Ever wondered what actually happens when someone threatens you or... Show more
Sign up to see the contentIt's free!
Access to all documents
Improve your grades
Join milions of students
By signing up you accept Terms of Service and Privacy Policy
Responding to change (a2 only)
Infection and response
Homeostasis and response
Energy transfers (a2 only)
Cell biology
Organisms respond to changes in their internal and external environments (a-level only)
Biological molecules
Organisation
Substance exchange
Bioenergetics
Genetic information & variation
Inheritance, variation and evolution
Genetics & ecosystems (a2 only)
Ecology
Cells
Show all topics
Britain & the wider world: 1745 -1901
1l the quest for political stability: germany, 1871-1991
The cold war
Inter-war germany
Medieval period: 1066 -1509
2d religious conflict and the church in england, c1529-c1570
2o democracy and nazism: germany, 1918-1945
1f industrialisation and the people: britain, c1783-1885
1c the tudors: england, 1485-1603
2m wars and welfare: britain in transition, 1906-1957
World war two & the holocaust
2n revolution and dictatorship: russia, 1917-1953
2s the making of modern britain, 1951-2007
World war one
Britain: 1509 -1745
Show all topics

22
0
Muslima Boltayeva
10/12/2025
Law
OCR A Level Law Non-Fatal Offences
894
•
10 Dec 2025
•
Muslima Boltayeva
@muslimaboltayeva_innz
Ever wondered what actually happens when someone threatens you or... Show more











Assault doesn't require any physical contact - it's all about making someone fear they're about to be hurt. The actus reus (guilty act) happens when your actions or words make someone genuinely afraid of immediate unlawful violence.
Think threatening gestures like raising your hand, shaking a fist, or even staying silent on the phone. In R v Ireland (1997), silent phone calls over three months counted as assault. R v Constanza showed that 800 threatening letters could create assault if they caused fear of violence.
The key case Smith v Chief Superintendent of Woking (1983) proves that "immediate" can mean right now - even through a window. However, Tuberville v Savage (1669) shows words can sometimes cancel out threatening actions if they clearly indicate no violence will happen.
Remember: For assault, you need either direct intention to cause fear OR subjective recklessness about causing that fear - as defined in R v Mohan and R v Cunningham.

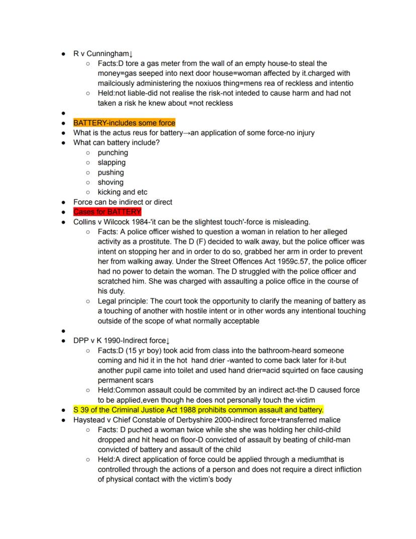
Battery steps things up by involving actual force, but here's the thing - it doesn't need to cause injury. The actus reus is simply applying some force to another person, whether that's punching, slapping, pushing, or even the slightest touch.
Collins v Wilcock (1984) established that battery can be "the slightest touch" with hostile intent - basically any intentional touching outside what's normally acceptable. Force doesn't have to be direct either.
DPP v K (1990) involved a 15-year-old who hid acid in a hand dryer, which later injured another student. This proved indirect force still counts. Haystead v Chief Constable of Derbyshire (2000) went further - when someone punched a woman holding a baby and the baby fell, that counted as battery against the child too.
Key Point: Battery can be a continuing act (Fagan v Metropolitan Police 1968) or even an omission if you fail to warn someone about danger, like needles in your pocket .

Actual Bodily Harm (ABH) under s.47 Offences Against the Person Act 1861 kicks in when assault or battery causes injury. You need the original assault/battery plus harm that's "not so trivial as to be wholly insignificant" (Chan-Fook 1994).
R v Miller (1954) defined ABH as "any hurt or injury calculated to interfere with health or comfort." This includes bruises, scratches, broken noses, causing someone to vomit, or even cutting someone's hair (R v Smith 2006). Losing consciousness, even briefly, definitely counts (T v DPP 2003).
Here's what's clever about ABH - you don't need to intend the injury itself. R v Roberts (1971) and R v Savage (1991) confirmed you only need intention or recklessness about the original assault or battery. If someone gets hurt as a result, that's ABH.
Watch Out: Psychiatric injury can count as ABH, but simple fear, distress, or panic doesn't - it has to be genuine medical harm to your mental state.

