Integration is essentially the reverse of differentiation - it's like... Show more
Sign up to see the contentIt's free!
Access to all documents
Improve your grades
Join milions of students
By signing up you accept Terms of Service and Privacy Policy
Subjects
Classic Dramatic Literature
Modern Lyric Poetry
Influential English-Language Authors
Classic and Contemporary Novels
Literary Character Analysis
Romantic and Love Poetry
Reading Analysis and Interpretation
Evidence Analysis and Integration
Author's Stylistic Elements
Figurative Language and Rhetoric
Show all topics
Human Organ Systems
Cellular Organization and Development
Biomolecular Structure and Organization
Enzyme Structure and Regulation
Cellular Organization Types
Biological Homeostatic Processes
Cellular Membrane Structure
Autotrophic Energy Processes
Environmental Sustainability and Impact
Neural Communication Systems
Show all topics
Social Sciences Research & Practice
Social Structure and Mobility
Classic Social Influence Experiments
Social Systems Theories
Family and Relationship Dynamics
Memory Systems and Processes
Neural Bases of Behavior
Social Influence and Attraction
Psychotherapeutic Approaches
Human Agency and Responsibility
Show all topics
Chemical Sciences and Applications
Chemical Bond Types and Properties
Organic Functional Groups
Atomic Structure and Composition
Chromatographic Separation Principles
Chemical Compound Classifications
Electrochemical Cell Systems
Periodic Table Organization
Chemical Reaction Kinetics
Chemical Equation Conservation
Show all topics
Nazi Germany and Holocaust 1933-1945
World Wars and Peace Treaties
European Monarchs and Statesmen
Cold War Global Tensions
Medieval Institutions and Systems
European Renaissance and Enlightenment
Modern Global Environmental-Health Challenges
Modern Military Conflicts
Medieval Migration and Invasions
World Wars Era and Impact
Show all topics
55
•
Updated 27 Feb 2026
•
eva
@eva_lbjt3
Integration is essentially the reverse of differentiation - it's like... Show more











Integration reverses differentiation, so if you know how to differentiate, you're already halfway there! The fundamental rule is: ∫x^n dx = x^/ + C, where C is the constant of integration.
This constant appears because when we differentiate, any constant disappears - so integration must account for all possible constants. Think of it as covering all bases.
Let's see this in action: ∫x² dx becomes x³/3 + C. You can check this works by differentiating x³/3 back to x². For expressions with coefficients like ∫4x³ dx, you get 4x⁴/4 + C, which simplifies to x⁴ + C.
Quick Check: Always verify your integration by differentiating your answer - you should get back to the original expression!

When integrating expressions with multiple terms, integrate each part separately and add them together. For ∫ dx, you get 2x³/3 + 2x² + C.
Integrating constants requires a neat trick - remember that any number like 4 is actually 4x⁰. So ∫4 dx becomes 4x + C. This makes perfect sense when you think about it!
Expanding brackets before integration makes life much easier. For ∫x² dx, expand to get ∫ dx, then integrate to x⁴/4 + x³ + C.
The key is breaking down complex expressions into simpler parts that follow the basic rule. Once you've expanded or simplified, integration becomes straightforward.

Fractional powers follow exactly the same integration rule as whole numbers. Remember that x^ = ⁿ√, but you'll usually work with the fractional form.
For ∫x^(1/3) dx, add 1 to get x^(4/3), then divide by the new power: x^(4/3) ÷ (4/3) = (3/4)x^(4/3) + C. The arithmetic with fractions needs care, but the method stays the same.
More complex expressions like ∫ dx just require you to handle each term separately. Take your time with the fraction arithmetic - that's usually where mistakes creep in.
Top Tip: Converting between fractional and radical forms can help you visualise what you're working with, but stick to fractions for calculations!

