven't tried this app, you're really missing out.
Basil
Android user
This app has made me feel so much more confident in my exam prep, not only through boosting my own self confidence through the features that allow you to connect with others and feel less alone, but also through the way the app itself is centred around making you feel better. It is easy to navigate, fun to use, and helpful to anyone struggling in absolutely any way.
David K
iOS user
The app's just great! All I have to do is enter the topic in the search bar and I get the response real fast. I don't have to watch 10 YouTube videos to understand something, so I'm saving my time. Highly recommended!
Sudenaz Ocak
Android user
In school I was really bad at maths but thanks to the app, I am doing better now. I am so grateful that you made the app.
Greenlight Bonnie
Android user
very reliable app to help and grow your ideas of Maths, English and other related topics in your works. please use this app if your struggling in areas, this app is key for that. wish I'd of done a review before. and it's also free so don't worry about that.
Rohan U
Android user
I know a lot of apps use fake accounts to boost their reviews but this app deserves it all. Originally I was getting 4 in my English exams and this time I got a grade 7. I didnโt even know about this app three days until the exam and it has helped A LOT. Please actually trust me and use it as Iโm sure you too will see developments.
Xander S
iOS user
THE QUIZES AND FLASHCARDS ARE SO USEFUL AND I LOVE Knowunity AI. IT ALSO IS LITREALLY LIKE CHATGPT BUT SMARTER!! HELPED ME WITH MY MASCARA PROBLEMS TOO!! AS WELL AS MY REAL SUBJECTS ! DUHHH ๐๐๐ฒ๐ค๐โจ๐๐ฎ
Elisha
iOS user
This apps acc the goat. I find revision so boring but this app makes it so easy to organize it all and then you can ask the freeeee ai to test yourself so good and you can easily upload your own stuff. highly recommend as someone taking mocks now
Paul T
iOS user
The app is very easy to use and well designed. I have found everything I was looking for so far and have been able to learn a lot from the presentations! I will definitely use the app for a class assignment! And of course it also helps a lot as an inspiration.
Stefan S
iOS user
This app is really great. There are so many study notes and help [...]. My problem subject is French, for example, and the app has so many options for help. Thanks to this app, I have improved my French. I would recommend it to anyone.
Samantha Klich
Android user
Wow, I am really amazed. I just tried the app because I've seen it advertised many times and was absolutely stunned. This app is THE HELP you want for school and above all, it offers so many things, such as workouts and fact sheets, which have been VERY helpful to me personally.
Anna
iOS user
Best app on earth! no words because itโs too good
Thomas R
iOS user
Just amazing. Let's me revise 10x better, this app is a quick 10/10. I highly recommend it to anyone. I can watch and search for notes. I can save them in the subject folder. I can revise it any time when I come back. If you haven't tried this app, you're really missing out.
Basil
Android user
This app has made me feel so much more confident in my exam prep, not only through boosting my own self confidence through the features that allow you to connect with others and feel less alone, but also through the way the app itself is centred around making you feel better. It is easy to navigate, fun to use, and helpful to anyone struggling in absolutely any way.
David K
iOS user
The app's just great! All I have to do is enter the topic in the search bar and I get the response real fast. I don't have to watch 10 YouTube videos to understand something, so I'm saving my time. Highly recommended!
Sudenaz Ocak
Android user
In school I was really bad at maths but thanks to the app, I am doing better now. I am so grateful that you made the app.
Greenlight Bonnie
Android user
very reliable app to help and grow your ideas of Maths, English and other related topics in your works. please use this app if your struggling in areas, this app is key for that. wish I'd of done a review before. and it's also free so don't worry about that.
Rohan U
Android user
I know a lot of apps use fake accounts to boost their reviews but this app deserves it all. Originally I was getting 4 in my English exams and this time I got a grade 7. I didnโt even know about this app three days until the exam and it has helped A LOT. Please actually trust me and use it as Iโm sure you too will see developments.
