Matrices are essential mathematical tools that help organize and manipulate... Show more
Sign up to see the contentIt's free!
Access to all documents
Improve your grades
Join milions of students
Knowunity AI
Subjects
Triangle Congruence and Similarity Theorems
Triangle Properties and Classification
Linear Equations and Graphs
Geometric Angle Relationships
Trigonometric Functions and Identities
Equation Solving Techniques
Circle Geometry Fundamentals
Division Operations and Methods
Basic Differentiation Rules
Exponent and Logarithm Properties
Show all topics
Human Organ Systems
Reproductive Cell Cycles
Biological Sciences Subdisciplines
Cellular Energy Metabolism
Autotrophic Energy Processes
Inheritance Patterns and Principles
Biomolecular Structure and Organization
Cell Cycle and Division Mechanics
Cellular Organization and Development
Biological Structural Organization
Show all topics
Chemical Sciences and Applications
Atomic Structure and Composition
Molecular Electron Structure Representation
Atomic Electron Behavior
Matter Properties and Water
Mole Concept and Calculations
Gas Laws and Behavior
Periodic Table Organization
Chemical Thermodynamics Fundamentals
Chemical Bond Types and Properties
Show all topics
European Renaissance and Enlightenment
European Cultural Movements 800-1920
American Revolution Era 1763-1797
American Civil War 1861-1865
Global Imperial Systems
Mongol and Chinese Dynasties
U.S. Presidents and World Leaders
Historical Sources and Documentation
World Wars Era and Impact
World Religious Systems
Show all topics
Classic and Contemporary Novels
Literary Character Analysis
Rhetorical Theory and Practice
Classic Literary Narratives
Reading Analysis and Interpretation
Narrative Structure and Techniques
English Language Components
Influential English-Language Authors
Basic Sentence Structure
Narrative Voice and Perspective
Show all topics
78
•
Updated Mar 21, 2026
•
Ann
@ann_jznv
Matrices are essential mathematical tools that help organize and manipulate... Show more











Learning the fundamentals of matrix math requires understanding several key components that form the foundation of linear algebra. Matrices are rectangular arrays of numbers organized in rows and columns, serving as powerful tools in mathematics, engineering, and computer science.
The dimension of a matrix describes its size in terms of rows and columns, written as m×n where m represents rows and n represents columns. When a matrix has an equal number of rows and columns , it's classified as a square matrix. Special cases include column vectors (matrices with one column) and row vectors (matrices with one row).
Definition: A matrix is a rectangular array of numbers arranged in rows and columns, used to represent and solve systems of linear equations, transformations, and other mathematical relationships.
Basic matrix operations follow specific rules regarding dimensions. When adding or subtracting matrices, they must have identical dimensions. This requirement ensures mathematical consistency and allows for element-by-element operations.

Understanding matrix operations and dimensions begins with scalar multiplication, where a single number multiplies every element in a matrix. This operation "scales" the matrix while maintaining its proportions and relationships between elements.
Several special matrices play crucial roles in matrix algebra. The zero matrix contains all zero elements, while the identity matrix (I) is a square matrix with ones on the main diagonal and zeros elsewhere. The identity matrix serves a similar function to the number 1 in regular arithmetic - multiplying any matrix by the identity matrix leaves it unchanged.
Highlight: The identity matrix is crucial in matrix operations as it acts like the number 1 in regular arithmetic: AI = IA = A for any matrix A.
Matrix multiplication follows more complex rules than basic arithmetic. When multiplying matrices, the number of columns in the first matrix must equal the number of rows in the second matrix. The resulting matrix's dimensions will have the same number of rows as the first matrix and the same number of columns as the second matrix.

