Differentiation is your toolkit for finding gradients and understanding how... Show more
Sign up to see the contentIt's free!
Access to all documents
Improve your grades
Join milions of students
Knowunity AI
Subjects
Triangle Congruence and Similarity Theorems
Triangle Properties and Classification
Linear Equations and Graphs
Geometric Angle Relationships
Trigonometric Functions and Identities
Equation Solving Techniques
Circle Geometry Fundamentals
Division Operations and Methods
Basic Differentiation Rules
Exponent and Logarithm Properties
Show all topics
Human Organ Systems
Reproductive Cell Cycles
Biological Sciences Subdisciplines
Cellular Energy Metabolism
Autotrophic Energy Processes
Inheritance Patterns and Principles
Biomolecular Structure and Organization
Cell Cycle and Division Mechanics
Cellular Organization and Development
Biological Structural Organization
Show all topics
Chemical Sciences and Applications
Atomic Structure and Composition
Molecular Electron Structure Representation
Atomic Electron Behavior
Matter Properties and Water
Mole Concept and Calculations
Gas Laws and Behavior
Periodic Table Organization
Chemical Thermodynamics Fundamentals
Chemical Bond Types and Properties
Show all topics
European Renaissance and Enlightenment
European Cultural Movements 800-1920
American Revolution Era 1763-1797
American Civil War 1861-1865
Global Imperial Systems
Mongol and Chinese Dynasties
U.S. Presidents and World Leaders
Historical Sources and Documentation
World Wars Era and Impact
World Religious Systems
Show all topics
Classic and Contemporary Novels
Literary Character Analysis
Rhetorical Theory and Practice
Classic Literary Narratives
Reading Analysis and Interpretation
Narrative Structure and Techniques
English Language Components
Influential English-Language Authors
Basic Sentence Structure
Narrative Voice and Perspective
Show all topics
317
•
Updated Apr 14, 2026
•
Imogen Pearce
@imogenpearce
Differentiation is your toolkit for finding gradients and understanding how... Show more








The power rule is your best friend: for y = ax^n, the derivative is dy/dx = nax^. Simply multiply by the power, then reduce the power by one.
Differentiation from first principles uses the formula f'(x) = lim(h→0) /h. This shows you what's actually happening when you find a gradient. For f(x) = 3x², you substitute into the formula, expand f, simplify by factoring out h, then let h approach zero.
The result? f'(x) = 6x, which matches what you'd get using the power rule. This method proves why the shortcuts work, though you'll mainly use it for exam questions asking you to "show from first principles."
Quick Check: Always verify your differentiation using the power rule - it's much faster than first principles!

Functions increase when their gradient is positive (f'(x) > 0) and decrease when it's negative (f'(x) < 0). To find these intervals, set f'(x) = 0 and solve for the boundary points.
For f(x) = x³ + 2x² - x + 2, you get f'(x) = 3x² + 2x - 1. Setting this equal to zero gives you x = 1/3 and x = -1. These are your critical points where the function changes behaviour.
Stationary points occur where f'(x) = 0 - these are your turning points and points of inflection. To determine their nature, use the second derivative test: f''(x) > 0 means minimum, f''(x) < 0 means maximum, and f''(x) = 0 suggests a point of inflection.
This method helps you sketch graphs and understand real-world problems like finding maximum profit or minimum cost.

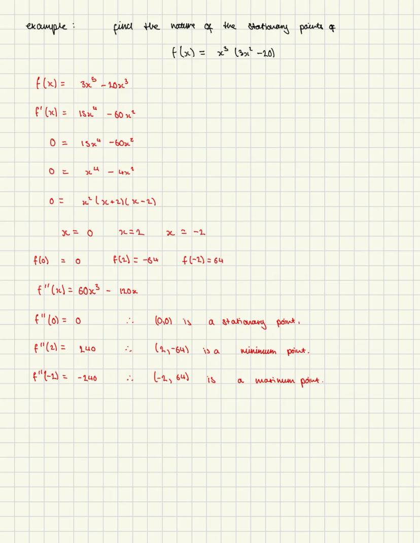
Let's work through f(x) = x², which expands to f(x) = 3x⁵ - 20x³. The first derivative gives f'(x) = 15x⁴ - 60x², and setting this to zero reveals stationary points at x = 0, x = 2, and x = -2.
The second derivative f''(x) = 60x³ - 120x helps classify each point. At x = 2, f''(2) = 240 > 0, making (2, -64) a minimum point. At x = -2, f''(-2) = -240 < 0, making (-2, 64) a maximum point.
When f''(0) = 0, you've got a stationary point that needs further investigation - it could be a point of inflection. You'd need to check the sign of f'(x) on either side of x = 0 to determine its exact nature.
Remember to always find the y-coordinates by substituting back into the original function, not the derivative!
Pro Tip: Draw a sign diagram for f'(x) to visualise where your function increases and decreases between stationary points.