Xander S
iOS user
THE QUIZES AND FLASHCARDS ARE SO USEFUL AND I LOVE Knowunity AI. IT ALSO IS LITREALLY LIKE CHATGPT BUT SMARTER!! HELPED ME WITH MY MASCARA PROBLEMS TOO!! AS WELL AS MY REAL SUBJECTS ! DUHHH ๐๐๐ฒ๐ค๐โจ๐๐ฎ
Elisha
iOS user
This apps acc the goat. I find revision so boring but this app makes it so easy to organize it all and then you can ask the freeeee ai to test yourself so good and you can easily upload your own stuff. highly recommend as someone taking mocks now
Paul T
iOS user
๐ธ๐๐ท๐๐
@sarahknowunity
You've got an Applications of Mathematics exam paper here that covers loads of real-world maths problems. These questions show how you'll actually use maths in everyday situations like gardening, home improvements, and travel - making it way more relevant than... Show more

Access to all documents
Improve your grades
Join milions of students
By signing up you accept Terms of Service and Privacy Policy
This is your N5 Applications of Mathematics Paper 2 from 2023. You've got 1 hour and 40 minutes to tackle all the questions, and you can definitely use a calculator - result!
The paper's worth 55 marks total, so that's roughly a mark per minute. Make sure you show all your working clearly because that's where you'll pick up marks even if your final answer isn't perfect.
Top tip: Always include units in your answers when they're needed. It's an easy way to lose marks if you forget them, and the questions will usually make it obvious what units you should use.

Access to all documents
Improve your grades
Join milions of students
By signing up you accept Terms of Service and Privacy Policy
Here's your formula toolkit - these are the mathematical weapons you'll need for the exam! You don't need to memorise these as they're given to you, but knowing when to use each one is crucial.
The circle formulas (circumference and area) pop up loads in real-world problems. Pythagoras' theorem is your best mate for any right-angled triangle work, especially in construction and design questions.
Volume formulas for cylinders, cones, and spheres are dead useful for practical problems involving containers, building materials, or any 3D shapes. The standard deviation formula looks scary but it's just measuring how spread out your data is.
Remember: The gradient formula is simply rise over run - vertical distance divided by horizontal distance. Dead simple when you think about it as climbing a hill!

Access to all documents
Improve your grades
Join milions of students
By signing up you accept Terms of Service and Privacy Policy
This lake problem shows you how to handle compound percentage changes over multiple years. When something decreases by 2.8%, you're left with 97.2% of the original amount (100% - 2.8% = 97.2%).
The key trick is converting percentages to decimals: 97.2% becomes 0.972. Then you multiply by this decimal three times because it's happening over three years.
So you get: 14,730,000 ร 0.972 ร 0.972 ร 0.972 = 13,500,000 litres (to 3 significant figures). Notice how you round at the very end, not during your calculations.
Pro tip: For compound changes, you can use the power function on your calculator: 14,730,000 ร (0.972)ยณ is much quicker!

Access to all documents
Improve your grades
Join milions of students
By signing up you accept Terms of Service and Privacy Policy
This window problem combines rectangles and quarter circles - exactly the sort of mixed shape you'll see in real construction work. You need to find the total length of edging needed.
Start by identifying what makes up the perimeter: the straight edges of rectangles plus the curved edges of quarter circles. For the rectangles, you only count the outer edges that actually form the perimeter.
For the quarter circles, use the circumference formula C = ฯd, then divide by 4 since you only want a quarter. Add everything together: rectangle perimeters + quarter circle arcs = total edging length.
The working shown gives 7,399.11mm, which makes sense when you think about the size of a large window.

Access to all documents
Improve your grades
Join milions of students
By signing up you accept Terms of Service and Privacy Policy
This fencing problem is Pythagoras in action - perfect for working out diagonal distances when you're planning layouts. You need to find the lengths AB and BC to calculate fencing costs.
