Els polinomis són expressions algebraiques que combinen nombres i lletres... Show more
Sign up to see the contentIt's free!
Access to all documents
Improve your grades
Join milions of students
Knowunity AI
Subjects
Triangle Congruence and Similarity Theorems
Triangle Properties and Classification
Linear Equations and Graphs
Geometric Angle Relationships
Trigonometric Functions and Identities
Equation Solving Techniques
Circle Geometry Fundamentals
Division Operations and Methods
Basic Differentiation Rules
Exponent and Logarithm Properties
Show all topics
Human Organ Systems
Reproductive Cell Cycles
Biological Sciences Subdisciplines
Cellular Energy Metabolism
Autotrophic Energy Processes
Inheritance Patterns and Principles
Biomolecular Structure and Organization
Cell Cycle and Division Mechanics
Cellular Organization and Development
Biological Structural Organization
Show all topics
Chemical Sciences and Applications
Atomic Structure and Composition
Molecular Electron Structure Representation
Atomic Electron Behavior
Matter Properties and Water
Mole Concept and Calculations
Gas Laws and Behavior
Periodic Table Organization
Chemical Thermodynamics Fundamentals
Chemical Bond Types and Properties
Show all topics
European Renaissance and Enlightenment
European Cultural Movements 800-1920
American Revolution Era 1763-1797
American Civil War 1861-1865
Global Imperial Systems
Mongol and Chinese Dynasties
U.S. Presidents and World Leaders
Historical Sources and Documentation
World Wars Era and Impact
World Religious Systems
Show all topics
Classic and Contemporary Novels
Literary Character Analysis
Rhetorical Theory and Practice
Classic Literary Narratives
Reading Analysis and Interpretation
Narrative Structure and Techniques
English Language Components
Influential English-Language Authors
Basic Sentence Structure
Narrative Voice and Perspective
Show all topics
308
•
Updated Mar 31, 2026
•
German Camp Vallès
@germancampvalls_twms
Els polinomis són expressions algebraiques que combinen nombres i lletres... Show more






Els polinomis són com receptes matemàtiques que combinen nombres i lletres. Un monomi és la peça més petita (com 3x²), mentre que un polinomi és la combinació de diversos monomis units per sumes o restes.
La variable és la lletra misteriosa (normalment x) i el coeficient és el nombre que la multiplica. Per exemple, en 5x³, el 5 és el coeficient i x³ és la part literal. Quan dos monomis tenen exactament la mateixa part literal, els anomenem monomis semblants.
El grau d'un monomi és la suma de tots els exponents de les seves variables. El grau d'un polinomi sencer és el grau del seu terme més gran. El terme independent és aquell que no té variables, només un nombre.
Consell clau: Per trobar el valor numèric d'un polinomi, només has de substituir les lletres pels nombres donats i calcular!

Sumar i restar monomis és súper fàcil si són semblants: només sumes els coeficients i mantens la mateixa part literal. Per multiplicar monomis, multipliques els coeficients i sumes els exponents de les mateixes variables.
Per a les potències, elevas el coeficient a l'exponent i multipliques tots els exponents de les variables per aquest número. La propietat distributiva és el teu millor amic: a = ab + ac.
Les identitats notables són fórmules màgiques que t'estalvien temps:
Truc d'examen: Memoritza aquestes identitats notables - apareixen constantment als exàmens i t'estalvien molt temps de càlcul!