Grievous Bodily Harm (GBH) covers the really serious stuff under s.20 and s.18 OAPA 1861. DPP v Smith (1961) defined GBH as "really serious harm" - think severe psychiatric harm, HIV infection (R v Dica 2004), or injuries that would be serious for that particular victim.
Wounding means cutting or breaking both layers of skin completely. JJC v Eisenhower (1983) clarified that internal bleeding without a skin break doesn't count as wounding - you need an actual cut through the whole skin.
R v Bollom (2003) shows that victim characteristics matter massively. Bruising on a healthy adult might be ABH, but the same bruising on a 17-month-old baby could be GBH because of their age and vulnerability.
Crucial Difference: s.20 needs intention or recklessness about "some harm" (R v Parmenter), whilst s.18 requires specific intent to cause GBH or wounding - that's why s.18 carries life imprisonment versus s.20's maximum of 5 years.






Our AI Companion is a student-focused AI tool that offers more than just answers. Built on millions of Knowunity resources, it provides relevant information, personalised study plans, quizzes, and content directly in the chat, adapting to your individual learning journey.
You can download the app from Google Play Store and Apple App Store.
That's right! Enjoy free access to study content, connect with fellow students, and get instant help – all at your fingertips.
Quotes from every main character
App Store
Google Play
The app is very easy to use and well designed. I have found everything I was looking for so far and have been able to learn a lot from the presentations! I will definitely use the app for a class assignment! And of course it also helps a lot as an inspiration.
Stefan S
iOS user
This app is really great. There are so many study notes and help [...]. My problem subject is French, for example, and the app has so many options for help. Thanks to this app, I have improved my French. I would recommend it to anyone.
Samantha Klich
Android user
Wow, I am really amazed. I just tried the app because I've seen it advertised many times and was absolutely stunned. This app is THE HELP you want for school and above all, it offers so many things, such as workouts and fact sheets, which have been VERY helpful to me personally.
Anna
iOS user
Best app on earth! no words because it’s too good
Thomas R
iOS user
Just amazing. Let's me revise 10x better, this app is a quick 10/10. I highly recommend it to anyone. I can watch and search for notes. I can save them in the subject folder. I can revise it any time when I come back. If you haven't tried this app, you're really missing out.
Basil
Android user
This app has made me feel so much more confident in my exam prep, not only through boosting my own self confidence through the features that allow you to connect with others and feel less alone, but also through the way the app itself is centred around making you feel better. It is easy to navigate, fun to use, and helpful to anyone struggling in absolutely any way.
David K
iOS user
The app's just great! All I have to do is enter the topic in the search bar and I get the response real fast. I don't have to watch 10 YouTube videos to understand something, so I'm saving my time. Highly recommended!
Sudenaz Ocak
Android user
In school I was really bad at maths but thanks to the app, I am doing better now. I am so grateful that you made the app.
Greenlight Bonnie
Android user
very reliable app to help and grow your ideas of Maths, English and other related topics in your works. please use this app if your struggling in areas, this app is key for that. wish I'd of done a review before. and it's also free so don't worry about that.
Rohan U
Android user
I know a lot of apps use fake accounts to boost their reviews but this app deserves it all. Originally I was getting 4 in my English exams and this time I got a grade 7. I didn’t even know about this app three days until the exam and it has helped A LOT. Please actually trust me and use it as I’m sure you too will see developments.
Xander S
iOS user
THE QUIZES AND FLASHCARDS ARE SO USEFUL AND I LOVE THE SCHOOLGPT. IT ALSO IS LITREALLY LIKE CHATGPT BUT SMARTER!! HELPED ME WITH MY MASCARA PROBLEMS TOO!! AS WELL AS MY REAL SUBJECTS ! DUHHH 😍😁😲🤑💗✨🎀😮
Elisha
iOS user
This apps acc the goat. I find revision so boring but this app makes it so easy to organize it all and then you can ask the freeeee ai to test yourself so good and you can easily upload your own stuff. highly recommend as someone taking mocks now
Paul T
iOS user
The app is very easy to use and well designed. I have found everything I was looking for so far and have been able to learn a lot from the presentations! I will definitely use the app for a class assignment! And of course it also helps a lot as an inspiration.
Stefan S
iOS user
This app is really great. There are so many study notes and help [...]. My problem subject is French, for example, and the app has so many options for help. Thanks to this app, I have improved my French. I would recommend it to anyone.
Samantha Klich
Android user
Wow, I am really amazed. I just tried the app because I've seen it advertised many times and was absolutely stunned. This app is THE HELP you want for school and above all, it offers so many things, such as workouts and fact sheets, which have been VERY helpful to me personally.
Anna
iOS user
Best app on earth! no words because it’s too good
Thomas R
iOS user
Just amazing. Let's me revise 10x better, this app is a quick 10/10. I highly recommend it to anyone. I can watch and search for notes. I can save them in the subject folder. I can revise it any time when I come back. If you haven't tried this app, you're really missing out.
Basil
Android user
This app has made me feel so much more confident in my exam prep, not only through boosting my own self confidence through the features that allow you to connect with others and feel less alone, but also through the way the app itself is centred around making you feel better. It is easy to navigate, fun to use, and helpful to anyone struggling in absolutely any way.
David K
iOS user
The app's just great! All I have to do is enter the topic in the search bar and I get the response real fast. I don't have to watch 10 YouTube videos to understand something, so I'm saving my time. Highly recommended!
Sudenaz Ocak
Android user
In school I was really bad at maths but thanks to the app, I am doing better now. I am so grateful that you made the app.
Greenlight Bonnie
Android user
very reliable app to help and grow your ideas of Maths, English and other related topics in your works. please use this app if your struggling in areas, this app is key for that. wish I'd of done a review before. and it's also free so don't worry about that.
Rohan U
Android user
I know a lot of apps use fake accounts to boost their reviews but this app deserves it all. Originally I was getting 4 in my English exams and this time I got a grade 7. I didn’t even know about this app three days until the exam and it has helped A LOT. Please actually trust me and use it as I’m sure you too will see developments.
Xander S
iOS user
THE QUIZES AND FLASHCARDS ARE SO USEFUL AND I LOVE THE SCHOOLGPT. IT ALSO IS LITREALLY LIKE CHATGPT BUT SMARTER!! HELPED ME WITH MY MASCARA PROBLEMS TOO!! AS WELL AS MY REAL SUBJECTS ! DUHHH 😍😁😲🤑💗✨🎀😮
Elisha
iOS user
This apps acc the goat. I find revision so boring but this app makes it so easy to organize it all and then you can ask the freeeee ai to test yourself so good and you can easily upload your own stuff. highly recommend as someone taking mocks now
Paul T
iOS user
Muslima Boltayeva
@muslimaboltayeva_innz
Ever wondered what actually happens when someone threatens you or gets into a fight? Understanding assault, battery, and the different levels of harm in criminal law isn't just academic - it's stuff that affects real situations you might encounter. These... Show more

