Mathematics study materials and solutions are essential resources for students... Show more
Grade 7 Maths Solutions PDF - Free Downloads for Term 1 & 3











Advanced GCSE Mathematics: Grade 9 Revision Guide and Solutions
Mathematics students aiming for top grades need comprehensive understanding of advanced concepts. This detailed guide covers essential topics for GCSE EDEXCEL MATHS Aiming for Grade 9 Revision BOOKLET answers and provides thorough explanations with worked examples.
Definition: A revision guide specifically designed for students targeting Grade 9 in GCSE Mathematics, covering advanced topics across all key areas of the curriculum.
This comprehensive collection of Mathematics Paper 1 Aiming for 7 ANSWERS and beyond includes detailed solutions for complex mathematical concepts. The material progressively builds from Grade 7 to Grade 9 level, ensuring thorough preparation for higher-level questions.
The guide encompasses crucial areas including Number, Algebra, Shape/Space/Measure, Data Handling, and Ratio/Proportion. Each section contains carefully curated content that aligns with examination requirements and assessment objectives.

Essential Mathematical Topics for Advanced Study
The curriculum covers fundamental areas necessary for achieving excellence in GCSE Mathematics. For students using Aiming for Grade 9 Maths paper Edexcel, key topics include:
Vocabulary: Core mathematical concepts covered include:
- Surds and algebraic proofs
- Advanced graph transformations
- Circle equations and theorems
- Complex sequences and functions
- Vector operations
- Trigonometric applications
These topics form the foundation for advanced mathematical understanding and problem-solving capabilities required for top grades.

Mastering Surds: Comprehensive Guide
For students studying Simplifying surds study guide for grade 7 maths gcse, understanding surds is crucial.
Example: When simplifying surds:
- √22 can be written as √(11 × 2) = √11 × √2
- To rationalize denominators like 1/√3, multiply both numerator and denominator by √3
- For expressions like (5+√3)(5-√3), use the difference of squares method
The guide provides extensive practice with Surds questions and answers PDF materials, helping students master these complex numerical operations through systematic approach and repeated practice.

Advanced Problem-Solving Techniques
This section focuses on applying mathematical concepts to solve complex problems, particularly useful for students working with GCSE Grade 9 Maths questions PDF.
Highlight: Key problem-solving strategies include:
- Breaking down complex expressions
- Identifying patterns in sequences
- Applying algebraic methods systematically
- Using geometric reasoning
- Implementing proof techniques
The material provides comprehensive solutions and explanations for challenging problems, helping students develop advanced mathematical thinking required for achieving top grades in GCSE Mathematics.

Understanding Surds and Algebraic Expressions in Advanced Mathematics
When working with simplifying surds and algebraic expressions, it's essential to understand the fundamental concepts and techniques. Let's explore these mathematical concepts in detail with clear examples and thorough explanations.
Definition: Surds are irrational numbers that cannot be simplified to remove the square root (or other root). For example, √2 and √3 are surds because they cannot be simplified further.
In expanding expressions involving surds, we follow specific steps to ensure accuracy. For instance, when expanding (√3-√2)(√3-√2), we treat it like a standard algebraic expansion but carefully handle the surd terms. The process involves multiplying each term in the first bracket by each term in the second bracket.
When dealing with expressions like √45, we can simplify them by finding the largest perfect square factor. In this case, √45 can be written as √(9×5) = √9 × √5 = 3√5, where 3 is the coefficient and √5 is the simplified surd.
Example: To simplify √18 + 10√2, first simplify √18 as √(9×2) = 3√2, then combine like terms with 10√2 to get 3√2 + 10√2 = 13√2.

Mastering Algebraic Proofs and Integer Properties
Understanding algebraic proofs requires a strong foundation in number properties and systematic reasoning. This section covers essential concepts for Mathematics Paper 1 Aiming for 7 ANSWERS and beyond.
Highlight: Key points to remember for algebraic proofs:
- Even numbers can be expressed as 2n
- Odd numbers can be expressed as 2n + 1
- Consecutive integers differ by 1
- Multiples share common factors
When proving statements about consecutive integers or multiples, start by expressing the numbers algebraically. For example, three consecutive integers can be written as n, n+1, and n+2, where n represents the first number.
The proof that n³-n is a multiple of 6 involves factoring the expression and identifying common factors. This connects to the fundamental properties of integers and divisibility rules.