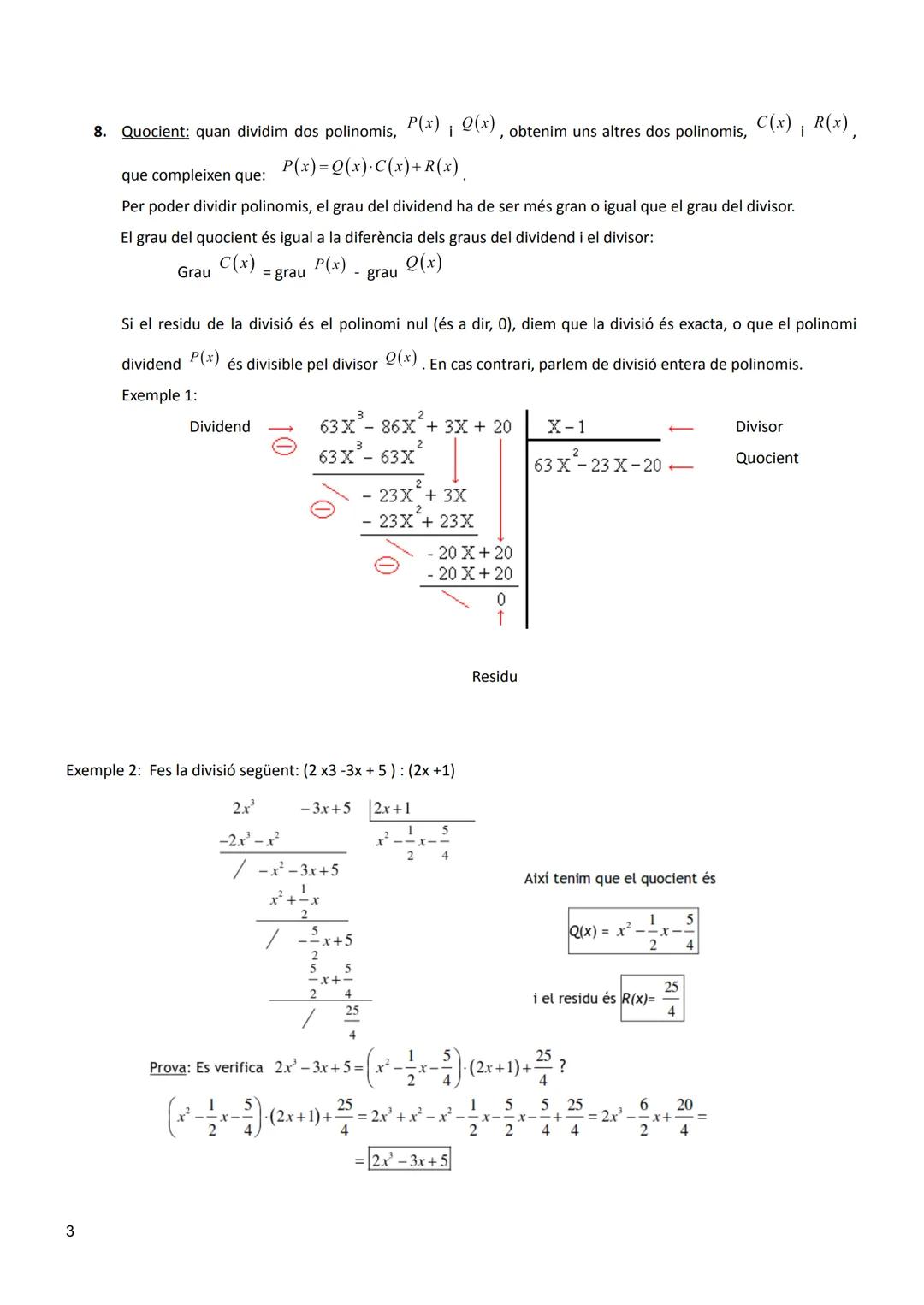
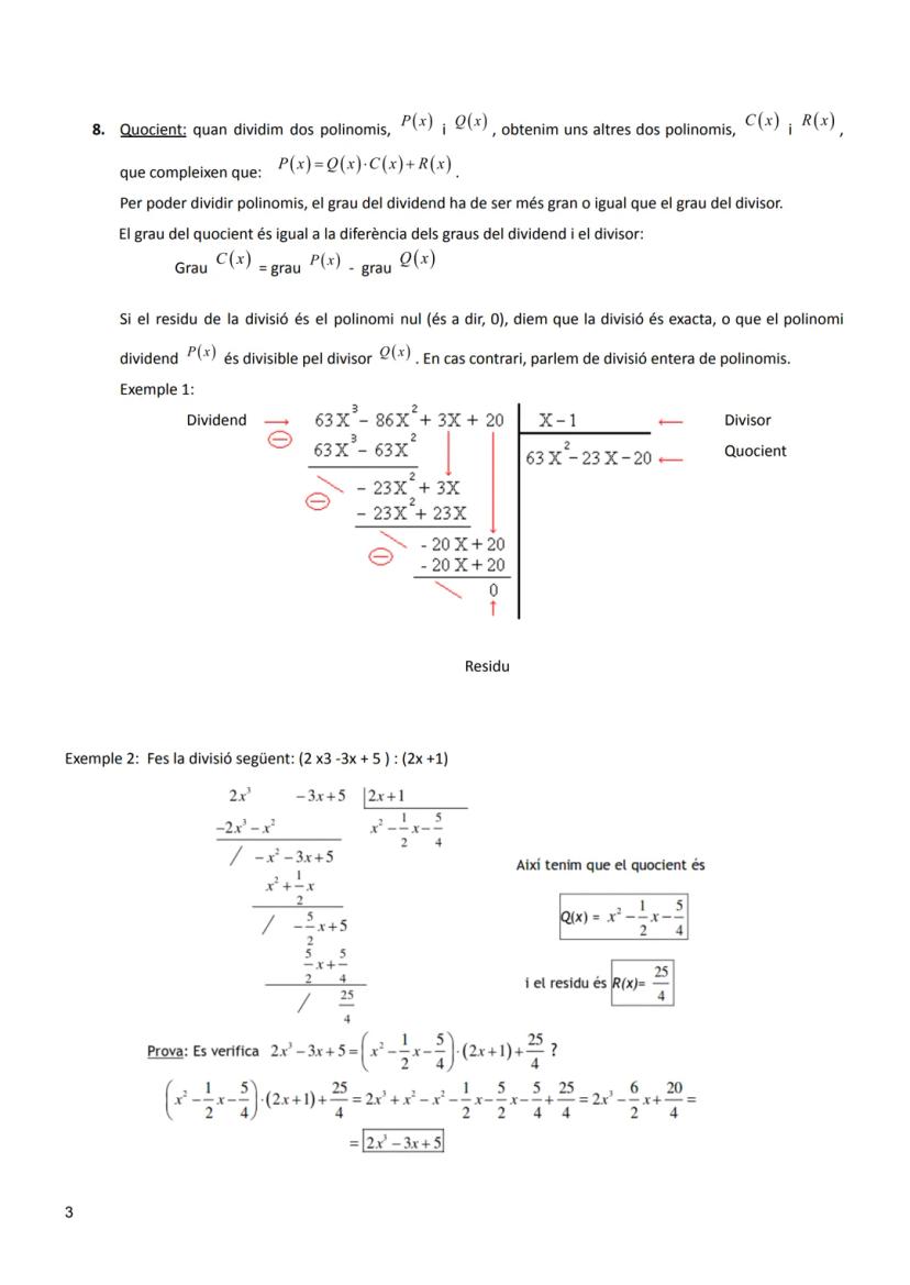
Dividir polinomis és com fer una divisió llarga, però amb lletres. Quan divideixes P(x) entre Q(x), obtens un quocient C(x) i un residu R(x), que compleixen: P(x) = Q(x) · C(x) + R(x).
El grau del dividend ha de ser major o igual que el del divisor. El grau del quocient sempre és la diferència entre els graus del dividend i el divisor. Si el residu és zero, la divisió és exacta.
Els exemples mostren com organitzar els càlculs pas a pas. Primer divideixes els termes de major grau, després multipliques cap enrere i restes fins que no puguis continuar.
Verificació important: Sempre comprova la teva resposta substituint en la fórmula P(x) = Q(x) · C(x) + R(x)!

La Regla de Ruffini és un mètode ràpid per dividir polinomis quan el divisor té la forma . És molt més eficient que la divisió llarga tradicional i t'estalvia molta feina als exàmens.
El teorema del residu és genial: et diu que per trobar el residu de dividir P(x) entre , només has de calcular P(a). Les arrels d'un polinomi són els valors que fan que el polinomi sigui igual a zero.
Una propietat súper útil: les possibles arrels enteres d'un polinomi sempre són divisors del terme independent. El nombre total d'arrels mai supera el grau del polinomi.
Estratègia d'examen: Per trobar arrels ràpidament, prova primer amb els divisors del terme independent: ±1, ±2, ±3...