Scalar multiplication and special matrices explained through their properties and applications helps understand more complex operations. Matrix multiplication involves taking the dot product of rows from the first matrix with columns from the second matrix, creating each element in the resulting matrix.
The dimensions of multiplied matrices must be compatible. For example, a 2×3 matrix can multiply a 3×4 matrix, resulting in a 2×4 matrix. However, a 2×3 matrix cannot multiply a 2×4 matrix as their dimensions are incompatible.
Example: When multiplying a 2×3 matrix by a 3×2 matrix:
- The result will be a 2×2 matrix
- Each element requires multiplying corresponding row elements by column elements and summing the products
- The process must be repeated for each position in the resulting matrix

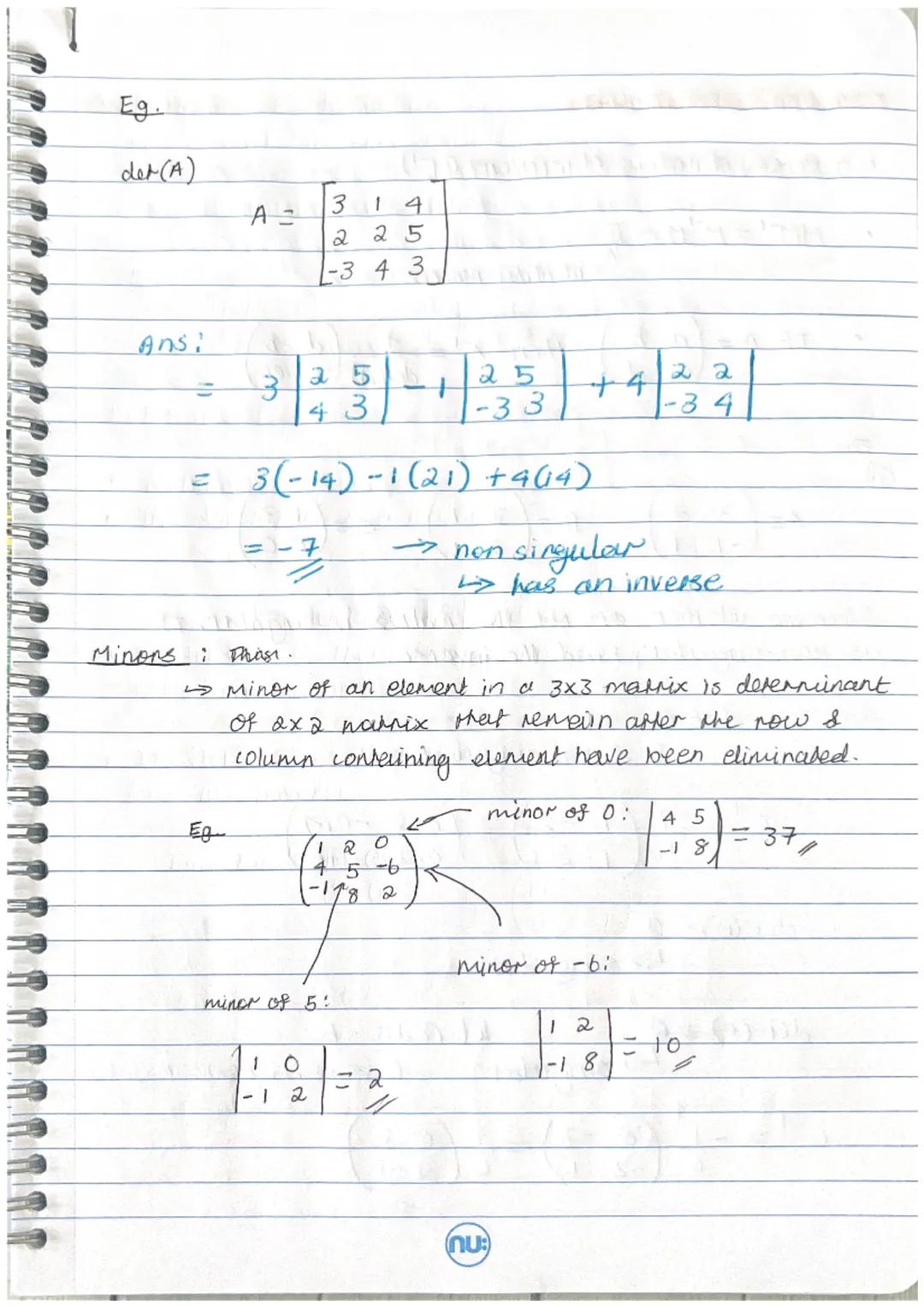
The determinant is a special number calculated from a square matrix that provides important information about the matrix's properties. For a 2×2 matrix, the determinant is calculated using the formula ad-bc, where the matrix elements are arranged as [a b; c d].
A matrix's determinant determines whether it has an inverse. If the determinant equals zero, the matrix is singular and has no inverse. If the determinant is not zero, the matrix is non-singular and has an inverse. This property is crucial in solving systems of linear equations and understanding matrix transformations.
Vocabulary: The determinant of a matrix, denoted as det(A), is a scalar value that provides information about the matrix's invertibility and other important properties.
Understanding these concepts allows for effective manipulation of matrices in various applications, from computer graphics to economic modeling.