Advanced Algebraic Manipulation and Proof Techniques
Working with complex algebraic expressions requires careful attention to detail and systematic approach. This section aligns with Aiming for Grade 9 Maths paper Edexcel standards.
Vocabulary: Key terms in algebraic manipulation:
- Expansion: multiplying out brackets
- Factorization: expressing as a product of factors
- Perfect squares: numbers that are squares of integers
- Prime numbers: numbers with exactly two factors
When proving statements about squares of numbers or consecutive integers, start by expressing the general case algebraically. For example, to prove properties about ², expand the expression and identify patterns in the terms.
The relationship between consecutive integers and their squares reveals important mathematical patterns that form the basis for more advanced concepts.

Complex Factorization and Number Properties
Understanding factorization and number properties is crucial for advanced mathematical reasoning. This section covers techniques relevant to GCSE Grade 9 Maths questions PDF content.
Example: When factoring expressions like 2t² + 5t + 2:
- Look for common factors
- Use the quadratic formula or factoring by grouping
- Verify the factors
The relationship between algebraic expressions and number properties helps us understand why certain expressions cannot produce prime numbers. This connects to fundamental concepts about factors, multiples, and prime numbers.
When working with quadratic expressions, understanding the connection between factors and roots helps in both factorization and problem-solving applications.

Understanding Algebraic Expressions and Mathematical Proofs
When working with algebraic expressions, it's essential to understand how to manipulate and simplify them effectively. Let's explore some fundamental concepts in Aiming for Grade 7 Maths Paper problems involving factorization, expansion, and mathematical proofs.
Definition: Factorization is the process of breaking down an algebraic expression into the product of simpler expressions, while expansion involves multiplying terms to create a longer expression.
Starting with factorization, let's examine the expression 3t + 12. This can be factored by finding the greatest common factor (GCF) of all terms. Both terms share a common factor of 3, resulting in 3. This demonstrates how factoring simplifies expressions and reveals their underlying structure.
Moving to expansion and simplification, consider the expression 7 + 6. When we expand this using the distributive property, we get 14x + 7 + 6x + 18, which simplifies to 20x + 25. This can be further factored as 5, revealing an important property about multiples of 5.
Example: To prove that an expression is always a multiple of 5 when x is a whole number:
- Start with 7 + 6
- Expand to get 20x + 25
- Factor as 5
- Since 5 is a factor, the result must be a multiple of 5