Access to all documents
Improve your grades
Join milions of students
By signing up you accept Terms of Service and Privacy Policy
Assault doesn't require any physical contact - it's all about making someone fear they're about to be hurt. The actus reus (guilty act) happens when your actions or words make someone genuinely afraid of immediate unlawful violence.
Think threatening gestures like raising your hand, shaking a fist, or even staying silent on the phone. In R v Ireland (1997), silent phone calls over three months counted as assault. R v Constanza showed that 800 threatening letters could create assault if they caused fear of violence.
The key case Smith v Chief Superintendent of Woking (1983) proves that "immediate" can mean right now - even through a window. However, Tuberville v Savage (1669) shows words can sometimes cancel out threatening actions if they clearly indicate no violence will happen.
Remember: For assault, you need either direct intention to cause fear OR subjective recklessness about causing that fear - as defined in R v Mohan and R v Cunningham.

Access to all documents
Improve your grades
Join milions of students
By signing up you accept Terms of Service and Privacy Policy
Battery steps things up by involving actual force, but here's the thing - it doesn't need to cause injury. The actus reus is simply applying some force to another person, whether that's punching, slapping, pushing, or even the slightest touch.
Collins v Wilcock (1984) established that battery can be "the slightest touch" with hostile intent - basically any intentional touching outside what's normally acceptable. Force doesn't have to be direct either.
DPP v K (1990) involved a 15-year-old who hid acid in a hand dryer, which later injured another student. This proved indirect force still counts. Haystead v Chief Constable of Derbyshire (2000) went further - when someone punched a woman holding a baby and the baby fell, that counted as battery against the child too.
Key Point: Battery can be a continuing act (Fagan v Metropolitan Police 1968) or even an omission if you fail to warn someone about danger, like needles in your pocket .