Factoritzar un polinomi significa descomposar-lo en un producte de factors més simples. Si un polinomi té n arrels reals, es pot escriure com P(x) = aₙ....
Els mètodes principals per factoritzar són: treure factor comú, aplicar identitats notables, resoldre equacions de segon grau, i trobar arrels amb Ruffini per a polinomis de grau superior.
La factorització és l'objectiu final de molts problemes de polinomis. Una vegada factoritzat, pots resoldre equacions, simplificar fraccions algebraiques i entendre millor el comportament del polinomi.
Consell pràctic: Sempre comença intentant treure factor comú abans de buscar arrels o aplicar altres mètodes - és el més ràpid!
Our AI Companion is a student-focused AI tool that offers more than just answers. Built on millions of Knowunity resources, it provides relevant information, personalised study plans, quizzes, and content directly in the chat, adapting to your individual learning journey.
You can download the app from Google Play Store and Apple App Store.
That's right! Enjoy free access to study content, connect with fellow students, and get instant help – all at your fingertips.
App Store
Google Play
The app is very easy to use and well designed. I have found everything I was looking for so far and have been able to learn a lot from the presentations! I will definitely use the app for a class assignment! And of course it also helps a lot as an inspiration.
Stefan S
iOS user
This app is really great. There are so many study notes and help [...]. My problem subject is French, for example, and the app has so many options for help. Thanks to this app, I have improved my French. I would recommend it to anyone.
Samantha Klich
Android user
Wow, I am really amazed. I just tried the app because I've seen it advertised many times and was absolutely stunned. This app is THE HELP you want for school and above all, it offers so many things, such as workouts and fact sheets, which have been VERY helpful to me personally.
Anna
iOS user
Best app on earth! no words because it’s too good
Thomas R
iOS user
Just amazing. Let's me revise 10x better, this app is a quick 10/10. I highly recommend it to anyone. I can watch and search for notes. I can save them in the subject folder. I can revise it any time when I come back. If you haven't tried this app, you're really missing out.
Basil
Android user
This app has made me feel so much more confident in my exam prep, not only through boosting my own self confidence through the features that allow you to connect with others and feel less alone, but also through the way the app itself is centred around making you feel better. It is easy to navigate, fun to use, and helpful to anyone struggling in absolutely any way.
David K
iOS user
The app's just great! All I have to do is enter the topic in the search bar and I get the response real fast. I don't have to watch 10 YouTube videos to understand something, so I'm saving my time. Highly recommended!
Sudenaz Ocak
Android user
In school I was really bad at maths but thanks to the app, I am doing better now. I am so grateful that you made the app.
Greenlight Bonnie
Android user
very reliable app to help and grow your ideas of Maths, English and other related topics in your works. please use this app if your struggling in areas, this app is key for that. wish I'd of done a review before. and it's also free so don't worry about that.
Rohan U
Android user
I know a lot of apps use fake accounts to boost their reviews but this app deserves it all. Originally I was getting 4 in my English exams and this time I got a grade 7. I didn’t even know about this app three days until the exam and it has helped A LOT. Please actually trust me and use it as I’m sure you too will see developments.
Xander S
iOS user
THE QUIZES AND FLASHCARDS ARE SO USEFUL AND I LOVE Knowunity AI. IT ALSO IS LITREALLY LIKE CHATGPT BUT SMARTER!! HELPED ME WITH MY MASCARA PROBLEMS TOO!! AS WELL AS MY REAL SUBJECTS ! DUHHH 😍😁😲🤑💗✨🎀😮
Elisha
iOS user
This apps acc the goat. I find revision so boring but this app makes it so easy to organize it all and then you can ask the freeeee ai to test yourself so good and you can easily upload your own stuff. highly recommend as someone taking mocks now
Paul T
iOS user
The app is very easy to use and well designed. I have found everything I was looking for so far and have been able to learn a lot from the presentations! I will definitely use the app for a class assignment! And of course it also helps a lot as an inspiration.
Stefan S
iOS user
This app is really great. There are so many study notes and help [...]. My problem subject is French, for example, and the app has so many options for help. Thanks to this app, I have improved my French. I would recommend it to anyone.