Advanced Mathematical Proofs and Square Numbers
Mathematical proofs require careful attention to detail and systematic reasoning, especially when working with square numbers and algebraic expressions. This section explores a proof involving consecutive integers and their squares.
Highlight: When proving mathematical statements, it's crucial to show each step clearly and justify your reasoning throughout the process.
The proof that ² + n² + ² = 3n² + 2 demonstrates how to work with square numbers and algebraic manipulation. Let's break down each term:
- ² expands to n² - 2n + 1
- n² remains as is
- ² expands to n² + 2n + 1
When we combine these terms: + n² + = 3n² + 2
This type of problem, common in GCSE Grade 9 Maths questions and answers, helps develop algebraic thinking and proof-writing skills. Understanding these concepts is crucial for success in advanced mathematics and forms the foundation for more complex mathematical reasoning.
Vocabulary: Square numbers are the products of integers multiplied by themselves, while consecutive integers are whole numbers that follow each other in sequence.
We thought you’d never ask...
What is the Knowunity AI companion?
Our AI Companion is a student-focused AI tool that offers more than just answers. Built on millions of Knowunity resources, it provides relevant information, personalised study plans, quizzes, and content directly in the chat, adapting to your individual learning journey.
Where can I download the Knowunity app?
You can download the app from Google Play Store and Apple App Store.
Is Knowunity really free of charge?
That's right! Enjoy free access to study content, connect with fellow students, and get instant help – all at your fingertips.
Similar content
Most popular content: Proportional Reasoning
6Grade 9 Maths Solutions
Explore comprehensive solutions for Grade 9 Maths topics, including algebra, geometry, and statistics. This booklet covers essential concepts such as surds, transformations, probability, and more, providing step-by-step guidance to help you achieve top grades.
Year 9 Maths Concepts
Explore essential Year 9 mathematics concepts including algebra, geometry, probability, and number theory. This comprehensive guide covers key topics such as factors, multiples, prime numbers, linear equations, Pythagoras' theorem, and more. Perfect for students looking to strengthen their understanding and application of mathematical principles.
Math Exam Solutions
Explore detailed solutions for a higher-level math exam covering key concepts such as ratios, proportions, transformations, volume calculations, and direct proportionality. This resource includes model answers for various problems, including frequency tables and geometric transformations, making it ideal for exam preparation.
Solving Ratio Algebra
Explore various types of ratio algebra problems, including linear and quadratic equations. This study note features worked examples, practice questions, and detailed solutions to enhance your understanding of equivalent ratios and proportional relationships. Ideal for exam preparation and mastering key concepts in ratios and proportions.
GCSE Maths Higher Tier Practice
Enhance your exam readiness with this comprehensive practice paper for the Edexcel Level 1/Level 2 GCSE (9-1) Mathematics Higher Tier. This resource includes answered questions covering key concepts such as trigonometry, probability, statistics, and geometry. Ideal for students preparing for their GCSE exams, this paper helps reinforce understanding and application of mathematical principles.
Year 9 Foundation Assessment
Explore the Year 9 Foundation Assessment focusing on key mathematical concepts such as ratios, proportions, similar triangles, and scale factors. This assessment includes calculator-based questions and detailed solutions to enhance understanding. Ideal for students preparing for SATS Arithmetic and improving their skills in proportional relationships and decimal calculations.
Most popular content in Maths
9Comprehensive Maths Concepts
Explore essential mathematical concepts including powers, geometry, statistics, and probability. This resource features 65 pages of detailed explanations, diagrams, and examples to enhance your understanding of topics such as right triangles, volume calculations, and data representation. Ideal for students seeking to strengthen their numeracy skills and grasp complex mathematical principles.
GCSE Maths (Higher) // Revision Guide
The only GCSE maths (higher) revision guide you need to get a grade 9! Contains every topic, each with all potential question types and their solutions.
Comprehensive Maths Concepts
Explore essential mathematical concepts including polynomial theorems, logarithmic properties, trigonometric functions, and integration techniques. This resource covers everything from solving inequalities to understanding exponential functions, providing a solid foundation for A-level mathematics. Ideal for students aiming for top grades.
Medium Level alerbra
Master challenging maths concepts with this medium level flashcard set designed for grade 7/8 students. Strengthen your problem-solving skills and boost your confidence in maths!
Mastering Maths: Essential Concepts for Grade 10
Boost your math skills with this comprehensive flashcard set covering key concepts for grade 10. Perfect for exam preparation and building a strong foundation in mathematics.
Mastering Medium-Level Maths: Essential Flashcards for Grade 11 Students