Access to all documents
Improve your grades
Join milions of students
By signing up you accept Terms of Service and Privacy Policy
Actual Bodily Harm (ABH) under s.47 Offences Against the Person Act 1861 kicks in when assault or battery causes injury. You need the original assault/battery plus harm that's "not so trivial as to be wholly insignificant" (Chan-Fook 1994).
R v Miller (1954) defined ABH as "any hurt or injury calculated to interfere with health or comfort." This includes bruises, scratches, broken noses, causing someone to vomit, or even cutting someone's hair (R v Smith 2006). Losing consciousness, even briefly, definitely counts (T v DPP 2003).
Here's what's clever about ABH - you don't need to intend the injury itself. R v Roberts (1971) and R v Savage (1991) confirmed you only need intention or recklessness about the original assault or battery. If someone gets hurt as a result, that's ABH.
Watch Out: Psychiatric injury can count as ABH, but simple fear, distress, or panic doesn't - it has to be genuine medical harm to your mental state.

Access to all documents
Improve your grades
Join milions of students
By signing up you accept Terms of Service and Privacy Policy
Grievous Bodily Harm (GBH) covers the really serious stuff under s.20 and s.18 OAPA 1861. DPP v Smith (1961) defined GBH as "really serious harm" - think severe psychiatric harm, HIV infection (R v Dica 2004), or injuries that would be serious for that particular victim.
Wounding means cutting or breaking both layers of skin completely. JJC v Eisenhower (1983) clarified that internal bleeding without a skin break doesn't count as wounding - you need an actual cut through the whole skin.
R v Bollom (2003) shows that victim characteristics matter massively. Bruising on a healthy adult might be ABH, but the same bruising on a 17-month-old baby could be GBH because of their age and vulnerability.
Crucial Difference: s.20 needs intention or recklessness about "some harm" (R v Parmenter), whilst s.18 requires specific intent to cause GBH or wounding - that's why s.18 carries life imprisonment versus s.20's maximum of 5 years.

Access to all documents
Improve your grades
Join milions of students
By signing up you accept Terms of Service and Privacy Policy

Access to all documents
Improve your grades
Join milions of students
By signing up you accept Terms of Service and Privacy Policy

Access to all documents
Improve your grades
Join milions of students
By signing up you accept Terms of Service and Privacy Policy

Access to all documents
Improve your grades
Join milions of students
By signing up you accept Terms of Service and Privacy Policy

Access to all documents
Improve your grades
Join milions of students
By signing up you accept Terms of Service and Privacy Policy