Trigonometric differentiation follows clear patterns: d/dx(sin x) = cos x, and d/dx(cos x) = -sin x. When you have d/dx(sin Rx) = R cos Rx, the coefficient R comes to the front - don't forget it!
Exponential functions have their own rules: d/dx(eˣ) = eˣ (it differentiates to itself), while d/dx(aˣ) = aˣ ln a. For logarithms, d/dx(ln x) = 1/x is essential to remember.
For composite functions like e^, use d/dx = Re^(Rx). So e^ becomes -3e^. Similarly, 3^ uses the rule d/dx = R(ln a)a^(Rx).
When finding gradients at specific points, substitute your x-value into the derivative. These rules are fundamental for many A-level applications, from population growth to wave motion.
Memory Aid: "eˣ is special - it stays the same when differentiated!"

The chain rule tackles composite functions using dy/dx = × . Think of it as differentiating from the outside in, then multiplying by the derivative of the inside function.
For y = e^(7x²), set u = 7x² (inside function) and y = eᵘ (outside function). Then dy/du = eᵘ and du/dx = 14x, giving dy/dx = eᵘ × 14x = 14xe^(7x²).
The same principle works for any composite function. With y = 5^(x⁴), you'd get dy/dx = (ln 5) × 5^(x⁴) × 4x³. The coefficient 4x³ comes from differentiating the inside function x⁴.
Practice identifying the "inside" and "outside" functions first - this makes the chain rule much clearer and prevents common mistakes.
Key Strategy: Always ask "what's inside the brackets or exponent?" - that's your u!

The quotient rule handles fractions: if y = u/v, then dy/dx = /v². Remember it as "bottom times top derivative minus top times bottom derivative, all over bottom squared."
For /, set u = x² + 1 and v = x - 3. You get du/dx = 2x and dv/dx = 1, giving dy/dx = /² = /².
The quotient rule works brilliantly with trigonometric functions too. For sin x/cos x, you end up with /cos²x = 1/cos²x, which is actually sec²x.
Sometimes you'll see mixed functions like cos(2x)/. Just identify your u and v functions, differentiate each separately, then apply the formula methodically.
Remember: The order matters in the quotient rule - it's "bottom × top' - top × bottom'" in the numerator!