For triangle with sides 5m and 7m: aยฒ + bยฒ = cยฒ, so 5ยฒ + 7ยฒ = 25 + 49 = 74, giving you c = โ74 = 8.60m. That's your distance from A to B.
For the second triangle, you use the fact that one side is 21m total, then work backwards with Pythagoras to find the other distances. Total fencing needed = 27.75m, which needs 14 rolls at ยฃ22 each = ยฃ308.
Smart move: Always round UP when buying materials - you can't buy part of a roll!

Access to all documents
Improve your grades
Join milions of students
By signing up you accept Terms of Service and Privacy Policy
This mirror problem tests your ability to handle composite shapes - a square with four semicircles attached. You calculate each part separately, then add them together.
Square area = 1.2 ร 1.2 = 1.44 mยฒ. For the semicircles, be careful with the radius - if diameter is 0.7m, then radius is 0.35m. Each semicircle area = (ฯ ร 0.35ยฒ) รท 2 = 0.1924 mยฒ.
Since you've got four identical semicircles, multiply by 4: 0.1924 ร 4 = 0.7696 mยฒ. Total mirror area = 1.44 + 0.7696 = 2.21 mยฒ.
The key here is reading the question carefully - diameter vs radius trips up loads of students!

Access to all documents
Improve your grades
Join milions of students
By signing up you accept Terms of Service and Privacy Policy
This mirror costing question tests your ability to extract information from tables and calculate total costs. You need to identify each component cost for a 3mยฒ mirror.
From the table: 4mm silver glass = ยฃ38 per mยฒ, so 3 ร ยฃ38 = ยฃ114. Anti-glare coating = ยฃ16 per mยฒ, so 3 ร ยฃ16 = ยฃ48. Standard fixings = ยฃ32 (fixed cost), foil backing = ยฃ20 (fixed cost).
Total cost = ยฃ114 + ยฃ48 + ยฃ32 + ยฃ20 = ยฃ214. Notice how some costs are per square metre (glass, coating) while others are fixed per mirror (fixings, backing).
Watch out: Always check whether costs are per unit area or per item - it's easy to mix these up under exam pressure!