Samantha Klich
Android user
Wow, I am really amazed. I just tried the app because I've seen it advertised many times and was absolutely stunned. This app is THE HELP you want for school and above all, it offers so many things, such as workouts and fact sheets, which have been VERY helpful to me personally.
Anna
iOS user
Best app on earth! no words because it’s too good
Thomas R
iOS user
Just amazing. Let's me revise 10x better, this app is a quick 10/10. I highly recommend it to anyone. I can watch and search for notes. I can save them in the subject folder. I can revise it any time when I come back. If you haven't tried this app, you're really missing out.
Basil
Android user
This app has made me feel so much more confident in my exam prep, not only through boosting my own self confidence through the features that allow you to connect with others and feel less alone, but also through the way the app itself is centred around making you feel better. It is easy to navigate, fun to use, and helpful to anyone struggling in absolutely any way.
David K
iOS user
The app's just great! All I have to do is enter the topic in the search bar and I get the response real fast. I don't have to watch 10 YouTube videos to understand something, so I'm saving my time. Highly recommended!
Sudenaz Ocak
Android user
In school I was really bad at maths but thanks to the app, I am doing better now. I am so grateful that you made the app.
Greenlight Bonnie
Android user
very reliable app to help and grow your ideas of Maths, English and other related topics in your works. please use this app if your struggling in areas, this app is key for that. wish I'd of done a review before. and it's also free so don't worry about that.
Rohan U
Android user
I know a lot of apps use fake accounts to boost their reviews but this app deserves it all. Originally I was getting 4 in my English exams and this time I got a grade 7. I didn’t even know about this app three days until the exam and it has helped A LOT. Please actually trust me and use it as I’m sure you too will see developments.
Xander S
iOS user
THE QUIZES AND FLASHCARDS ARE SO USEFUL AND I LOVE Knowunity AI. IT ALSO IS LITREALLY LIKE CHATGPT BUT SMARTER!! HELPED ME WITH MY MASCARA PROBLEMS TOO!! AS WELL AS MY REAL SUBJECTS ! DUHHH 😍😁😲🤑💗✨🎀😮
Elisha
iOS user
This apps acc the goat. I find revision so boring but this app makes it so easy to organize it all and then you can ask the freeeee ai to test yourself so good and you can easily upload your own stuff. highly recommend as someone taking mocks now
Paul T
iOS user
German Camp Vallès
@germancampvalls_twms
Els polinomis són expressions algebraiques que combinen nombres i lletres mitjançant operacions matemàtiques bàsiques. Dominar-los és essencial per a l'àlgebra avançada i molts exàmens de matemàtiques, ja que apareixen constantment en equacions i càlculs complexos.

Access to all documents
Improve your grades
Join milions of students
Els polinomis són com receptes matemàtiques que combinen nombres i lletres. Un monomi és la peça més petita (com 3x²), mentre que un polinomi és la combinació de diversos monomis units per sumes o restes.
La variable és la lletra misteriosa (normalment x) i el coeficient és el nombre que la multiplica. Per exemple, en 5x³, el 5 és el coeficient i x³ és la part literal. Quan dos monomis tenen exactament la mateixa part literal, els anomenem monomis semblants.
El grau d'un monomi és la suma de tots els exponents de les seves variables. El grau d'un polinomi sencer és el grau del seu terme més gran. El terme independent és aquell que no té variables, només un nombre.
Consell clau: Per trobar el valor numèric d'un polinomi, només has de substituir les lletres pels nombres donats i calcular!

Access to all documents
Improve your grades
Join milions of students
Sumar i restar monomis és súper fàcil si són semblants: només sumes els coeficients i mantens la mateixa part literal. Per multiplicar monomis, multipliques els coeficients i sumes els exponents de les mateixes variables.
Per a les potències, elevas el coeficient a l'exponent i multipliques tots els exponents de les variables per aquest número. La propietat distributiva és el teu millor amic: a = ab + ac.
Les identitats notables són fórmules màgiques que t'estalvien temps:
Truc d'examen: Memoritza aquestes identitats notables - apareixen constantment als exàmens i t'estalvien molt temps de càlcul!

Access to all documents
Improve your grades
Join milions of students
Dividir polinomis és com fer una divisió llarga, però amb lletres. Quan divideixes P(x) entre Q(x), obtens un quocient C(x) i un residu R(x), que compleixen: P(x) = Q(x) · C(x) + R(x).