Sometimes expressions aren't ready for integration straight away - you need to rewrite them using index rules first. This is especially important when dealing with denominators or square roots.
The key index rules are: x^ = 1/x^a, √ = x^, and the usual multiplication/division rules for powers. These let you convert awkward expressions into standard form.
For ∫ dx, rewrite as ∫x^(-3) dx, then integrate to get x^(-2)/(-2) + C = -1/(2x²) + C. The negative power becomes positive in the denominator.
Getting comfortable with these conversions is crucial - they turn impossible-looking integrals into routine applications of the basic rule.

Expanding brackets before integration saves you from headaches later. For ∫x² dx, expand to ∫ dx, giving you x⁴/4 + x³/3 + C.
With expressions like ∫√x dx, first rewrite √x as x^(1/2), then expand to get ∫ dx. Each term integrates separately using the standard rule.
Division by roots requires careful handling. For ∫/√x dx, rewrite as ∫ dx after converting √x to x^(1/2) and simplifying each fraction.
The pattern is always the same: convert to standard form, then integrate term by term. Don't rush the algebra - accurate preparation makes integration straightforward.

When dealing with square roots in denominators, convert everything to fractional powers first. This transforms messy-looking expressions into manageable ones that follow the basic integration rule.
For ∫√x dx, you get ∫ dx after expanding. This integrates to (2/5)x^(5/2) + (6/7)x^(7/2) + C - just watch your fraction arithmetic carefully.
Quotient expressions like ∫/√x dx become much clearer when you separate the fraction: ∫2x^(3/2) dx - ∫5x^(1/2) dx. Each part integrates using the standard rule.
Success Strategy: Break complex expressions into simple pieces, convert to standard form, then integrate each piece separately!

Definite integrals have upper and lower bounds, giving you a specific numerical answer rather than a general function. The notation ∫[from a to b] f(x) dx means you're finding the exact area or accumulated change.
The process involves finding the antiderivative F(x), then calculating F(b) - F(a). Notice there's no constant of integration needed - it cancels out when you subtract.
For ∫[from 1 to 2] x² dx, first find the antiderivative: x³/3. Then evaluate from 1 to 2, giving you 8/3 - 1/3 = 7/3.
This technique gives you precise numerical results, which is incredibly useful for finding areas, distances, and other real-world quantities.

Complex definite integrals follow the same pattern: integrate first, then substitute the bounds. For ∫ dx, you get evaluated from -2 to 3.
Substitute the upper bound: 27/3 + 9/2 + 3 = 9 + 4.5 + 3 = 16.5. Then subtract the lower bound result: (-8/3) + 4 - 2 = -8/3 + 2 = -2/3. So the final answer is 16.5 - (-2/3) = 16.5 + 2/3.
Integral equations can appear where you're given the definite integral's value and need to find an unknown bound. Set up the equation using the integration process, then solve algebraically.
The arithmetic can get messy, but the method stays consistent - integrate, substitute, subtract, and solve if needed.

When you're given that a definite integral equals a specific value, you can find unknown limits by setting up an equation. For ∫[from a to 6] dx = 56, integrate first to get .
Substitute the bounds: (36 + 18) - = 56. This simplifies to 54 - a² - 3a = 56, which rearranges to a² + 3a + 2 = 0.
Factoring the quadratic gives you = 0, so a = -2 or a = -1. Both solutions are mathematically valid, but check which makes sense in the original context.
Problem-Solving Tip: Always check your solutions by substituting back into the original integral equation!
These problems combine integration skills with algebraic manipulation, making them excellent test questions that show your complete understanding.