Access to all documents
Improve your grades
Join milions of students
By signing up you accept Terms of Service and Privacy Policy
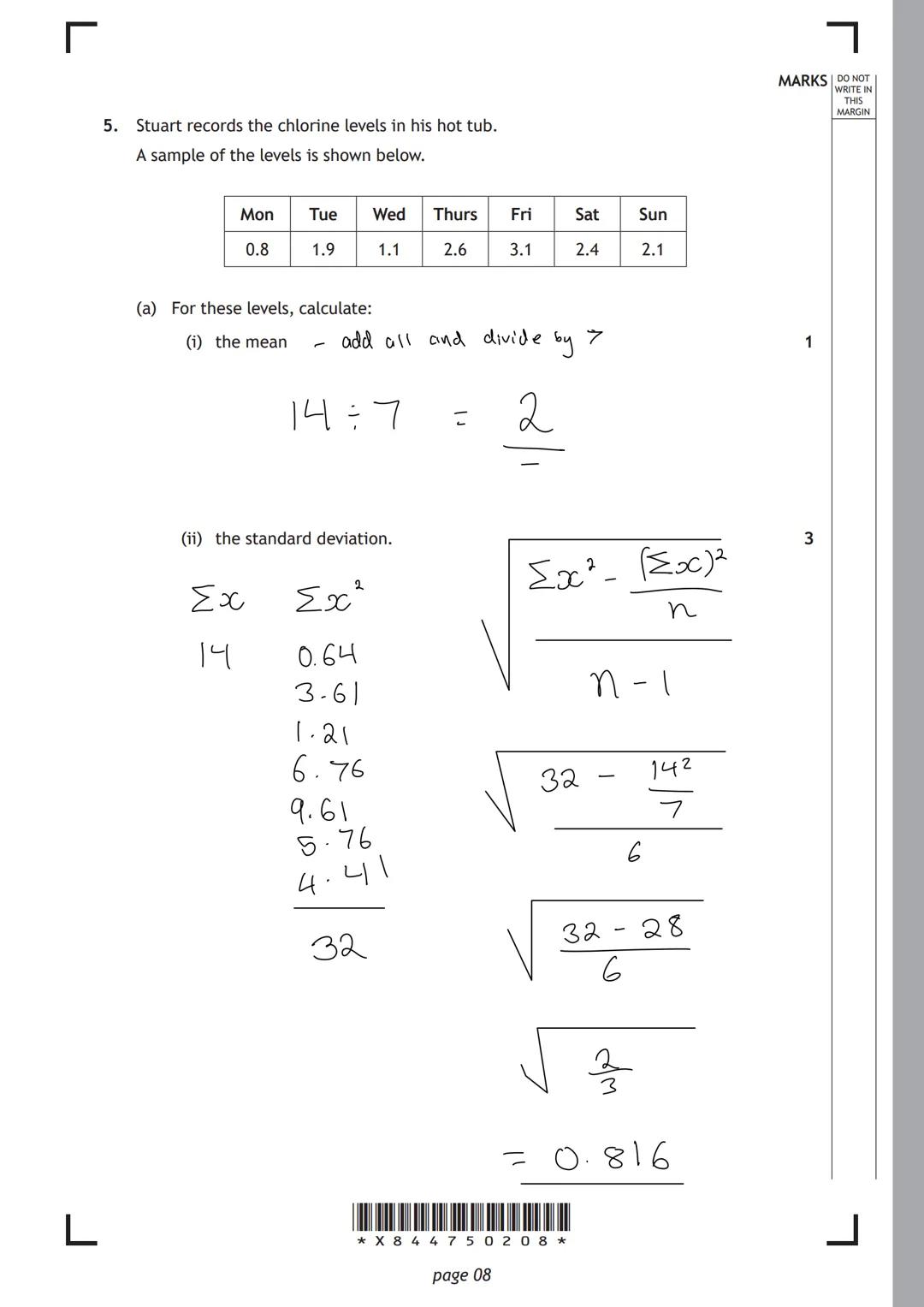
These chlorine level calculations show you practical statistics in action. The mean is straightforward: add all values (0.8 + 1.9 + 1.1 + 2.6 + 3.1 + 2.4 + 2.1 = 14) and divide by 7 = 2.
Standard deviation measures how spread out the data is. You need ฮฃx = 14, ฮฃxยฒ = 32, and n = 7. Using the formula: s = โ[(32 - 14ยฒ/7)/(7-1)] = โ[4/6] = 0.816.
The key is being systematic with your calculations - make a table with x and xยฒ columns to avoid mistakes. Standard deviation tells you about consistency - lower values mean more predictable chlorine levels.

Access to all documents
Improve your grades
Join milions of students
By signing up you accept Terms of Service and Privacy Policy
For data comparison, you need to compare both averages and spread. Colin's mean (2.2) is higher than Stuart's (2.0), so "Colin's hot tub has higher average chlorine levels." Colin's standard deviation (1.4) is higher than Stuart's (0.816), so "Colin's levels are more variable."
The time calculation uses inverse proportion: if 4 workers take 12 hours, that's 48 worker-hours total. With 5 workers: 48 รท 5 = 9.6 hours = 9 hours 36 minutes.
Starting at 08:00, add 9 hours 36 minutes work time plus 30 minutes lunch break = 18:06 (6:06 PM). Always include breaks in your time calculations!
Remember: In inverse proportion, more workers = less time, but the total work stays constant.

Access to all documents
Improve your grades
Join milions of students
By signing up you accept Terms of Service and Privacy Policy
This multi-step currency problem tests your ability to track money through different conversions. Start with ยฃ640 โ Polish zlotys: ยฃ640 ร 4.94 = 3,161.60 zlotys.