El grau del dividend ha de ser major o igual que el del divisor. El grau del quocient sempre és la diferència entre els graus del dividend i el divisor. Si el residu és zero, la divisió és exacta.
Els exemples mostren com organitzar els càlculs pas a pas. Primer divideixes els termes de major grau, després multipliques cap enrere i restes fins que no puguis continuar.
Verificació important: Sempre comprova la teva resposta substituint en la fórmula P(x) = Q(x) · C(x) + R(x)!

Access to all documents
Improve your grades
Join milions of students
La Regla de Ruffini és un mètode ràpid per dividir polinomis quan el divisor té la forma . És molt més eficient que la divisió llarga tradicional i t'estalvia molta feina als exàmens.
El teorema del residu és genial: et diu que per trobar el residu de dividir P(x) entre , només has de calcular P(a). Les arrels d'un polinomi són els valors que fan que el polinomi sigui igual a zero.
Una propietat súper útil: les possibles arrels enteres d'un polinomi sempre són divisors del terme independent. El nombre total d'arrels mai supera el grau del polinomi.
Estratègia d'examen: Per trobar arrels ràpidament, prova primer amb els divisors del terme independent: ±1, ±2, ±3...

Access to all documents
Improve your grades
Join milions of students
Factoritzar un polinomi significa descomposar-lo en un producte de factors més simples. Si un polinomi té n arrels reals, es pot escriure com P(x) = aₙ....
Els mètodes principals per factoritzar són: treure factor comú, aplicar identitats notables, resoldre equacions de segon grau, i trobar arrels amb Ruffini per a polinomis de grau superior.
La factorització és l'objectiu final de molts problemes de polinomis. Una vegada factoritzat, pots resoldre equacions, simplificar fraccions algebraiques i entendre millor el comportament del polinomi.
Consell pràctic: Sempre comença intentant treure factor comú abans de buscar arrels o aplicar altres mètodes - és el més ràpid!
Our AI Companion is a student-focused AI tool that offers more than just answers. Built on millions of Knowunity resources, it provides relevant information, personalised study plans, quizzes, and content directly in the chat, adapting to your individual learning journey.
You can download the app from Google Play Store and Apple App Store.
That's right! Enjoy free access to study content, connect with fellow students, and get instant help – all at your fingertips.
1
Smart Tools NEW
Transform this note into: ✓ 50+ Practice Questions ✓ Interactive Flashcards ✓ Full Mock Exam ✓ Essay Outlines
exercicicios para practicar
Polinomiso fracciones algebraicas …. Ejercicios resueltos
Contiene ejercicios división de polinomios
Conjunto de ejercicios y apuntes de todos los tipos de ecuaciones que se ven en la ESO, incluyendo los sistemas.
Fracciones algebraicas
Tema completo de álgebra. Apuntes y ejercicios resueltos.
App Store
Google Play
The app is very easy to use and well designed. I have found everything I was looking for so far and have been able to learn a lot from the presentations! I will definitely use the app for a class assignment! And of course it also helps a lot as an inspiration.
Stefan S
iOS user
This app is really great. There are so many study notes and help [...]. My problem subject is French, for example, and the app has so many options for help. Thanks to this app, I have improved my French. I would recommend it to anyone.
Samantha Klich
Android user
Wow, I am really amazed. I just tried the app because I've seen it advertised many times and was absolutely stunned. This app is THE HELP you want for school and above all, it offers so many things, such as workouts and fact sheets, which have been VERY helpful to me personally.
Anna
iOS user
Best app on earth! no words because it’s too good
Thomas R
iOS user
Just amazing. Let's me revise 10x better, this app is a quick 10/10. I highly recommend it to anyone. I can watch and search for notes. I can save them in the subject folder. I can revise it any time when I come back. If you haven't tried this app, you're really missing out.
Basil
Android user
This app has made me feel so much more confident in my exam prep, not only through boosting my own self confidence through the features that allow you to connect with others and feel less alone, but also through the way the app itself is centred around making you feel better. It is easy to navigate, fun to use, and helpful to anyone struggling in absolutely any way.