Integration's most visual application is calculating areas under curves. The definite integral ∫[from a to b] f(x) dx gives you the exact area between the curve y = f(x), the x-axis, and the vertical lines x = a and x = b.
For the area enclosed by y = 4 - x² and the x-axis, first find where the curve meets the x-axis by solving 4 - x² = 0. This gives x = ±2, so you integrate from -2 to 2.
The area calculation becomes ∫ dx = from -2 to 2. Evaluating gives you (8 - 8/3) - (-8 + 8/3) = 16 - 16/3 = 32/3 square units.
This technique works for any continuous curve, making integration incredibly powerful for solving real problems involving areas, volumes, and accumulation.
Our AI Companion is a student-focused AI tool that offers more than just answers. Built on millions of Knowunity resources, it provides relevant information, personalised study plans, quizzes, and content directly in the chat, adapting to your individual learning journey.
You can download the app from Google Play Store and Apple App Store.
That's right! Enjoy free access to study content, connect with fellow students, and get instant help – all at your fingertips.
App Store
Google Play
The app is very easy to use and well designed. I have found everything I was looking for so far and have been able to learn a lot from the presentations! I will definitely use the app for a class assignment! And of course it also helps a lot as an inspiration.
Stefan S
iOS user
This app is really great. There are so many study notes and help [...]. My problem subject is French, for example, and the app has so many options for help. Thanks to this app, I have improved my French. I would recommend it to anyone.
Samantha Klich
Android user
Wow, I am really amazed. I just tried the app because I've seen it advertised many times and was absolutely stunned. This app is THE HELP you want for school and above all, it offers so many things, such as workouts and fact sheets, which have been VERY helpful to me personally.
Anna
iOS user
Best app on earth! no words because it’s too good
Thomas R
iOS user
Just amazing. Let's me revise 10x better, this app is a quick 10/10. I highly recommend it to anyone. I can watch and search for notes. I can save them in the subject folder. I can revise it any time when I come back. If you haven't tried this app, you're really missing out.
Basil
Android user
This app has made me feel so much more confident in my exam prep, not only through boosting my own self confidence through the features that allow you to connect with others and feel less alone, but also through the way the app itself is centred around making you feel better. It is easy to navigate, fun to use, and helpful to anyone struggling in absolutely any way.
David K
iOS user
The app's just great! All I have to do is enter the topic in the search bar and I get the response real fast. I don't have to watch 10 YouTube videos to understand something, so I'm saving my time. Highly recommended!
Sudenaz Ocak
Android user
In school I was really bad at maths but thanks to the app, I am doing better now. I am so grateful that you made the app.
Greenlight Bonnie
Android user
very reliable app to help and grow your ideas of Maths, English and other related topics in your works. please use this app if your struggling in areas, this app is key for that. wish I'd of done a review before. and it's also free so don't worry about that.
Rohan U
Android user
I know a lot of apps use fake accounts to boost their reviews but this app deserves it all. Originally I was getting 4 in my English exams and this time I got a grade 7. I didn’t even know about this app three days until the exam and it has helped A LOT. Please actually trust me and use it as I’m sure you too will see developments.
Xander S
iOS user
THE QUIZES AND FLASHCARDS ARE SO USEFUL AND I LOVE Knowunity AI. IT ALSO IS LITREALLY LIKE CHATGPT BUT SMARTER!! HELPED ME WITH MY MASCARA PROBLEMS TOO!! AS WELL AS MY REAL SUBJECTS ! DUHHH 😍😁😲🤑💗✨🎀😮
Elisha
iOS user
This apps acc the goat. I find revision so boring but this app makes it so easy to organize it all and then you can ask the freeeee ai to test yourself so good and you can easily upload your own stuff. highly recommend as someone taking mocks now
Paul T
iOS user
The app is very easy to use and well designed. I have found everything I was looking for so far and have been able to learn a lot from the presentations! I will definitely use the app for a class assignment! And of course it also helps a lot as an inspiration.
Stefan S
iOS user
This app is really great. There are so many study notes and help [...]. My problem subject is French, for example, and the app has so many options for help. Thanks to this app, I have improved my French. I would recommend it to anyone.
Samantha Klich
Android user
Wow, I am really amazed. I just tried the app because I've seen it advertised many times and was absolutely stunned. This app is THE HELP you want for school and above all, it offers so many things, such as workouts and fact sheets, which have been VERY helpful to me personally.
Anna
iOS user
Best app on earth! no words because it’s too good
Thomas R
iOS user
Just amazing. Let's me revise 10x better, this app is a quick 10/10. I highly recommend it to anyone. I can watch and search for notes. I can save them in the subject folder. I can revise it any time when I come back. If you haven't tried this app, you're really missing out.
Basil
Android user
This app has made me feel so much more confident in my exam prep, not only through boosting my own self confidence through the features that allow you to connect with others and feel less alone, but also through the way the app itself is centred around making you feel better. It is easy to navigate, fun to use, and helpful to anyone struggling in absolutely any way.
David K
iOS user
The app's just great! All I have to do is enter the topic in the search bar and I get the response real fast. I don't have to watch 10 YouTube videos to understand something, so I'm saving my time. Highly recommended!
Sudenaz Ocak
Android user
In school I was really bad at maths but thanks to the app, I am doing better now. I am so grateful that you made the app.
Greenlight Bonnie
Android user
very reliable app to help and grow your ideas of Maths, English and other related topics in your works. please use this app if your struggling in areas, this app is key for that. wish I'd of done a review before. and it's also free so don't worry about that.
Rohan U
Android user
I know a lot of apps use fake accounts to boost their reviews but this app deserves it all. Originally I was getting 4 in my English exams and this time I got a grade 7. I didn’t even know about this app three days until the exam and it has helped A LOT. Please actually trust me and use it as I’m sure you too will see developments.
Xander S
iOS user
THE QUIZES AND FLASHCARDS ARE SO USEFUL AND I LOVE Knowunity AI. IT ALSO IS LITREALLY LIKE CHATGPT BUT SMARTER!! HELPED ME WITH MY MASCARA PROBLEMS TOO!! AS WELL AS MY REAL SUBJECTS ! DUHHH 😍😁😲🤑💗✨🎀😮
Elisha
iOS user
This apps acc the goat. I find revision so boring but this app makes it so easy to organize it all and then you can ask the freeeee ai to test yourself so good and you can easily upload your own stuff. highly recommend as someone taking mocks now
Paul T
iOS user
eva
@eva_lbjt3
Integration is essentially the reverse of differentiation - it's like solving a puzzle to find the original function. Once you master the basic rules and techniques, you'll be able to tackle everything from simple polynomials to complex expressions involving brackets... Show more