Boost your Maths skills with this comprehensive set of flashcards designed specifically for Grade 11 students. Covering medium-level topics, these cards will help you ace your exams and build a solid foundation for advanced Maths.
Comprehensive Maths Concepts
Explore essential higher mathematics concepts including calculus, trigonometry, polynomials, and vector analysis. This summary covers key topics such as differentiation, integration, quadratic equations, and the properties of circles, providing a solid foundation for exam preparation. Ideal for students seeking a concise yet thorough review of advanced mathematical principles.
AS Level Statistics Overview
Explore key concepts in AS Level Statistics, including hypothesis testing, binomial distribution, linear regression, and sampling methods. This summary covers essential statistical measures, significance levels, and data analysis techniques, providing a comprehensive guide for Year 1 applied maths students.
GCSE Maths Foundation Checklist
Comprehensive revision checklist covering essential topics for the GCSE Maths Foundation tier, including statistics, geometry, algebra, probability, and trigonometry. Perfect for students aiming to pass their exams with confidence.
Most popular content
9Sociology of Education Overview
Explore comprehensive A-Level Sociology notes on the education system, covering key theories, policies, and sociological perspectives. This resource includes insights on marketisation, gender roles, cultural deprivation, and educational inequalities, providing a thorough understanding of how education shapes social stratification and individual achievement. Ideal for exam preparation and in-depth study.
Sociology of Families: Comprehensive Revision
Dive into an extensive overview of family dynamics, perspectives, and patterns in sociology. This resource covers key concepts such as family diversity, gender roles, marriage, and the impact of social policies on family structures. Perfect for A-Level Sociology students preparing for Paper 2.
An Inspector Calls: Character Insights
Explore in-depth analysis and key quotes for characters in J.B. Priestley's 'An Inspector Calls'. This resource covers Gerald Croft, Inspector Goole, Sheila Birling, Mrs. Birling, Eric Birling, and Eva Smith, focusing on themes of class, gender roles, and social responsibility. Ideal for students aiming for Grade 8 and above.
Criminology: Crime & Punishment Overview
Comprehensive mindmaps covering key concepts in the Crime and Punishment topic for WJEC Criminology Unit 4. This resource includes detailed insights into the Criminal Justice System, crime prevention strategies, sentencing models, and the roles of various agencies. Ideal for A-Level revision, ensuring you grasp essential theories and legislative processes to excel in your exams.
WJEC Unit 4 Criminology
Criminology unit 4 detailed revision note
Criminology Theories Overview
Explore key criminology theories and their implications on crime and deviance. This comprehensive summary covers biological, psychological, and sociological perspectives, including labelling theory, right realism, and the impact of social campaigns on policy development. Ideal for A-Level criminology students seeking to understand the complexities of criminal behaviour and the factors influencing crime prevention strategies.
Romeo and Juliet: Key themes
Key Romeo and Juliet themes and analysed quotes
Macbeth: Guilt and Ambition
Explore the complex themes of guilt and ambition in Shakespeare's 'Macbeth'. This analysis covers key characters, including Macbeth and Lady Macbeth, their moral dilemmas, and the tragic consequences of their ambition. Ideal for students studying character motivations, thematic elements, and the psychological impact of power. Includes insights on the natural order, manipulation, and the descent into madness.
AQA Biology: Key Concepts
Explore essential AQA Biology topics including Photosynthesis, Respiration, Homeostasis, Genetics, and Ecology. This comprehensive knowledge organizer covers key concepts such as energy transfer, hormonal control, and genetic variation, providing a solid foundation for your studies. Ideal for exam preparation and understanding biological processes.
Can't find what you're looking for? Explore other subjects.
Students love us — and so will you.
The app is very easy to use and well designed. I have found everything I was looking for so far and have been able to learn a lot from the presentations! I will definitely use the app for a class assignment! And of course it also helps a lot as an inspiration.
This app is really great. There are so many study notes and help [...]. My problem subject is French, for example, and the app has so many options for help. Thanks to this app, I have improved my French. I would recommend it to anyone.
Wow, I am really amazed. I just tried the app because I've seen it advertised many times and was absolutely stunned. This app is THE HELP you want for school and above all, it offers so many things, such as workouts and fact sheets, which have been VERY helpful to me personally.
Grade 7 Maths Solutions PDF - Free Downloads for Term 1 & 3
Mathematics study materials and solutions are essential resources for students aiming to excel in their academic journey.
For students working with Grade 7 maths booklet solutions pdf term 3and related materials, comprehensive answer guides provide step-by-step explanations for various... Show more