Access to all documents
Improve your grades
Join milions of students
By signing up you accept Terms of Service and Privacy Policy
Our AI Companion is a student-focused AI tool that offers more than just answers. Built on millions of Knowunity resources, it provides relevant information, personalised study plans, quizzes, and content directly in the chat, adapting to your individual learning journey.
You can download the app from Google Play Store and Apple App Store.
That's right! Enjoy free access to study content, connect with fellow students, and get instant help – all at your fingertips.
22
Smart Tools NEW
Transform this note into: ✓ 50+ Practice Questions ✓ Interactive Flashcards ✓ Full Mock Exam ✓ Essay Outlines
Quotes from every main character
App Store
Google Play
The app is very easy to use and well designed. I have found everything I was looking for so far and have been able to learn a lot from the presentations! I will definitely use the app for a class assignment! And of course it also helps a lot as an inspiration.
Stefan S
iOS user
This app is really great. There are so many study notes and help [...]. My problem subject is French, for example, and the app has so many options for help. Thanks to this app, I have improved my French. I would recommend it to anyone.
Samantha Klich
Android user
Wow, I am really amazed. I just tried the app because I've seen it advertised many times and was absolutely stunned. This app is THE HELP you want for school and above all, it offers so many things, such as workouts and fact sheets, which have been VERY helpful to me personally.
Anna
iOS user
Best app on earth! no words because it’s too good
Thomas R
iOS user
Just amazing. Let's me revise 10x better, this app is a quick 10/10. I highly recommend it to anyone. I can watch and search for notes. I can save them in the subject folder. I can revise it any time when I come back. If you haven't tried this app, you're really missing out.
Basil
Android user
This app has made me feel so much more confident in my exam prep, not only through boosting my own self confidence through the features that allow you to connect with others and feel less alone, but also through the way the app itself is centred around making you feel better. It is easy to navigate, fun to use, and helpful to anyone struggling in absolutely any way.
David K
iOS user
The app's just great! All I have to do is enter the topic in the search bar and I get the response real fast. I don't have to watch 10 YouTube videos to understand something, so I'm saving my time. Highly recommended!
Sudenaz Ocak
Android user
In school I was really bad at maths but thanks to the app, I am doing better now. I am so grateful that you made the app.
Greenlight Bonnie
Android user
very reliable app to help and grow your ideas of Maths, English and other related topics in your works. please use this app if your struggling in areas, this app is key for that. wish I'd of done a review before. and it's also free so don't worry about that.
Rohan U
Android user
I know a lot of apps use fake accounts to boost their reviews but this app deserves it all. Originally I was getting 4 in my English exams and this time I got a grade 7. I didn’t even know about this app three days until the exam and it has helped A LOT. Please actually trust me and use it as I’m sure you too will see developments.
Xander S
iOS user
THE QUIZES AND FLASHCARDS ARE SO USEFUL AND I LOVE THE SCHOOLGPT. IT ALSO IS LITREALLY LIKE CHATGPT BUT SMARTER!! HELPED ME WITH MY MASCARA PROBLEMS TOO!! AS WELL AS MY REAL SUBJECTS ! DUHHH 😍😁😲🤑💗✨🎀😮
Elisha
iOS user
This apps acc the goat. I find revision so boring but this app makes it so easy to organize it all and then you can ask the freeeee ai to test yourself so good and you can easily upload your own stuff. highly recommend as someone taking mocks now
Paul T
iOS user
The app is very easy to use and well designed. I have found everything I was looking for so far and have been able to learn a lot from the presentations! I will definitely use the app for a class assignment! And of course it also helps a lot as an inspiration.
Stefan S
iOS user
This app is really great. There are so many study notes and help [...]. My problem subject is French, for example, and the app has so many options for help. Thanks to this app, I have improved my French. I would recommend it to anyone.
Samantha Klich
Android user
Wow, I am really amazed. I just tried the app because I've seen it advertised many times and was absolutely stunned. This app is THE HELP you want for school and above all, it offers so many things, such as workouts and fact sheets, which have been VERY helpful to me personally.
Anna
iOS user
Best app on earth! no words because it’s too good
Thomas R
iOS user
Just amazing. Let's me revise 10x better, this app is a quick 10/10. I highly recommend it to anyone. I can watch and search for notes. I can save them in the subject folder. I can revise it any time when I come back. If you haven't tried this app, you're really missing out.
Basil
Android user
This app has made me feel so much more confident in my exam prep, not only through boosting my own self confidence through the features that allow you to connect with others and feel less alone, but also through the way the app itself is centred around making you feel better. It is easy to navigate, fun to use, and helpful to anyone struggling in absolutely any way.
David K
iOS user
The app's just great! All I have to do is enter the topic in the search bar and I get the response real fast. I don't have to watch 10 YouTube videos to understand something, so I'm saving my time. Highly recommended!
Sudenaz Ocak
Android user
In school I was really bad at maths but thanks to the app, I am doing better now. I am so grateful that you made the app.
Greenlight Bonnie
Android user
very reliable app to help and grow your ideas of Maths, English and other related topics in your works. please use this app if your struggling in areas, this app is key for that. wish I'd of done a review before. and it's also free so don't worry about that.
Rohan U
Android user
I know a lot of apps use fake accounts to boost their reviews but this app deserves it all. Originally I was getting 4 in my English exams and this time I got a grade 7. I didn’t even know about this app three days until the exam and it has helped A LOT. Please actually trust me and use it as I’m sure you too will see developments.
Xander S
iOS user
THE QUIZES AND FLASHCARDS ARE SO USEFUL AND I LOVE THE SCHOOLGPT. IT ALSO IS LITREALLY LIKE CHATGPT BUT SMARTER!! HELPED ME WITH MY MASCARA PROBLEMS TOO!! AS WELL AS MY REAL SUBJECTS ! DUHHH 😍😁😲🤑💗✨🎀😮
Elisha
iOS user
This apps acc the goat. I find revision so boring but this app makes it so easy to organize it all and then you can ask the freeeee ai to test yourself so good and you can easily upload your own stuff. highly recommend as someone taking mocks now
Paul T
iOS user