Access to all documents
Improve your grades
Join milions of students
By signing up you accept Terms of Service and Privacy Policy
Integration reverses differentiation, so if you know how to differentiate, you're already halfway there! The fundamental rule is: ∫x^n dx = x^/ + C, where C is the constant of integration.
This constant appears because when we differentiate, any constant disappears - so integration must account for all possible constants. Think of it as covering all bases.
Let's see this in action: ∫x² dx becomes x³/3 + C. You can check this works by differentiating x³/3 back to x². For expressions with coefficients like ∫4x³ dx, you get 4x⁴/4 + C, which simplifies to x⁴ + C.
Quick Check: Always verify your integration by differentiating your answer - you should get back to the original expression!

Access to all documents
Improve your grades
Join milions of students
By signing up you accept Terms of Service and Privacy Policy
When integrating expressions with multiple terms, integrate each part separately and add them together. For ∫ dx, you get 2x³/3 + 2x² + C.
Integrating constants requires a neat trick - remember that any number like 4 is actually 4x⁰. So ∫4 dx becomes 4x + C. This makes perfect sense when you think about it!
Expanding brackets before integration makes life much easier. For ∫x² dx, expand to get ∫ dx, then integrate to x⁴/4 + x³ + C.
The key is breaking down complex expressions into simpler parts that follow the basic rule. Once you've expanded or simplified, integration becomes straightforward.

Access to all documents
Improve your grades
Join milions of students
By signing up you accept Terms of Service and Privacy Policy
Fractional powers follow exactly the same integration rule as whole numbers. Remember that x^ = ⁿ√, but you'll usually work with the fractional form.
For ∫x^(1/3) dx, add 1 to get x^(4/3), then divide by the new power: x^(4/3) ÷ (4/3) = (3/4)x^(4/3) + C. The arithmetic with fractions needs care, but the method stays the same.
More complex expressions like ∫ dx just require you to handle each term separately. Take your time with the fraction arithmetic - that's usually where mistakes creep in.
Top Tip: Converting between fractional and radical forms can help you visualise what you're working with, but stick to fractions for calculations!