When working with matrices, calculating determinants and finding inverses are essential fundamentals of matrix math that every student should master. Let's explore these concepts in detail with clear examples and thorough explanations.
For a 3×3 matrix, the determinant can be calculated using the cofactor expansion method. This involves selecting elements from one row or column and multiplying them by their corresponding cofactors, while considering the appropriate signs.
Definition: A cofactor is the signed minor of a matrix element. The sign is determined by the position of the element: positive for positions where row + column is even, negative where it's odd.
When finding the inverse of a matrix, we first need to confirm that the matrix is non-singular (its determinant is not zero). For a 2×2 matrix, the inverse can be found using the adjugate formula, while 3×3 matrices require a more complex process involving cofactors.

Understanding matrix operations and dimensions is crucial when working with matrix inverses. The relationship between a matrix and its inverse follows specific rules that help us solve complex problems.
For any non-singular matrices P and Q, we can prove that (PQ)⁻¹ = Q⁻¹P⁻¹. This property is particularly useful in solving systems of equations and proving matrix relationships.
Example: If matrices A and B are non-singular and BAB = I (where I is the identity matrix), then A must equal B⁻¹B⁻¹. This can be proven through systematic application of inverse properties.
The process of finding matrix inverses requires careful attention to sign patterns and proper application of cofactor formulas. Understanding these patterns helps avoid common errors in calculations.

When working with 3×3 matrices, scalar multiplication and special matrices become more complex. The process of finding inverses involves multiple steps that must be followed precisely.
Highlight: To find the inverse of a 3×3 matrix:
Each step builds upon the previous one, creating a systematic approach to solving matrix problems. Understanding the relationship between minors, cofactors, and determinants is essential for mastering these calculations.
The final inverse matrix must satisfy the property that when multiplied by the original matrix, it produces the identity matrix. This serves as a crucial check for accuracy in calculations.

Matrix inverses have numerous practical applications in fields ranging from computer graphics to economic modeling. Understanding how to calculate them efficiently is crucial for solving real-world problems.
When working with larger matrices, systematic organization becomes increasingly important. Creating a clear structure for calculations helps avoid errors and makes the process more manageable.
Vocabulary: A minor of a matrix element is the determinant of the smaller matrix formed by eliminating the row and column containing that element.
The relationship between determinants and matrix invertibility provides a powerful tool for analyzing systems of equations. A matrix is invertible if and only if its determinant is non-zero, making this calculation a crucial first step in many matrix operations.

Understanding matrix operations and dimensions is crucial when solving systems of simultaneous equations. Matrices provide an elegant and systematic approach to handling multiple equations with multiple variables, making complex problem-solving more manageable and organized.
When working with simultaneous equations, we can transform them into matrix form by arranging coefficients, variables, and constants in a structured format. The process involves creating a coefficient matrix A, a variable matrix X, and a constant matrix B, following the standard form AX = B. This matrix representation allows us to utilize powerful matrix operations to find solutions efficiently.
Definition: A system of simultaneous equations can be expressed in matrix form as AX = B, where A is the coefficient matrix, X is the variable matrix, and B is the constant matrix.
Consider a practical example of solving three simultaneous equations: -x + 2y - 2z = 21 6x - 2y - z = -16 -2x + 3y + 5z = 24
The coefficient matrix A would be:
|-1 2 -2|
| 6 -2 -1|
|-2 3 5|
Example: To solve this system, we multiply both sides by the inverse of matrix A (A⁻¹). This gives us X = A⁻¹B, where X contains our solution values for x, y, and z.