Sign up to see the content. It's free!
- Access to all documents
- Improve your grades
- Join milions of students
Advanced GCSE Mathematics: Grade 9 Revision Guide and Solutions
Mathematics students aiming for top grades need comprehensive understanding of advanced concepts. This detailed guide covers essential topics for GCSE EDEXCEL MATHS Aiming for Grade 9 Revision BOOKLET answers and provides thorough explanations with worked examples.
Definition: A revision guide specifically designed for students targeting Grade 9 in GCSE Mathematics, covering advanced topics across all key areas of the curriculum.
This comprehensive collection of Mathematics Paper 1 Aiming for 7 ANSWERS and beyond includes detailed solutions for complex mathematical concepts. The material progressively builds from Grade 7 to Grade 9 level, ensuring thorough preparation for higher-level questions.
The guide encompasses crucial areas including Number, Algebra, Shape/Space/Measure, Data Handling, and Ratio/Proportion. Each section contains carefully curated content that aligns with examination requirements and assessment objectives.

Sign up to see the content. It's free!
- Access to all documents
- Improve your grades
- Join milions of students
Essential Mathematical Topics for Advanced Study
The curriculum covers fundamental areas necessary for achieving excellence in GCSE Mathematics. For students using Aiming for Grade 9 Maths paper Edexcel, key topics include:
Vocabulary: Core mathematical concepts covered include:
- Surds and algebraic proofs
- Advanced graph transformations
- Circle equations and theorems
- Complex sequences and functions
- Vector operations
- Trigonometric applications
These topics form the foundation for advanced mathematical understanding and problem-solving capabilities required for top grades.

Sign up to see the content. It's free!
- Access to all documents
- Improve your grades
- Join milions of students
Mastering Surds: Comprehensive Guide
For students studying Simplifying surds study guide for grade 7 maths gcse, understanding surds is crucial.
Example: When simplifying surds:
- √22 can be written as √(11 × 2) = √11 × √2
- To rationalize denominators like 1/√3, multiply both numerator and denominator by √3
- For expressions like (5+√3)(5-√3), use the difference of squares method
The guide provides extensive practice with Surds questions and answers PDF materials, helping students master these complex numerical operations through systematic approach and repeated practice.

Sign up to see the content. It's free!
- Access to all documents
- Improve your grades
- Join milions of students
Advanced Problem-Solving Techniques
This section focuses on applying mathematical concepts to solve complex problems, particularly useful for students working with GCSE Grade 9 Maths questions PDF.
Highlight: Key problem-solving strategies include:
- Breaking down complex expressions
- Identifying patterns in sequences
- Applying algebraic methods systematically
- Using geometric reasoning
- Implementing proof techniques
The material provides comprehensive solutions and explanations for challenging problems, helping students develop advanced mathematical thinking required for achieving top grades in GCSE Mathematics.

Sign up to see the content. It's free!
- Access to all documents
- Improve your grades
- Join milions of students
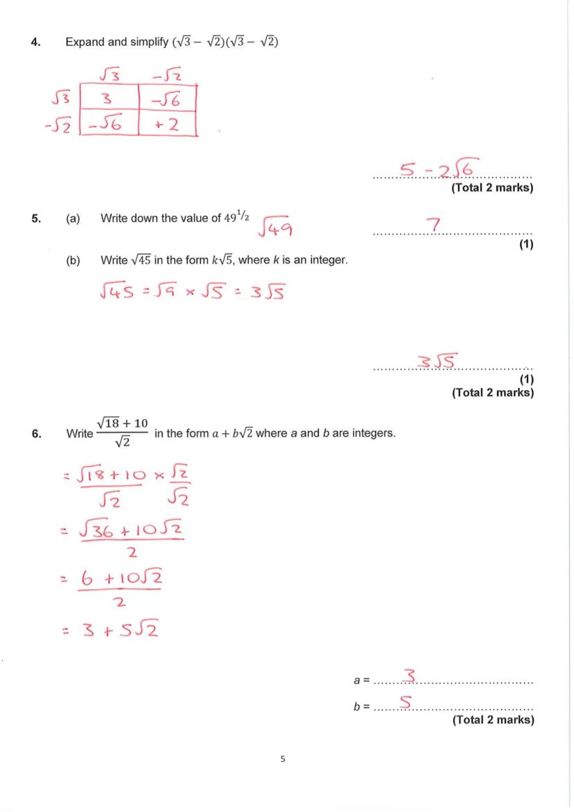
Understanding Surds and Algebraic Expressions in Advanced Mathematics
When working with simplifying surds and algebraic expressions, it's essential to understand the fundamental concepts and techniques. Let's explore these mathematical concepts in detail with clear examples and thorough explanations.
Definition: Surds are irrational numbers that cannot be simplified to remove the square root (or other root). For example, √2 and √3 are surds because they cannot be simplified further.
In expanding expressions involving surds, we follow specific steps to ensure accuracy. For instance, when expanding (√3-√2)(√3-√2), we treat it like a standard algebraic expansion but carefully handle the surd terms. The process involves multiplying each term in the first bracket by each term in the second bracket.
When dealing with expressions like √45, we can simplify them by finding the largest perfect square factor. In this case, √45 can be written as √(9×5) = √9 × √5 = 3√5, where 3 is the coefficient and √5 is the simplified surd.
Example: To simplify √18 + 10√2, first simplify √18 as √(9×2) = 3√2, then combine like terms with 10√2 to get 3√2 + 10√2 = 13√2.