Access to all documents
Improve your grades
Join milions of students
By signing up you accept Terms of Service and Privacy Policy
Sometimes expressions aren't ready for integration straight away - you need to rewrite them using index rules first. This is especially important when dealing with denominators or square roots.
The key index rules are: x^ = 1/x^a, √ = x^, and the usual multiplication/division rules for powers. These let you convert awkward expressions into standard form.
For ∫ dx, rewrite as ∫x^(-3) dx, then integrate to get x^(-2)/(-2) + C = -1/(2x²) + C. The negative power becomes positive in the denominator.
Getting comfortable with these conversions is crucial - they turn impossible-looking integrals into routine applications of the basic rule.

Access to all documents
Improve your grades
Join milions of students
By signing up you accept Terms of Service and Privacy Policy
Expanding brackets before integration saves you from headaches later. For ∫x² dx, expand to ∫ dx, giving you x⁴/4 + x³/3 + C.
With expressions like ∫√x dx, first rewrite √x as x^(1/2), then expand to get ∫ dx. Each term integrates separately using the standard rule.
Division by roots requires careful handling. For ∫/√x dx, rewrite as ∫ dx after converting √x to x^(1/2) and simplifying each fraction.
The pattern is always the same: convert to standard form, then integrate term by term. Don't rush the algebra - accurate preparation makes integration straightforward.

Access to all documents
Improve your grades
Join milions of students
By signing up you accept Terms of Service and Privacy Policy
When dealing with square roots in denominators, convert everything to fractional powers first. This transforms messy-looking expressions into manageable ones that follow the basic integration rule.
For ∫√x dx, you get ∫ dx after expanding. This integrates to (2/5)x^(5/2) + (6/7)x^(7/2) + C - just watch your fraction arithmetic carefully.
Quotient expressions like ∫/√x dx become much clearer when you separate the fraction: ∫2x^(3/2) dx - ∫5x^(1/2) dx. Each part integrates using the standard rule.
Success Strategy: Break complex expressions into simple pieces, convert to standard form, then integrate each piece separately!

Access to all documents
Improve your grades
Join milions of students
By signing up you accept Terms of Service and Privacy Policy
Definite integrals have upper and lower bounds, giving you a specific numerical answer rather than a general function. The notation ∫[from a to b] f(x) dx means you're finding the exact area or accumulated change.
The process involves finding the antiderivative F(x), then calculating F(b) - F(a). Notice there's no constant of integration needed - it cancels out when you subtract.
For ∫[from 1 to 2] x² dx, first find the antiderivative: x³/3. Then evaluate from 1 to 2, giving you 8/3 - 1/3 = 7/3.
This technique gives you precise numerical results, which is incredibly useful for finding areas, distances, and other real-world quantities.

Access to all documents
Improve your grades
Join milions of students
By signing up you accept Terms of Service and Privacy Policy
Complex definite integrals follow the same pattern: integrate first, then substitute the bounds. For ∫ dx, you get evaluated from -2 to 3.
Substitute the upper bound: 27/3 + 9/2 + 3 = 9 + 4.5 + 3 = 16.5. Then subtract the lower bound result: (-8/3) + 4 - 2 = -8/3 + 2 = -2/3. So the final answer is 16.5 - (-2/3) = 16.5 + 2/3.
Integral equations can appear where you're given the definite integral's value and need to find an unknown bound. Set up the equation using the integration process, then solve algebraically.
The arithmetic can get messy, but the method stays consistent - integrate, substitute, subtract, and solve if needed.