After spending 340 zlotys per day for 4 days , Lorna has 3,161.60 - 1,360 = 1,801.60 zlotys remaining.
Convert back to pounds first: 1,801.60 รท 4.94 = ยฃ364.70, then convert to euros: ยฃ364.70 ร 1.15 = โฌ419.40.
Top tip: Always convert through pounds when moving between two foreign currencies - it's less likely to cause errors than trying to calculate direct exchange rates.
Our AI Companion is a student-focused AI tool that offers more than just answers. Built on millions of Knowunity resources, it provides relevant information, personalised study plans, quizzes, and content directly in the chat, adapting to your individual learning journey.
You can download the app from Google Play Store and Apple App Store.
That's right! Enjoy free access to study content, connect with fellow students, and get instant help โ all at your fingertips.
4
Smart Tools NEW
Transform this note into: โ 50+ Practice Questions โ Interactive Flashcards โ Full Mock Exam โ Essay Outlines
Explore the essential components of box plots, including minimum value, lower quartile, median, upper quartile, and maximum value. This summary covers how to draw and interpret box plots, focusing on the interquartile range (IQR) and data distribution. Ideal for students seeking clarity on statistical data representation.
Explore the fundamentals of histograms, including their structure, frequency density calculations, and practical examples. This summary covers key concepts such as continuous data representation, bar spacing, and how to interpret histograms through provided tables and graphs. Ideal for exam preparation and enhancing your understanding of data visualization.
pie charts (year 9) maths
Explore detailed solutions for the Foundation Tier Non-Calculator Maths exam. This resource covers key concepts such as probability, volume calculations, data representation, and more. Perfect for students preparing for their GCSE Maths exam, with step-by-step explanations and examples.
Explore the concepts of cumulative frequency tables and graphs, including how to calculate the median and interpret data sets. This summary provides clear examples and step-by-step instructions for creating and analyzing cumulative frequency distributions, essential for understanding statistical data representation.
Explore essential data analysis techniques including two-way tables, box plots, correlation, and various data representations. This summary covers key concepts such as measures of location, statistical averages, and graphical representations like bar charts and pie charts. Ideal for Year 7 students looking to enhance their understanding of data in mathematics.
App Store
Google Play
The app is very easy to use and well designed. I have found everything I was looking for so far and have been able to learn a lot from the presentations! I will definitely use the app for a class assignment! And of course it also helps a lot as an inspiration.
Stefan S
iOS user
This app is really great. There are so many study notes and help [...]. My problem subject is French, for example, and the app has so many options for help. Thanks to this app, I have improved my French. I would recommend it to anyone.
Samantha Klich
Android user
Wow, I am really amazed. I just tried the app because I've seen it advertised many times and was absolutely stunned. This app is THE HELP you want for school and above all, it offers so many things, such as workouts and fact sheets, which have been VERY helpful to me personally.
Anna
iOS user
Best app on earth! no words because itโs too good
Thomas R
iOS user
Just amazing. Let's me revise 10x better, this app is a quick 10/10. I highly recommend it to anyone. I can watch and search for notes. I can save them in the subject folder. I can revise it any time when I come back. If you haven't tried this app, you're really missing out.
Basil
Android user
This app has made me feel so much more confident in my exam prep, not only through boosting my own self confidence through the features that allow you to connect with others and feel less alone, but also through the way the app itself is centred around making you feel better. It is easy to navigate, fun to use, and helpful to anyone struggling in absolutely any way.
David K
iOS user
The app's just great! All I have to do is enter the topic in the search bar and I get the response real fast. I don't have to watch 10 YouTube videos to understand something, so I'm saving my time. Highly recommended!
Sudenaz Ocak
Android user
In school I was really bad at maths but thanks to the app, I am doing better now. I am so grateful that you made the app.