Sign up to see the content. It's free!
- Access to all documents
- Improve your grades
- Join milions of students
Mastering Algebraic Proofs and Integer Properties
Understanding algebraic proofs requires a strong foundation in number properties and systematic reasoning. This section covers essential concepts for Mathematics Paper 1 Aiming for 7 ANSWERS and beyond.
Highlight: Key points to remember for algebraic proofs:
- Even numbers can be expressed as 2n
- Odd numbers can be expressed as 2n + 1
- Consecutive integers differ by 1
- Multiples share common factors
When proving statements about consecutive integers or multiples, start by expressing the numbers algebraically. For example, three consecutive integers can be written as n, n+1, and n+2, where n represents the first number.
The proof that n³-n is a multiple of 6 involves factoring the expression and identifying common factors. This connects to the fundamental properties of integers and divisibility rules.

Sign up to see the content. It's free!
- Access to all documents
- Improve your grades
- Join milions of students
Advanced Algebraic Manipulation and Proof Techniques
Working with complex algebraic expressions requires careful attention to detail and systematic approach. This section aligns with Aiming for Grade 9 Maths paper Edexcel standards.
Vocabulary: Key terms in algebraic manipulation:
- Expansion: multiplying out brackets
- Factorization: expressing as a product of factors
- Perfect squares: numbers that are squares of integers
- Prime numbers: numbers with exactly two factors
When proving statements about squares of numbers or consecutive integers, start by expressing the general case algebraically. For example, to prove properties about ², expand the expression and identify patterns in the terms.
The relationship between consecutive integers and their squares reveals important mathematical patterns that form the basis for more advanced concepts.

Sign up to see the content. It's free!
- Access to all documents
- Improve your grades
- Join milions of students
Complex Factorization and Number Properties
Understanding factorization and number properties is crucial for advanced mathematical reasoning. This section covers techniques relevant to GCSE Grade 9 Maths questions PDF content.
Example: When factoring expressions like 2t² + 5t + 2:
- Look for common factors
- Use the quadratic formula or factoring by grouping
- Verify the factors
The relationship between algebraic expressions and number properties helps us understand why certain expressions cannot produce prime numbers. This connects to fundamental concepts about factors, multiples, and prime numbers.
When working with quadratic expressions, understanding the connection between factors and roots helps in both factorization and problem-solving applications.

Sign up to see the content. It's free!
- Access to all documents
- Improve your grades
- Join milions of students
Understanding Algebraic Expressions and Mathematical Proofs
When working with algebraic expressions, it's essential to understand how to manipulate and simplify them effectively. Let's explore some fundamental concepts in Aiming for Grade 7 Maths Paper problems involving factorization, expansion, and mathematical proofs.
Definition: Factorization is the process of breaking down an algebraic expression into the product of simpler expressions, while expansion involves multiplying terms to create a longer expression.
Starting with factorization, let's examine the expression 3t + 12. This can be factored by finding the greatest common factor (GCF) of all terms. Both terms share a common factor of 3, resulting in 3. This demonstrates how factoring simplifies expressions and reveals their underlying structure.
Moving to expansion and simplification, consider the expression 7 + 6. When we expand this using the distributive property, we get 14x + 7 + 6x + 18, which simplifies to 20x + 25. This can be further factored as 5, revealing an important property about multiples of 5.
Example: To prove that an expression is always a multiple of 5 when x is a whole number:
- Start with 7 + 6
- Expand to get 20x + 25
- Factor as 5
- Since 5 is a factor, the result must be a multiple of 5