Access to all documents
Improve your grades
Join milions of students
By signing up you accept Terms of Service and Privacy Policy
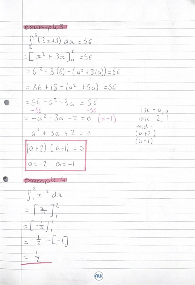
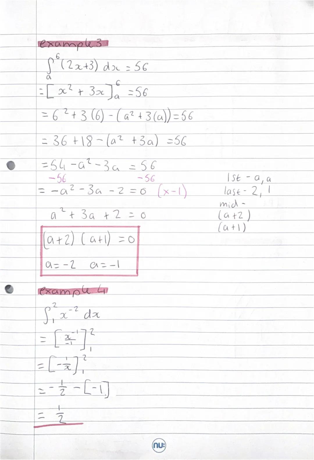
When you're given that a definite integral equals a specific value, you can find unknown limits by setting up an equation. For ∫[from a to 6] dx = 56, integrate first to get .
Substitute the bounds: (36 + 18) - = 56. This simplifies to 54 - a² - 3a = 56, which rearranges to a² + 3a + 2 = 0.
Factoring the quadratic gives you = 0, so a = -2 or a = -1. Both solutions are mathematically valid, but check which makes sense in the original context.
Problem-Solving Tip: Always check your solutions by substituting back into the original integral equation!
These problems combine integration skills with algebraic manipulation, making them excellent test questions that show your complete understanding.