The fundamentals of matrix math study guide emphasizes the importance of understanding inverse matrices when solving simultaneous equations. The inverse matrix method is particularly powerful because it provides a direct path to the solution, though it requires careful attention to matrix properties and operations.
When applying scalar multiplication and special matrices explained concepts, we must ensure our coefficient matrix is invertible . This requirement highlights the connection between determinants, matrix invertibility, and the existence of unique solutions in simultaneous equations.
Highlight: The solution to a system of simultaneous equations exists and is unique if and only if the coefficient matrix A is invertible .
After performing the necessary matrix operations in our example, we obtain the solution: x = 1 y = 4 z = 2
This solution can be verified by substituting these values back into the original equations. The matrix method not only provides the solution but also demonstrates the interconnected nature of linear algebra concepts, from basic matrix operations to advanced applications in solving complex systems of equations.
Our AI Companion is a student-focused AI tool that offers more than just answers. Built on millions of Knowunity resources, it provides relevant information, personalised study plans, quizzes, and content directly in the chat, adapting to your individual learning journey.
You can download the app from Google Play Store and Apple App Store.
That's right! Enjoy free access to study content, connect with fellow students, and get instant help – all at your fingertips.
Explore the four essential methods of proof in mathematics: deduction, exhaustion, counterexample, and contradiction. This summary provides clear definitions and examples for each technique, making it ideal for A-level students seeking to strengthen their understanding of mathematical proofs.
Explore the essential techniques for simplifying surds, including multiplication, division, and rationalizing denominators. This summary covers key concepts such as exponents, radical expressions, and step-by-step methods to express surds in their simplest form. Ideal for students looking to enhance their understanding of radical mathematics.
App Store
Google Play
The app is very easy to use and well designed. I have found everything I was looking for so far and have been able to learn a lot from the presentations! I will definitely use the app for a class assignment! And of course it also helps a lot as an inspiration.
Stefan S
iOS user
This app is really great. There are so many study notes and help [...]. My problem subject is French, for example, and the app has so many options for help. Thanks to this app, I have improved my French. I would recommend it to anyone.
Samantha Klich
Android user
Wow, I am really amazed. I just tried the app because I've seen it advertised many times and was absolutely stunned. This app is THE HELP you want for school and above all, it offers so many things, such as workouts and fact sheets, which have been VERY helpful to me personally.
Anna
iOS user
Best app on earth! no words because it’s too good
Thomas R
iOS user
Just amazing. Let's me revise 10x better, this app is a quick 10/10. I highly recommend it to anyone. I can watch and search for notes. I can save them in the subject folder. I can revise it any time when I come back. If you haven't tried this app, you're really missing out.
Basil
Android user
This app has made me feel so much more confident in my exam prep, not only through boosting my own self confidence through the features that allow you to connect with others and feel less alone, but also through the way the app itself is centred around making you feel better. It is easy to navigate, fun to use, and helpful to anyone struggling in absolutely any way.
David K
iOS user
The app's just great! All I have to do is enter the topic in the search bar and I get the response real fast. I don't have to watch 10 YouTube videos to understand something, so I'm saving my time. Highly recommended!
Sudenaz Ocak
Android user
In school I was really bad at maths but thanks to the app, I am doing better now. I am so grateful that you made the app.
Greenlight Bonnie
Android user
very reliable app to help and grow your ideas of Maths, English and other related topics in your works. please use this app if your struggling in areas, this app is key for that. wish I'd of done a review before. and it's also free so don't worry about that.
Rohan U
Android user
I know a lot of apps use fake accounts to boost their reviews but this app deserves it all. Originally I was getting 4 in my English exams and this time I got a grade 7. I didn’t even know about this app three days until the exam and it has helped A LOT. Please actually trust me and use it as I’m sure you too will see developments.
Xander S
iOS user
THE QUIZES AND FLASHCARDS ARE SO USEFUL AND I LOVE Knowunity AI. IT ALSO IS LITREALLY LIKE CHATGPT BUT SMARTER!! HELPED ME WITH MY MASCARA PROBLEMS TOO!! AS WELL AS MY REAL SUBJECTS ! DUHHH 😍😁😲🤑💗✨🎀😮
Elisha
iOS user
This apps acc the goat. I find revision so boring but this app makes it so easy to organize it all and then you can ask the freeeee ai to test yourself so good and you can easily upload your own stuff. highly recommend as someone taking mocks now
Paul T
iOS user
The app is very easy to use and well designed. I have found everything I was looking for so far and have been able to learn a lot from the presentations! I will definitely use the app for a class assignment! And of course it also helps a lot as an inspiration.
Stefan S
iOS user
This app is really great. There are so many study notes and help [...]. My problem subject is French, for example, and the app has so many options for help. Thanks to this app, I have improved my French. I would recommend it to anyone.
Samantha Klich
Android user
Wow, I am really amazed. I just tried the app because I've seen it advertised many times and was absolutely stunned. This app is THE HELP you want for school and above all, it offers so many things, such as workouts and fact sheets, which have been VERY helpful to me personally.
Anna
iOS user
Best app on earth! no words because it’s too good
Thomas R
iOS user
Just amazing. Let's me revise 10x better, this app is a quick 10/10. I highly recommend it to anyone. I can watch and search for notes. I can save them in the subject folder. I can revise it any time when I come back. If you haven't tried this app, you're really missing out.
Basil
Android user
This app has made me feel so much more confident in my exam prep, not only through boosting my own self confidence through the features that allow you to connect with others and feel less alone, but also through the way the app itself is centred around making you feel better. It is easy to navigate, fun to use, and helpful to anyone struggling in absolutely any way.
David K
iOS user
The app's just great! All I have to do is enter the topic in the search bar and I get the response real fast. I don't have to watch 10 YouTube videos to understand something, so I'm saving my time. Highly recommended!
Sudenaz Ocak
Android user
In school I was really bad at maths but thanks to the app, I am doing better now. I am so grateful that you made the app.
Greenlight Bonnie
Android user
very reliable app to help and grow your ideas of Maths, English and other related topics in your works. please use this app if your struggling in areas, this app is key for that. wish I'd of done a review before. and it's also free so don't worry about that.
Rohan U
Android user
I know a lot of apps use fake accounts to boost their reviews but this app deserves it all. Originally I was getting 4 in my English exams and this time I got a grade 7. I didn’t even know about this app three days until the exam and it has helped A LOT. Please actually trust me and use it as I’m sure you too will see developments.
Xander S
iOS user
THE QUIZES AND FLASHCARDS ARE SO USEFUL AND I LOVE Knowunity AI. IT ALSO IS LITREALLY LIKE CHATGPT BUT SMARTER!! HELPED ME WITH MY MASCARA PROBLEMS TOO!! AS WELL AS MY REAL SUBJECTS ! DUHHH 😍😁😲🤑💗✨🎀😮
Elisha
iOS user
This apps acc the goat. I find revision so boring but this app makes it so easy to organize it all and then you can ask the freeeee ai to test yourself so good and you can easily upload your own stuff. highly recommend as someone taking mocks now
Paul T
iOS user
Ann
@ann_jznv
Matrices are essential mathematical tools that help organize and manipulate data in rows and columns. The fundamentals of matrix math study guide covers key concepts needed to work effectively with these powerful mathematical structures.
When working with matrices, it's crucial... Show more