Sign up to see the content. It's free!
- Access to all documents
- Improve your grades
- Join milions of students
Advanced Mathematical Proofs and Square Numbers
Mathematical proofs require careful attention to detail and systematic reasoning, especially when working with square numbers and algebraic expressions. This section explores a proof involving consecutive integers and their squares.
Highlight: When proving mathematical statements, it's crucial to show each step clearly and justify your reasoning throughout the process.
The proof that ² + n² + ² = 3n² + 2 demonstrates how to work with square numbers and algebraic manipulation. Let's break down each term:
- ² expands to n² - 2n + 1
- n² remains as is
- ² expands to n² + 2n + 1
When we combine these terms: + n² + = 3n² + 2
This type of problem, common in GCSE Grade 9 Maths questions and answers, helps develop algebraic thinking and proof-writing skills. Understanding these concepts is crucial for success in advanced mathematics and forms the foundation for more complex mathematical reasoning.
Vocabulary: Square numbers are the products of integers multiplied by themselves, while consecutive integers are whole numbers that follow each other in sequence.
We thought you’d never ask...
What is the Knowunity AI companion?
Our AI Companion is a student-focused AI tool that offers more than just answers. Built on millions of Knowunity resources, it provides relevant information, personalised study plans, quizzes, and content directly in the chat, adapting to your individual learning journey.
Where can I download the Knowunity app?
You can download the app from Google Play Store and Apple App Store.
Is Knowunity really free of charge?
That's right! Enjoy free access to study content, connect with fellow students, and get instant help – all at your fingertips.
Similar content
Most popular content: Proportional Reasoning
6Grade 9 Maths Solutions
Explore comprehensive solutions for Grade 9 Maths topics, including algebra, geometry, and statistics. This booklet covers essential concepts such as surds, transformations, probability, and more, providing step-by-step guidance to help you achieve top grades.
Year 9 Maths Concepts
Explore essential Year 9 mathematics concepts including algebra, geometry, probability, and number theory. This comprehensive guide covers key topics such as factors, multiples, prime numbers, linear equations, Pythagoras' theorem, and more. Perfect for students looking to strengthen their understanding and application of mathematical principles.
Math Exam Solutions
Explore detailed solutions for a higher-level math exam covering key concepts such as ratios, proportions, transformations, volume calculations, and direct proportionality. This resource includes model answers for various problems, including frequency tables and geometric transformations, making it ideal for exam preparation.
Solving Ratio Algebra
Explore various types of ratio algebra problems, including linear and quadratic equations. This study note features worked examples, practice questions, and detailed solutions to enhance your understanding of equivalent ratios and proportional relationships. Ideal for exam preparation and mastering key concepts in ratios and proportions.
GCSE Maths Higher Tier Practice
Enhance your exam readiness with this comprehensive practice paper for the Edexcel Level 1/Level 2 GCSE (9-1) Mathematics Higher Tier. This resource includes answered questions covering key concepts such as trigonometry, probability, statistics, and geometry. Ideal for students preparing for their GCSE exams, this paper helps reinforce understanding and application of mathematical principles.
Year 9 Foundation Assessment
Explore the Year 9 Foundation Assessment focusing on key mathematical concepts such as ratios, proportions, similar triangles, and scale factors. This assessment includes calculator-based questions and detailed solutions to enhance understanding. Ideal for students preparing for SATS Arithmetic and improving their skills in proportional relationships and decimal calculations.
Most popular content in Maths
9Comprehensive Maths Concepts
Explore essential mathematical concepts including powers, geometry, statistics, and probability. This resource features 65 pages of detailed explanations, diagrams, and examples to enhance your understanding of topics such as right triangles, volume calculations, and data representation. Ideal for students seeking to strengthen their numeracy skills and grasp complex mathematical principles.
GCSE Maths (Higher) // Revision Guide
The only GCSE maths (higher) revision guide you need to get a grade 9! Contains every topic, each with all potential question types and their solutions.
Comprehensive Maths Concepts
Explore essential mathematical concepts including polynomial theorems, logarithmic properties, trigonometric functions, and integration techniques. This resource covers everything from solving inequalities to understanding exponential functions, providing a solid foundation for A-level mathematics. Ideal for students aiming for top grades.
Medium Level alerbra
Master challenging maths concepts with this medium level flashcard set designed for grade 7/8 students. Strengthen your problem-solving skills and boost your confidence in maths!
Mastering Maths: Essential Concepts for Grade 10