After applying the quotient rule, you'll often get messy expressions that need factoring and simplifying. For the function cos(2x)/, notice that the denominator factors as ².
The derivative becomes /⁴. You can factor out from the numerator: /⁴.
This simplifies to /³. Always look for common factors between numerator and denominator - it makes your final answer much cleaner.
These simplification skills are crucial for further calculus work and will save you time in exams. The key is recognising patterns and factoring opportunities before the expression gets too unwieldy.
Top Tip: Factor denominators first when you spot perfect squares or simple expressions - it often makes the quotient rule cleaner!
Our AI Companion is a student-focused AI tool that offers more than just answers. Built on millions of Knowunity resources, it provides relevant information, personalised study plans, quizzes, and content directly in the chat, adapting to your individual learning journey.
You can download the app from Google Play Store and Apple App Store.
That's right! Enjoy free access to study content, connect with fellow students, and get instant help – all at your fingertips.
App Store
Google Play
The app is very easy to use and well designed. I have found everything I was looking for so far and have been able to learn a lot from the presentations! I will definitely use the app for a class assignment! And of course it also helps a lot as an inspiration.
Stefan S
iOS user
This app is really great. There are so many study notes and help [...]. My problem subject is French, for example, and the app has so many options for help. Thanks to this app, I have improved my French. I would recommend it to anyone.
Samantha Klich
Android user
Wow, I am really amazed. I just tried the app because I've seen it advertised many times and was absolutely stunned. This app is THE HELP you want for school and above all, it offers so many things, such as workouts and fact sheets, which have been VERY helpful to me personally.
Anna
iOS user
Best app on earth! no words because it’s too good
Thomas R
iOS user
Just amazing. Let's me revise 10x better, this app is a quick 10/10. I highly recommend it to anyone. I can watch and search for notes. I can save them in the subject folder. I can revise it any time when I come back. If you haven't tried this app, you're really missing out.
Basil
Android user
This app has made me feel so much more confident in my exam prep, not only through boosting my own self confidence through the features that allow you to connect with others and feel less alone, but also through the way the app itself is centred around making you feel better. It is easy to navigate, fun to use, and helpful to anyone struggling in absolutely any way.
David K
iOS user
The app's just great! All I have to do is enter the topic in the search bar and I get the response real fast. I don't have to watch 10 YouTube videos to understand something, so I'm saving my time. Highly recommended!
Sudenaz Ocak
Android user
In school I was really bad at maths but thanks to the app, I am doing better now. I am so grateful that you made the app.
Greenlight Bonnie
Android user
very reliable app to help and grow your ideas of Maths, English and other related topics in your works. please use this app if your struggling in areas, this app is key for that. wish I'd of done a review before. and it's also free so don't worry about that.
Rohan U
Android user
I know a lot of apps use fake accounts to boost their reviews but this app deserves it all. Originally I was getting 4 in my English exams and this time I got a grade 7. I didn’t even know about this app three days until the exam and it has helped A LOT. Please actually trust me and use it as I’m sure you too will see developments.
Xander S
iOS user
THE QUIZES AND FLASHCARDS ARE SO USEFUL AND I LOVE Knowunity AI. IT ALSO IS LITREALLY LIKE CHATGPT BUT SMARTER!! HELPED ME WITH MY MASCARA PROBLEMS TOO!! AS WELL AS MY REAL SUBJECTS ! DUHHH 😍😁😲🤑💗✨🎀😮
Elisha
iOS user
This apps acc the goat. I find revision so boring but this app makes it so easy to organize it all and then you can ask the freeeee ai to test yourself so good and you can easily upload your own stuff. highly recommend as someone taking mocks now
Paul T
iOS user
The app is very easy to use and well designed. I have found everything I was looking for so far and have been able to learn a lot from the presentations! I will definitely use the app for a class assignment! And of course it also helps a lot as an inspiration.
Stefan S
iOS user
This app is really great. There are so many study notes and help [...]. My problem subject is French, for example, and the app has so many options for help. Thanks to this app, I have improved my French. I would recommend it to anyone.
Samantha Klich
Android user
Wow, I am really amazed. I just tried the app because I've seen it advertised many times and was absolutely stunned. This app is THE HELP you want for school and above all, it offers so many things, such as workouts and fact sheets, which have been VERY helpful to me personally.
Anna
iOS user
Best app on earth! no words because it’s too good
Thomas R
iOS user
Just amazing. Let's me revise 10x better, this app is a quick 10/10. I highly recommend it to anyone. I can watch and search for notes. I can save them in the subject folder. I can revise it any time when I come back. If you haven't tried this app, you're really missing out.
Basil
Android user
This app has made me feel so much more confident in my exam prep, not only through boosting my own self confidence through the features that allow you to connect with others and feel less alone, but also through the way the app itself is centred around making you feel better. It is easy to navigate, fun to use, and helpful to anyone struggling in absolutely any way.
David K
iOS user
The app's just great! All I have to do is enter the topic in the search bar and I get the response real fast. I don't have to watch 10 YouTube videos to understand something, so I'm saving my time. Highly recommended!
Sudenaz Ocak
Android user
In school I was really bad at maths but thanks to the app, I am doing better now. I am so grateful that you made the app.
Greenlight Bonnie
Android user
very reliable app to help and grow your ideas of Maths, English and other related topics in your works. please use this app if your struggling in areas, this app is key for that. wish I'd of done a review before. and it's also free so don't worry about that.
Rohan U
Android user
I know a lot of apps use fake accounts to boost their reviews but this app deserves it all. Originally I was getting 4 in my English exams and this time I got a grade 7. I didn’t even know about this app three days until the exam and it has helped A LOT. Please actually trust me and use it as I’m sure you too will see developments.
Xander S
iOS user
THE QUIZES AND FLASHCARDS ARE SO USEFUL AND I LOVE Knowunity AI. IT ALSO IS LITREALLY LIKE CHATGPT BUT SMARTER!! HELPED ME WITH MY MASCARA PROBLEMS TOO!! AS WELL AS MY REAL SUBJECTS ! DUHHH 😍😁😲🤑💗✨🎀😮
Elisha
iOS user
This apps acc the goat. I find revision so boring but this app makes it so easy to organize it all and then you can ask the freeeee ai to test yourself so good and you can easily upload your own stuff. highly recommend as someone taking mocks now
Paul T
iOS user
Imogen Pearce
@imogenpearce
Differentiation is your toolkit for finding gradients and understanding how functions behave - whether they're increasing, decreasing, or hitting turning points. You'll master everything from basic power rules to more complex techniques like the chain rule and quotient rule.