Access to all documents
Improve your grades
Join milions of students
Learning the fundamentals of matrix math requires understanding several key components that form the foundation of linear algebra. Matrices are rectangular arrays of numbers organized in rows and columns, serving as powerful tools in mathematics, engineering, and computer science.
The dimension of a matrix describes its size in terms of rows and columns, written as m×n where m represents rows and n represents columns. When a matrix has an equal number of rows and columns , it's classified as a square matrix. Special cases include column vectors (matrices with one column) and row vectors (matrices with one row).
Definition: A matrix is a rectangular array of numbers arranged in rows and columns, used to represent and solve systems of linear equations, transformations, and other mathematical relationships.
Basic matrix operations follow specific rules regarding dimensions. When adding or subtracting matrices, they must have identical dimensions. This requirement ensures mathematical consistency and allows for element-by-element operations.

Access to all documents
Improve your grades
Join milions of students
Understanding matrix operations and dimensions begins with scalar multiplication, where a single number multiplies every element in a matrix. This operation "scales" the matrix while maintaining its proportions and relationships between elements.
Several special matrices play crucial roles in matrix algebra. The zero matrix contains all zero elements, while the identity matrix (I) is a square matrix with ones on the main diagonal and zeros elsewhere. The identity matrix serves a similar function to the number 1 in regular arithmetic - multiplying any matrix by the identity matrix leaves it unchanged.
Highlight: The identity matrix is crucial in matrix operations as it acts like the number 1 in regular arithmetic: AI = IA = A for any matrix A.
Matrix multiplication follows more complex rules than basic arithmetic. When multiplying matrices, the number of columns in the first matrix must equal the number of rows in the second matrix. The resulting matrix's dimensions will have the same number of rows as the first matrix and the same number of columns as the second matrix.