David K
iOS user
The app's just great! All I have to do is enter the topic in the search bar and I get the response real fast. I don't have to watch 10 YouTube videos to understand something, so I'm saving my time. Highly recommended!
Sudenaz Ocak
Android user
In school I was really bad at maths but thanks to the app, I am doing better now. I am so grateful that you made the app.
Greenlight Bonnie
Android user
very reliable app to help and grow your ideas of Maths, English and other related topics in your works. please use this app if your struggling in areas, this app is key for that. wish I'd of done a review before. and it's also free so don't worry about that.
Rohan U
Android user
I know a lot of apps use fake accounts to boost their reviews but this app deserves it all. Originally I was getting 4 in my English exams and this time I got a grade 7. I didn’t even know about this app three days until the exam and it has helped A LOT. Please actually trust me and use it as I’m sure you too will see developments.
Xander S
iOS user
THE QUIZES AND FLASHCARDS ARE SO USEFUL AND I LOVE Knowunity AI. IT ALSO IS LITREALLY LIKE CHATGPT BUT SMARTER!! HELPED ME WITH MY MASCARA PROBLEMS TOO!! AS WELL AS MY REAL SUBJECTS ! DUHHH 😍😁😲🤑💗✨🎀😮
Elisha
iOS user
This apps acc the goat. I find revision so boring but this app makes it so easy to organize it all and then you can ask the freeeee ai to test yourself so good and you can easily upload your own stuff. highly recommend as someone taking mocks now
Paul T
iOS user
The app is very easy to use and well designed. I have found everything I was looking for so far and have been able to learn a lot from the presentations! I will definitely use the app for a class assignment! And of course it also helps a lot as an inspiration.
Stefan S
iOS user
This app is really great. There are so many study notes and help [...]. My problem subject is French, for example, and the app has so many options for help. Thanks to this app, I have improved my French. I would recommend it to anyone.
Samantha Klich
Android user
Wow, I am really amazed. I just tried the app because I've seen it advertised many times and was absolutely stunned. This app is THE HELP you want for school and above all, it offers so many things, such as workouts and fact sheets, which have been VERY helpful to me personally.
Anna
iOS user
Best app on earth! no words because it’s too good
Thomas R
iOS user
Just amazing. Let's me revise 10x better, this app is a quick 10/10. I highly recommend it to anyone. I can watch and search for notes. I can save them in the subject folder. I can revise it any time when I come back. If you haven't tried this app, you're really missing out.
Basil
Android user
This app has made me feel so much more confident in my exam prep, not only through boosting my own self confidence through the features that allow you to connect with others and feel less alone, but also through the way the app itself is centred around making you feel better. It is easy to navigate, fun to use, and helpful to anyone struggling in absolutely any way.
David K
iOS user
The app's just great! All I have to do is enter the topic in the search bar and I get the response real fast. I don't have to watch 10 YouTube videos to understand something, so I'm saving my time. Highly recommended!
Sudenaz Ocak
Android user
In school I was really bad at maths but thanks to the app, I am doing better now. I am so grateful that you made the app.
Greenlight Bonnie
Android user
very reliable app to help and grow your ideas of Maths, English and other related topics in your works. please use this app if your struggling in areas, this app is key for that. wish I'd of done a review before. and it's also free so don't worry about that.
Rohan U
Android user
I know a lot of apps use fake accounts to boost their reviews but this app deserves it all. Originally I was getting 4 in my English exams and this time I got a grade 7. I didn’t even know about this app three days until the exam and it has helped A LOT. Please actually trust me and use it as I’m sure you too will see developments.
Xander S
iOS user
THE QUIZES AND FLASHCARDS ARE SO USEFUL AND I LOVE Knowunity AI. IT ALSO IS LITREALLY LIKE CHATGPT BUT SMARTER!! HELPED ME WITH MY MASCARA PROBLEMS TOO!! AS WELL AS MY REAL SUBJECTS ! DUHHH 😍😁😲🤑💗✨🎀😮
Elisha
iOS user
This apps acc the goat. I find revision so boring but this app makes it so easy to organize it all and then you can ask the freeeee ai to test yourself so good and you can easily upload your own stuff. highly recommend as someone taking mocks now
Paul T
iOS user