Greenlight Bonnie
Android user
very reliable app to help and grow your ideas of Maths, English and other related topics in your works. please use this app if your struggling in areas, this app is key for that. wish I'd of done a review before. and it's also free so don't worry about that.
Rohan U
Android user
I know a lot of apps use fake accounts to boost their reviews but this app deserves it all. Originally I was getting 4 in my English exams and this time I got a grade 7. I didnโt even know about this app three days until the exam and it has helped A LOT. Please actually trust me and use it as Iโm sure you too will see developments.
Xander S
iOS user
THE QUIZES AND FLASHCARDS ARE SO USEFUL AND I LOVE Knowunity AI. IT ALSO IS LITREALLY LIKE CHATGPT BUT SMARTER!! HELPED ME WITH MY MASCARA PROBLEMS TOO!! AS WELL AS MY REAL SUBJECTS ! DUHHH ๐๐๐ฒ๐ค๐โจ๐๐ฎ
Elisha
iOS user
This apps acc the goat. I find revision so boring but this app makes it so easy to organize it all and then you can ask the freeeee ai to test yourself so good and you can easily upload your own stuff. highly recommend as someone taking mocks now
Paul T
iOS user
The app is very easy to use and well designed. I have found everything I was looking for so far and have been able to learn a lot from the presentations! I will definitely use the app for a class assignment! And of course it also helps a lot as an inspiration.
Stefan S
iOS user
This app is really great. There are so many study notes and help [...]. My problem subject is French, for example, and the app has so many options for help. Thanks to this app, I have improved my French. I would recommend it to anyone.
Samantha Klich
Android user
Wow, I am really amazed. I just tried the app because I've seen it advertised many times and was absolutely stunned. This app is THE HELP you want for school and above all, it offers so many things, such as workouts and fact sheets, which have been VERY helpful to me personally.
Anna
iOS user
Best app on earth! no words because itโs too good
Thomas R
iOS user
Just amazing. Let's me revise 10x better, this app is a quick 10/10. I highly recommend it to anyone. I can watch and search for notes. I can save them in the subject folder. I can revise it any time when I come back. If you haven't tried this app, you're really missing out.
Basil
Android user
This app has made me feel so much more confident in my exam prep, not only through boosting my own self confidence through the features that allow you to connect with others and feel less alone, but also through the way the app itself is centred around making you feel better. It is easy to navigate, fun to use, and helpful to anyone struggling in absolutely any way.
David K
iOS user
The app's just great! All I have to do is enter the topic in the search bar and I get the response real fast. I don't have to watch 10 YouTube videos to understand something, so I'm saving my time. Highly recommended!
Sudenaz Ocak
Android user
In school I was really bad at maths but thanks to the app, I am doing better now. I am so grateful that you made the app.
Greenlight Bonnie
Android user
very reliable app to help and grow your ideas of Maths, English and other related topics in your works. please use this app if your struggling in areas, this app is key for that. wish I'd of done a review before. and it's also free so don't worry about that.
Rohan U
Android user
I know a lot of apps use fake accounts to boost their reviews but this app deserves it all. Originally I was getting 4 in my English exams and this time I got a grade 7. I didnโt even know about this app three days until the exam and it has helped A LOT. Please actually trust me and use it as Iโm sure you too will see developments.
Xander S
iOS user
THE QUIZES AND FLASHCARDS ARE SO USEFUL AND I LOVE Knowunity AI. IT ALSO IS LITREALLY LIKE CHATGPT BUT SMARTER!! HELPED ME WITH MY MASCARA PROBLEMS TOO!! AS WELL AS MY REAL SUBJECTS ! DUHHH ๐๐๐ฒ๐ค๐โจ๐๐ฎ
Elisha
iOS user
This apps acc the goat. I find revision so boring but this app makes it so easy to organize it all and then you can ask the freeeee ai to test yourself so good and you can easily upload your own stuff. highly recommend as someone taking mocks now
Paul T
iOS user