Access to all documents
Improve your grades
Join milions of students
Scalar multiplication and special matrices explained through their properties and applications helps understand more complex operations. Matrix multiplication involves taking the dot product of rows from the first matrix with columns from the second matrix, creating each element in the resulting matrix.
The dimensions of multiplied matrices must be compatible. For example, a 2×3 matrix can multiply a 3×4 matrix, resulting in a 2×4 matrix. However, a 2×3 matrix cannot multiply a 2×4 matrix as their dimensions are incompatible.
Example: When multiplying a 2×3 matrix by a 3×2 matrix:
- The result will be a 2×2 matrix
- Each element requires multiplying corresponding row elements by column elements and summing the products
- The process must be repeated for each position in the resulting matrix

Access to all documents
Improve your grades
Join milions of students
The determinant is a special number calculated from a square matrix that provides important information about the matrix's properties. For a 2×2 matrix, the determinant is calculated using the formula ad-bc, where the matrix elements are arranged as [a b; c d].
A matrix's determinant determines whether it has an inverse. If the determinant equals zero, the matrix is singular and has no inverse. If the determinant is not zero, the matrix is non-singular and has an inverse. This property is crucial in solving systems of linear equations and understanding matrix transformations.
Vocabulary: The determinant of a matrix, denoted as det(A), is a scalar value that provides information about the matrix's invertibility and other important properties.
Understanding these concepts allows for effective manipulation of matrices in various applications, from computer graphics to economic modeling.

Access to all documents
Improve your grades
Join milions of students
When working with matrices, calculating determinants and finding inverses are essential fundamentals of matrix math that every student should master. Let's explore these concepts in detail with clear examples and thorough explanations.
For a 3×3 matrix, the determinant can be calculated using the cofactor expansion method. This involves selecting elements from one row or column and multiplying them by their corresponding cofactors, while considering the appropriate signs.
Definition: A cofactor is the signed minor of a matrix element. The sign is determined by the position of the element: positive for positions where row + column is even, negative where it's odd.
When finding the inverse of a matrix, we first need to confirm that the matrix is non-singular (its determinant is not zero). For a 2×2 matrix, the inverse can be found using the adjugate formula, while 3×3 matrices require a more complex process involving cofactors.

Access to all documents
Improve your grades
Join milions of students
Understanding matrix operations and dimensions is crucial when working with matrix inverses. The relationship between a matrix and its inverse follows specific rules that help us solve complex problems.
For any non-singular matrices P and Q, we can prove that (PQ)⁻¹ = Q⁻¹P⁻¹. This property is particularly useful in solving systems of equations and proving matrix relationships.
Example: If matrices A and B are non-singular and BAB = I (where I is the identity matrix), then A must equal B⁻¹B⁻¹. This can be proven through systematic application of inverse properties.
The process of finding matrix inverses requires careful attention to sign patterns and proper application of cofactor formulas. Understanding these patterns helps avoid common errors in calculations.

Access to all documents
Improve your grades
Join milions of students
When working with 3×3 matrices, scalar multiplication and special matrices become more complex. The process of finding inverses involves multiple steps that must be followed precisely.
Highlight: To find the inverse of a 3×3 matrix:
Each step builds upon the previous one, creating a systematic approach to solving matrix problems. Understanding the relationship between minors, cofactors, and determinants is essential for mastering these calculations.
The final inverse matrix must satisfy the property that when multiplied by the original matrix, it produces the identity matrix. This serves as a crucial check for accuracy in calculations.

Access to all documents
Improve your grades
Join milions of students
Matrix inverses have numerous practical applications in fields ranging from computer graphics to economic modeling. Understanding how to calculate them efficiently is crucial for solving real-world problems.
When working with larger matrices, systematic organization becomes increasingly important. Creating a clear structure for calculations helps avoid errors and makes the process more manageable.
Vocabulary: A minor of a matrix element is the determinant of the smaller matrix formed by eliminating the row and column containing that element.
The relationship between determinants and matrix invertibility provides a powerful tool for analyzing systems of equations. A matrix is invertible if and only if its determinant is non-zero, making this calculation a crucial first step in many matrix operations.