Boost your math skills with this comprehensive flashcard set covering key concepts for grade 10. Perfect for exam preparation and building a strong foundation in mathematics.
Mastering Medium-Level Maths: Essential Flashcards for Grade 11 Students
Boost your Maths skills with this comprehensive set of flashcards designed specifically for Grade 11 students. Covering medium-level topics, these cards will help you ace your exams and build a solid foundation for advanced Maths.
Comprehensive Maths Concepts
Explore essential higher mathematics concepts including calculus, trigonometry, polynomials, and vector analysis. This summary covers key topics such as differentiation, integration, quadratic equations, and the properties of circles, providing a solid foundation for exam preparation. Ideal for students seeking a concise yet thorough review of advanced mathematical principles.
AS Level Statistics Overview
Explore key concepts in AS Level Statistics, including hypothesis testing, binomial distribution, linear regression, and sampling methods. This summary covers essential statistical measures, significance levels, and data analysis techniques, providing a comprehensive guide for Year 1 applied maths students.
GCSE Maths Foundation Checklist
Comprehensive revision checklist covering essential topics for the GCSE Maths Foundation tier, including statistics, geometry, algebra, probability, and trigonometry. Perfect for students aiming to pass their exams with confidence.
Most popular content
9Sociology of Education Overview
Explore comprehensive A-Level Sociology notes on the education system, covering key theories, policies, and sociological perspectives. This resource includes insights on marketisation, gender roles, cultural deprivation, and educational inequalities, providing a thorough understanding of how education shapes social stratification and individual achievement. Ideal for exam preparation and in-depth study.
Sociology of Families: Comprehensive Revision
Dive into an extensive overview of family dynamics, perspectives, and patterns in sociology. This resource covers key concepts such as family diversity, gender roles, marriage, and the impact of social policies on family structures. Perfect for A-Level Sociology students preparing for Paper 2.
An Inspector Calls: Character Insights
Explore in-depth analysis and key quotes for characters in J.B. Priestley's 'An Inspector Calls'. This resource covers Gerald Croft, Inspector Goole, Sheila Birling, Mrs. Birling, Eric Birling, and Eva Smith, focusing on themes of class, gender roles, and social responsibility. Ideal for students aiming for Grade 8 and above.
Criminology: Crime & Punishment Overview
Comprehensive mindmaps covering key concepts in the Crime and Punishment topic for WJEC Criminology Unit 4. This resource includes detailed insights into the Criminal Justice System, crime prevention strategies, sentencing models, and the roles of various agencies. Ideal for A-Level revision, ensuring you grasp essential theories and legislative processes to excel in your exams.
WJEC Unit 4 Criminology
Criminology unit 4 detailed revision note
Criminology Theories Overview
Explore key criminology theories and their implications on crime and deviance. This comprehensive summary covers biological, psychological, and sociological perspectives, including labelling theory, right realism, and the impact of social campaigns on policy development. Ideal for A-Level criminology students seeking to understand the complexities of criminal behaviour and the factors influencing crime prevention strategies.
Romeo and Juliet: Key themes
Key Romeo and Juliet themes and analysed quotes
Macbeth: Guilt and Ambition
Explore the complex themes of guilt and ambition in Shakespeare's 'Macbeth'. This analysis covers key characters, including Macbeth and Lady Macbeth, their moral dilemmas, and the tragic consequences of their ambition. Ideal for students studying character motivations, thematic elements, and the psychological impact of power. Includes insights on the natural order, manipulation, and the descent into madness.
AQA Biology: Key Concepts
Explore essential AQA Biology topics including Photosynthesis, Respiration, Homeostasis, Genetics, and Ecology. This comprehensive knowledge organizer covers key concepts such as energy transfer, hormonal control, and genetic variation, providing a solid foundation for your studies. Ideal for exam preparation and understanding biological processes.
Can't find what you're looking for? Explore other subjects.
Students love us — and so will you.
The app is very easy to use and well designed. I have found everything I was looking for so far and have been able to learn a lot from the presentations! I will definitely use the app for a class assignment! And of course it also helps a lot as an inspiration.
This app is really great. There are so many study notes and help [...]. My problem subject is French, for example, and the app has so many options for help. Thanks to this app, I have improved my French. I would recommend it to anyone.
Wow, I am really amazed. I just tried the app because I've seen it advertised many times and was absolutely stunned. This app is THE HELP you want for school and above all, it offers so many things, such as workouts and fact sheets, which have been VERY helpful to me personally.