Access to all documents
Improve your grades
Join milions of students
The power rule is your best friend: for y = ax^n, the derivative is dy/dx = nax^. Simply multiply by the power, then reduce the power by one.
Differentiation from first principles uses the formula f'(x) = lim(h→0) /h. This shows you what's actually happening when you find a gradient. For f(x) = 3x², you substitute into the formula, expand f, simplify by factoring out h, then let h approach zero.
The result? f'(x) = 6x, which matches what you'd get using the power rule. This method proves why the shortcuts work, though you'll mainly use it for exam questions asking you to "show from first principles."
Quick Check: Always verify your differentiation using the power rule - it's much faster than first principles!

Access to all documents
Improve your grades
Join milions of students
Functions increase when their gradient is positive (f'(x) > 0) and decrease when it's negative (f'(x) < 0). To find these intervals, set f'(x) = 0 and solve for the boundary points.
For f(x) = x³ + 2x² - x + 2, you get f'(x) = 3x² + 2x - 1. Setting this equal to zero gives you x = 1/3 and x = -1. These are your critical points where the function changes behaviour.
Stationary points occur where f'(x) = 0 - these are your turning points and points of inflection. To determine their nature, use the second derivative test: f''(x) > 0 means minimum, f''(x) < 0 means maximum, and f''(x) = 0 suggests a point of inflection.
This method helps you sketch graphs and understand real-world problems like finding maximum profit or minimum cost.