Access to all documents
Improve your grades
Join milions of students
Understanding matrix operations and dimensions is crucial when solving systems of simultaneous equations. Matrices provide an elegant and systematic approach to handling multiple equations with multiple variables, making complex problem-solving more manageable and organized.
When working with simultaneous equations, we can transform them into matrix form by arranging coefficients, variables, and constants in a structured format. The process involves creating a coefficient matrix A, a variable matrix X, and a constant matrix B, following the standard form AX = B. This matrix representation allows us to utilize powerful matrix operations to find solutions efficiently.
Definition: A system of simultaneous equations can be expressed in matrix form as AX = B, where A is the coefficient matrix, X is the variable matrix, and B is the constant matrix.
Consider a practical example of solving three simultaneous equations: -x + 2y - 2z = 21 6x - 2y - z = -16 -2x + 3y + 5z = 24
The coefficient matrix A would be:
|-1 2 -2|
| 6 -2 -1|
|-2 3 5|
Example: To solve this system, we multiply both sides by the inverse of matrix A (A⁻¹). This gives us X = A⁻¹B, where X contains our solution values for x, y, and z.

Access to all documents
Improve your grades
Join milions of students
The fundamentals of matrix math study guide emphasizes the importance of understanding inverse matrices when solving simultaneous equations. The inverse matrix method is particularly powerful because it provides a direct path to the solution, though it requires careful attention to matrix properties and operations.
When applying scalar multiplication and special matrices explained concepts, we must ensure our coefficient matrix is invertible . This requirement highlights the connection between determinants, matrix invertibility, and the existence of unique solutions in simultaneous equations.
Highlight: The solution to a system of simultaneous equations exists and is unique if and only if the coefficient matrix A is invertible .
After performing the necessary matrix operations in our example, we obtain the solution: x = 1 y = 4 z = 2
This solution can be verified by substituting these values back into the original equations. The matrix method not only provides the solution but also demonstrates the interconnected nature of linear algebra concepts, from basic matrix operations to advanced applications in solving complex systems of equations.
Our AI Companion is a student-focused AI tool that offers more than just answers. Built on millions of Knowunity resources, it provides relevant information, personalised study plans, quizzes, and content directly in the chat, adapting to your individual learning journey.
You can download the app from Google Play Store and Apple App Store.
That's right! Enjoy free access to study content, connect with fellow students, and get instant help – all at your fingertips.
4
Smart Tools NEW
Transform this note into: ✓ 50+ Practice Questions ✓ Interactive Flashcards ✓ Full Mock Exam ✓ Essay Outlines
Explore the four essential methods of proof in mathematics: deduction, exhaustion, counterexample, and contradiction. This summary provides clear definitions and examples for each technique, making it ideal for A-level students seeking to strengthen their understanding of mathematical proofs.
Explore the essential techniques for simplifying surds, including multiplication, division, and rationalizing denominators. This summary covers key concepts such as exponents, radical expressions, and step-by-step methods to express surds in their simplest form. Ideal for students looking to enhance their understanding of radical mathematics.
App Store
Google Play
The app is very easy to use and well designed. I have found everything I was looking for so far and have been able to learn a lot from the presentations! I will definitely use the app for a class assignment! And of course it also helps a lot as an inspiration.
Stefan S
iOS user
This app is really great. There are so many study notes and help [...]. My problem subject is French, for example, and the app has so many options for help. Thanks to this app, I have improved my French. I would recommend it to anyone.
Samantha Klich
Android user
Wow, I am really amazed. I just tried the app because I've seen it advertised many times and was absolutely stunned. This app is THE HELP you want for school and above all, it offers so many things, such as workouts and fact sheets, which have been VERY helpful to me personally.
Anna
iOS user
Best app on earth! no words because it’s too good
Thomas R
iOS user
Just amazing. Let's me revise 10x better, this app is a quick 10/10. I highly recommend it to anyone. I can watch and search for notes. I can save them in the subject folder. I can revise it any time when I come back. If you haven't tried this app, you're really missing out.
Basil
Android user