Access to all documents
Improve your grades
Join milions of students
By signing up you accept Terms of Service and Privacy Policy
Integration's most visual application is calculating areas under curves. The definite integral ∫[from a to b] f(x) dx gives you the exact area between the curve y = f(x), the x-axis, and the vertical lines x = a and x = b.
For the area enclosed by y = 4 - x² and the x-axis, first find where the curve meets the x-axis by solving 4 - x² = 0. This gives x = ±2, so you integrate from -2 to 2.
The area calculation becomes ∫ dx = from -2 to 2. Evaluating gives you (8 - 8/3) - (-8 + 8/3) = 16 - 16/3 = 32/3 square units.
This technique works for any continuous curve, making integration incredibly powerful for solving real problems involving areas, volumes, and accumulation.
Our AI Companion is a student-focused AI tool that offers more than just answers. Built on millions of Knowunity resources, it provides relevant information, personalised study plans, quizzes, and content directly in the chat, adapting to your individual learning journey.
You can download the app from Google Play Store and Apple App Store.
That's right! Enjoy free access to study content, connect with fellow students, and get instant help – all at your fingertips.
1
Smart Tools NEW
Transform this note into: ✓ 50+ Practice Questions ✓ Interactive Flashcards ✓ Full Mock Exam ✓ Essay Outlines
App Store
Google Play
The app is very easy to use and well designed. I have found everything I was looking for so far and have been able to learn a lot from the presentations! I will definitely use the app for a class assignment! And of course it also helps a lot as an inspiration.
Stefan S
iOS user
This app is really great. There are so many study notes and help [...]. My problem subject is French, for example, and the app has so many options for help. Thanks to this app, I have improved my French. I would recommend it to anyone.
Samantha Klich
Android user
Wow, I am really amazed. I just tried the app because I've seen it advertised many times and was absolutely stunned. This app is THE HELP you want for school and above all, it offers so many things, such as workouts and fact sheets, which have been VERY helpful to me personally.
Anna
iOS user
Best app on earth! no words because it’s too good
Thomas R
iOS user
Just amazing. Let's me revise 10x better, this app is a quick 10/10. I highly recommend it to anyone. I can watch and search for notes. I can save them in the subject folder. I can revise it any time when I come back. If you haven't tried this app, you're really missing out.
Basil
Android user
This app has made me feel so much more confident in my exam prep, not only through boosting my own self confidence through the features that allow you to connect with others and feel less alone, but also through the way the app itself is centred around making you feel better. It is easy to navigate, fun to use, and helpful to anyone struggling in absolutely any way.
David K
iOS user
The app's just great! All I have to do is enter the topic in the search bar and I get the response real fast. I don't have to watch 10 YouTube videos to understand something, so I'm saving my time. Highly recommended!
Sudenaz Ocak
Android user
In school I was really bad at maths but thanks to the app, I am doing better now. I am so grateful that you made the app.
Greenlight Bonnie
Android user
very reliable app to help and grow your ideas of Maths, English and other related topics in your works. please use this app if your struggling in areas, this app is key for that. wish I'd of done a review before. and it's also free so don't worry about that.
Rohan U
Android user
I know a lot of apps use fake accounts to boost their reviews but this app deserves it all. Originally I was getting 4 in my English exams and this time I got a grade 7. I didn’t even know about this app three days until the exam and it has helped A LOT. Please actually trust me and use it as I’m sure you too will see developments.
Xander S
iOS user
THE QUIZES AND FLASHCARDS ARE SO USEFUL AND I LOVE Knowunity AI. IT ALSO IS LITREALLY LIKE CHATGPT BUT SMARTER!! HELPED ME WITH MY MASCARA PROBLEMS TOO!! AS WELL AS MY REAL SUBJECTS ! DUHHH 😍😁😲🤑💗✨🎀😮
Elisha
iOS user
This apps acc the goat. I find revision so boring but this app makes it so easy to organize it all and then you can ask the freeeee ai to test yourself so good and you can easily upload your own stuff. highly recommend as someone taking mocks now
Paul T
iOS user
The app is very easy to use and well designed. I have found everything I was looking for so far and have been able to learn a lot from the presentations! I will definitely use the app for a class assignment! And of course it also helps a lot as an inspiration.
Stefan S
iOS user
This app is really great. There are so many study notes and help [...]. My problem subject is French, for example, and the app has so many options for help. Thanks to this app, I have improved my French. I would recommend it to anyone.
Samantha Klich
Android user
Wow, I am really amazed. I just tried the app because I've seen it advertised many times and was absolutely stunned. This app is THE HELP you want for school and above all, it offers so many things, such as workouts and fact sheets, which have been VERY helpful to me personally.
Anna
iOS user
Best app on earth! no words because it’s too good
Thomas R
iOS user
Just amazing. Let's me revise 10x better, this app is a quick 10/10. I highly recommend it to anyone. I can watch and search for notes. I can save them in the subject folder. I can revise it any time when I come back. If you haven't tried this app, you're really missing out.
Basil
Android user
This app has made me feel so much more confident in my exam prep, not only through boosting my own self confidence through the features that allow you to connect with others and feel less alone, but also through the way the app itself is centred around making you feel better. It is easy to navigate, fun to use, and helpful to anyone struggling in absolutely any way.
David K
iOS user
The app's just great! All I have to do is enter the topic in the search bar and I get the response real fast. I don't have to watch 10 YouTube videos to understand something, so I'm saving my time. Highly recommended!
Sudenaz Ocak
Android user
In school I was really bad at maths but thanks to the app, I am doing better now. I am so grateful that you made the app.
Greenlight Bonnie
Android user
very reliable app to help and grow your ideas of Maths, English and other related topics in your works. please use this app if your struggling in areas, this app is key for that. wish I'd of done a review before. and it's also free so don't worry about that.
Rohan U
Android user
I know a lot of apps use fake accounts to boost their reviews but this app deserves it all. Originally I was getting 4 in my English exams and this time I got a grade 7. I didn’t even know about this app three days until the exam and it has helped A LOT. Please actually trust me and use it as I’m sure you too will see developments.
Xander S
iOS user
THE QUIZES AND FLASHCARDS ARE SO USEFUL AND I LOVE Knowunity AI. IT ALSO IS LITREALLY LIKE CHATGPT BUT SMARTER!! HELPED ME WITH MY MASCARA PROBLEMS TOO!! AS WELL AS MY REAL SUBJECTS ! DUHHH 😍😁😲🤑💗✨🎀😮
Elisha
iOS user
This apps acc the goat. I find revision so boring but this app makes it so easy to organize it all and then you can ask the freeeee ai to test yourself so good and you can easily upload your own stuff. highly recommend as someone taking mocks now
Paul T
iOS user