Access to all documents
Improve your grades
Join milions of students
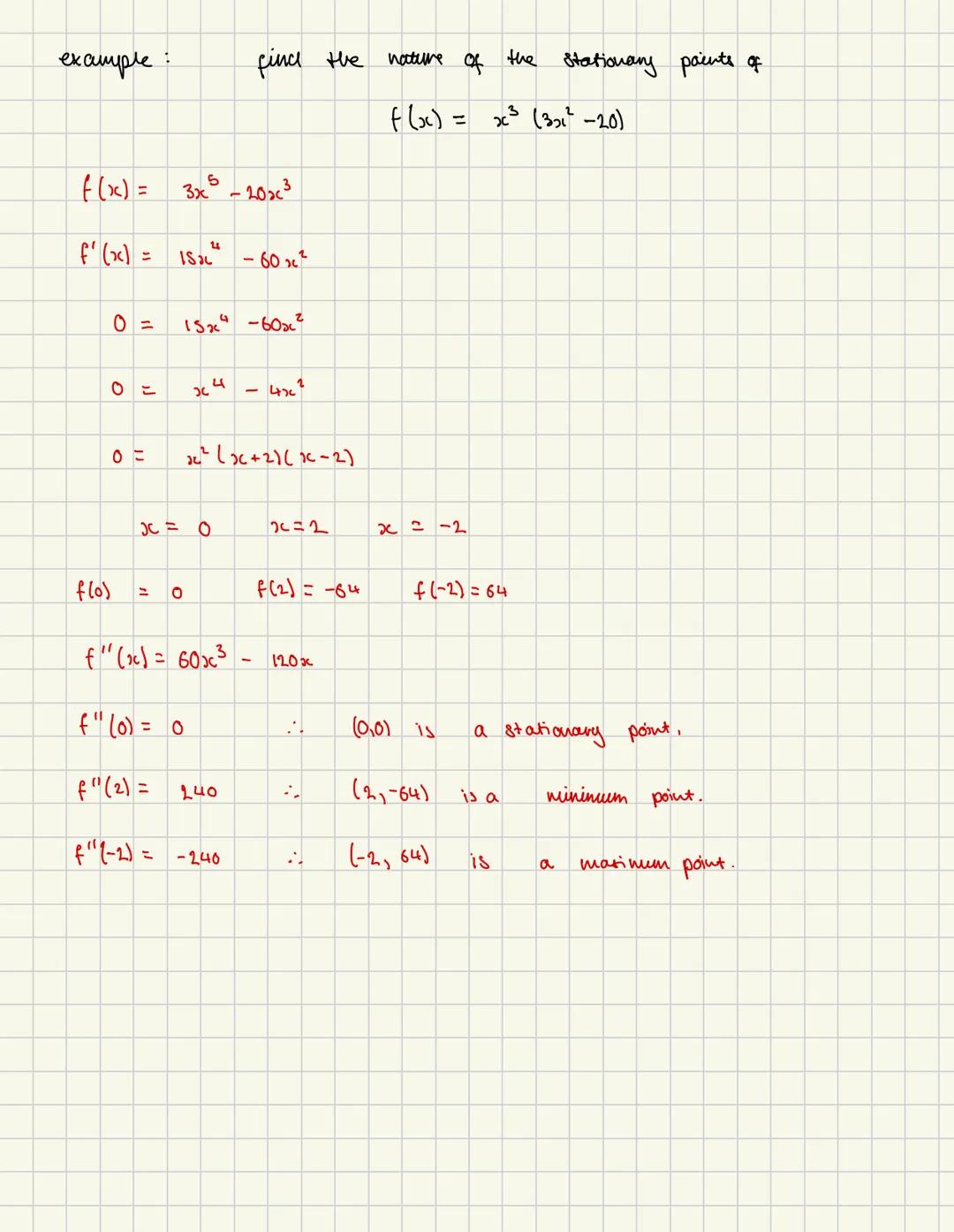
Let's work through f(x) = x², which expands to f(x) = 3x⁵ - 20x³. The first derivative gives f'(x) = 15x⁴ - 60x², and setting this to zero reveals stationary points at x = 0, x = 2, and x = -2.
The second derivative f''(x) = 60x³ - 120x helps classify each point. At x = 2, f''(2) = 240 > 0, making (2, -64) a minimum point. At x = -2, f''(-2) = -240 < 0, making (-2, 64) a maximum point.
When f''(0) = 0, you've got a stationary point that needs further investigation - it could be a point of inflection. You'd need to check the sign of f'(x) on either side of x = 0 to determine its exact nature.
Remember to always find the y-coordinates by substituting back into the original function, not the derivative!
Pro Tip: Draw a sign diagram for f'(x) to visualise where your function increases and decreases between stationary points.

Access to all documents
Improve your grades
Join milions of students
Trigonometric differentiation follows clear patterns: d/dx(sin x) = cos x, and d/dx(cos x) = -sin x. When you have d/dx(sin Rx) = R cos Rx, the coefficient R comes to the front - don't forget it!
Exponential functions have their own rules: d/dx(eˣ) = eˣ (it differentiates to itself), while d/dx(aˣ) = aˣ ln a. For logarithms, d/dx(ln x) = 1/x is essential to remember.
For composite functions like e^, use d/dx = Re^(Rx). So e^ becomes -3e^. Similarly, 3^ uses the rule d/dx = R(ln a)a^(Rx).
When finding gradients at specific points, substitute your x-value into the derivative. These rules are fundamental for many A-level applications, from population growth to wave motion.
Memory Aid: "eˣ is special - it stays the same when differentiated!"