This app has made me feel so much more confident in my exam prep, not only through boosting my own self confidence through the features that allow you to connect with others and feel less alone, but also through the way the app itself is centred around making you feel better. It is easy to navigate, fun to use, and helpful to anyone struggling in absolutely any way.
David K
iOS user
The app's just great! All I have to do is enter the topic in the search bar and I get the response real fast. I don't have to watch 10 YouTube videos to understand something, so I'm saving my time. Highly recommended!
Sudenaz Ocak
Android user
In school I was really bad at maths but thanks to the app, I am doing better now. I am so grateful that you made the app.
Greenlight Bonnie
Android user
very reliable app to help and grow your ideas of Maths, English and other related topics in your works. please use this app if your struggling in areas, this app is key for that. wish I'd of done a review before. and it's also free so don't worry about that.
Rohan U
Android user
I know a lot of apps use fake accounts to boost their reviews but this app deserves it all. Originally I was getting 4 in my English exams and this time I got a grade 7. I didn’t even know about this app three days until the exam and it has helped A LOT. Please actually trust me and use it as I’m sure you too will see developments.
Xander S
iOS user
THE QUIZES AND FLASHCARDS ARE SO USEFUL AND I LOVE Knowunity AI. IT ALSO IS LITREALLY LIKE CHATGPT BUT SMARTER!! HELPED ME WITH MY MASCARA PROBLEMS TOO!! AS WELL AS MY REAL SUBJECTS ! DUHHH 😍😁😲🤑💗✨🎀😮
Elisha
iOS user
This apps acc the goat. I find revision so boring but this app makes it so easy to organize it all and then you can ask the freeeee ai to test yourself so good and you can easily upload your own stuff. highly recommend as someone taking mocks now
Paul T
iOS user
The app is very easy to use and well designed. I have found everything I was looking for so far and have been able to learn a lot from the presentations! I will definitely use the app for a class assignment! And of course it also helps a lot as an inspiration.
Stefan S
iOS user
This app is really great. There are so many study notes and help [...]. My problem subject is French, for example, and the app has so many options for help. Thanks to this app, I have improved my French. I would recommend it to anyone.
Samantha Klich
Android user
Wow, I am really amazed. I just tried the app because I've seen it advertised many times and was absolutely stunned. This app is THE HELP you want for school and above all, it offers so many things, such as workouts and fact sheets, which have been VERY helpful to me personally.
Anna
iOS user
Best app on earth! no words because it’s too good
Thomas R
iOS user
Just amazing. Let's me revise 10x better, this app is a quick 10/10. I highly recommend it to anyone. I can watch and search for notes. I can save them in the subject folder. I can revise it any time when I come back. If you haven't tried this app, you're really missing out.
Basil
Android user
This app has made me feel so much more confident in my exam prep, not only through boosting my own self confidence through the features that allow you to connect with others and feel less alone, but also through the way the app itself is centred around making you feel better. It is easy to navigate, fun to use, and helpful to anyone struggling in absolutely any way.
David K
iOS user
The app's just great! All I have to do is enter the topic in the search bar and I get the response real fast. I don't have to watch 10 YouTube videos to understand something, so I'm saving my time. Highly recommended!
Sudenaz Ocak
Android user
In school I was really bad at maths but thanks to the app, I am doing better now. I am so grateful that you made the app.
Greenlight Bonnie
Android user
very reliable app to help and grow your ideas of Maths, English and other related topics in your works. please use this app if your struggling in areas, this app is key for that. wish I'd of done a review before. and it's also free so don't worry about that.
Rohan U
Android user
I know a lot of apps use fake accounts to boost their reviews but this app deserves it all. Originally I was getting 4 in my English exams and this time I got a grade 7. I didn’t even know about this app three days until the exam and it has helped A LOT. Please actually trust me and use it as I’m sure you too will see developments.
Xander S
iOS user
THE QUIZES AND FLASHCARDS ARE SO USEFUL AND I LOVE Knowunity AI. IT ALSO IS LITREALLY LIKE CHATGPT BUT SMARTER!! HELPED ME WITH MY MASCARA PROBLEMS TOO!! AS WELL AS MY REAL SUBJECTS ! DUHHH 😍😁😲🤑💗✨🎀😮
Elisha
iOS user
This apps acc the goat. I find revision so boring but this app makes it so easy to organize it all and then you can ask the freeeee ai to test yourself so good and you can easily upload your own stuff. highly recommend as someone taking mocks now
Paul T
iOS user