Access to all documents
Improve your grades
Join milions of students
The chain rule tackles composite functions using dy/dx = × . Think of it as differentiating from the outside in, then multiplying by the derivative of the inside function.
For y = e^(7x²), set u = 7x² (inside function) and y = eᵘ (outside function). Then dy/du = eᵘ and du/dx = 14x, giving dy/dx = eᵘ × 14x = 14xe^(7x²).
The same principle works for any composite function. With y = 5^(x⁴), you'd get dy/dx = (ln 5) × 5^(x⁴) × 4x³. The coefficient 4x³ comes from differentiating the inside function x⁴.
Practice identifying the "inside" and "outside" functions first - this makes the chain rule much clearer and prevents common mistakes.
Key Strategy: Always ask "what's inside the brackets or exponent?" - that's your u!

Access to all documents
Improve your grades
Join milions of students
The quotient rule handles fractions: if y = u/v, then dy/dx = /v². Remember it as "bottom times top derivative minus top times bottom derivative, all over bottom squared."
For /, set u = x² + 1 and v = x - 3. You get du/dx = 2x and dv/dx = 1, giving dy/dx = /² = /².
The quotient rule works brilliantly with trigonometric functions too. For sin x/cos x, you end up with /cos²x = 1/cos²x, which is actually sec²x.
Sometimes you'll see mixed functions like cos(2x)/. Just identify your u and v functions, differentiate each separately, then apply the formula methodically.
Remember: The order matters in the quotient rule - it's "bottom × top' - top × bottom'" in the numerator!

Access to all documents
Improve your grades
Join milions of students
After applying the quotient rule, you'll often get messy expressions that need factoring and simplifying. For the function cos(2x)/, notice that the denominator factors as ².
The derivative becomes /⁴. You can factor out from the numerator: /⁴.
This simplifies to /³. Always look for common factors between numerator and denominator - it makes your final answer much cleaner.
These simplification skills are crucial for further calculus work and will save you time in exams. The key is recognising patterns and factoring opportunities before the expression gets too unwieldy.
Top Tip: Factor denominators first when you spot perfect squares or simple expressions - it often makes the quotient rule cleaner!
Our AI Companion is a student-focused AI tool that offers more than just answers. Built on millions of Knowunity resources, it provides relevant information, personalised study plans, quizzes, and content directly in the chat, adapting to your individual learning journey.
You can download the app from Google Play Store and Apple App Store.
That's right! Enjoy free access to study content, connect with fellow students, and get instant help – all at your fingertips.
2
Smart Tools NEW
Transform this note into: ✓ 50+ Practice Questions ✓ Interactive Flashcards ✓ Full Mock Exam ✓ Essay Outlines
App Store
Google Play
The app is very easy to use and well designed. I have found everything I was looking for so far and have been able to learn a lot from the presentations! I will definitely use the app for a class assignment! And of course it also helps a lot as an inspiration.
Stefan S
iOS user
This app is really great. There are so many study notes and help [...]. My problem subject is French, for example, and the app has so many options for help. Thanks to this app, I have improved my French. I would recommend it to anyone.
Samantha Klich
Android user
Wow, I am really amazed. I just tried the app because I've seen it advertised many times and was absolutely stunned. This app is THE HELP you want for school and above all, it offers so many things, such as workouts and fact sheets, which have been VERY helpful to me personally.
Anna
iOS user
Best app on earth! no words because it’s too good
Thomas R
iOS user
Just amazing. Let's me revise 10x better, this app is a quick 10/10. I highly recommend it to anyone. I can watch and search for notes. I can save them in the subject folder. I can revise it any time when I come back. If you haven't tried this app, you're really missing out.
Basil
Android user
This app has made me feel so much more confident in my exam prep, not only through boosting my own self confidence through the features that allow you to connect with others and feel less alone, but also through the way the app itself is centred around making you feel better. It is easy to navigate, fun to use, and helpful to anyone struggling in absolutely any way.
David K
iOS user
The app's just great! All I have to do is enter the topic in the search bar and I get the response real fast. I don't have to watch 10 YouTube videos to understand something, so I'm saving my time. Highly recommended!
Sudenaz Ocak
Android user
In school I was really bad at maths but thanks to the app, I am doing better now. I am so grateful that you made the app.
Greenlight Bonnie
Android user
very reliable app to help and grow your ideas of Maths, English and other related topics in your works. please use this app if your struggling in areas, this app is key for that. wish I'd of done a review before. and it's also free so don't worry about that.
Rohan U
Android user
I know a lot of apps use fake accounts to boost their reviews but this app deserves it all. Originally I was getting 4 in my English exams and this time I got a grade 7. I didn’t even know about this app three days until the exam and it has helped A LOT. Please actually trust me and use it as I’m sure you too will see developments.
Xander S
iOS user
THE QUIZES AND FLASHCARDS ARE SO USEFUL AND I LOVE Knowunity AI. IT ALSO IS LITREALLY LIKE CHATGPT BUT SMARTER!! HELPED ME WITH MY MASCARA PROBLEMS TOO!! AS WELL AS MY REAL SUBJECTS ! DUHHH 😍😁😲🤑💗✨🎀😮
Elisha
iOS user
This apps acc the goat. I find revision so boring but this app makes it so easy to organize it all and then you can ask the freeeee ai to test yourself so good and you can easily upload your own stuff. highly recommend as someone taking mocks now
Paul T
iOS user
The app is very easy to use and well designed. I have found everything I was looking for so far and have been able to learn a lot from the presentations! I will definitely use the app for a class assignment! And of course it also helps a lot as an inspiration.
Stefan S
iOS user
This app is really great. There are so many study notes and help [...]. My problem subject is French, for example, and the app has so many options for help. Thanks to this app, I have improved my French. I would recommend it to anyone.
Samantha Klich
Android user
Wow, I am really amazed. I just tried the app because I've seen it advertised many times and was absolutely stunned. This app is THE HELP you want for school and above all, it offers so many things, such as workouts and fact sheets, which have been VERY helpful to me personally.
Anna
iOS user
Best app on earth! no words because it’s too good
Thomas R
iOS user
Just amazing. Let's me revise 10x better, this app is a quick 10/10. I highly recommend it to anyone. I can watch and search for notes. I can save them in the subject folder. I can revise it any time when I come back. If you haven't tried this app, you're really missing out.
Basil
Android user
This app has made me feel so much more confident in my exam prep, not only through boosting my own self confidence through the features that allow you to connect with others and feel less alone, but also through the way the app itself is centred around making you feel better. It is easy to navigate, fun to use, and helpful to anyone struggling in absolutely any way.
David K
iOS user
The app's just great! All I have to do is enter the topic in the search bar and I get the response real fast. I don't have to watch 10 YouTube videos to understand something, so I'm saving my time. Highly recommended!
Sudenaz Ocak
Android user
In school I was really bad at maths but thanks to the app, I am doing better now. I am so grateful that you made the app.
Greenlight Bonnie
Android user
very reliable app to help and grow your ideas of Maths, English and other related topics in your works. please use this app if your struggling in areas, this app is key for that. wish I'd of done a review before. and it's also free so don't worry about that.
Rohan U
Android user
I know a lot of apps use fake accounts to boost their reviews but this app deserves it all. Originally I was getting 4 in my English exams and this time I got a grade 7. I didn’t even know about this app three days until the exam and it has helped A LOT. Please actually trust me and use it as I’m sure you too will see developments.
Xander S
iOS user
THE QUIZES AND FLASHCARDS ARE SO USEFUL AND I LOVE Knowunity AI. IT ALSO IS LITREALLY LIKE CHATGPT BUT SMARTER!! HELPED ME WITH MY MASCARA PROBLEMS TOO!! AS WELL AS MY REAL SUBJECTS ! DUHHH 😍😁😲🤑💗✨🎀😮
Elisha
iOS user
This apps acc the goat. I find revision so boring but this app makes it so easy to organize it all and then you can ask the freeeee ai to test yourself so good and you can easily upload your own stuff. highly recommend as someone taking mocks now
Paul T
iOS user