This is a comprehensive revision guide for AQA GCSE English... Show more
Sign up to see the contentIt's free!
Access to all documents
Improve your grades
Join milions of students
Knowunity AI
Subjects
Triangle Congruence and Similarity Theorems
Triangle Properties and Classification
Linear Equations and Graphs
Geometric Angle Relationships
Trigonometric Functions and Identities
Equation Solving Techniques
Circle Geometry Fundamentals
Division Operations and Methods
Basic Differentiation Rules
Exponent and Logarithm Properties
Show all topics
Human Organ Systems
Reproductive Cell Cycles
Biological Sciences Subdisciplines
Cellular Energy Metabolism
Autotrophic Energy Processes
Inheritance Patterns and Principles
Biomolecular Structure and Organization
Cell Cycle and Division Mechanics
Cellular Organization and Development
Biological Structural Organization
Show all topics
Chemical Sciences and Applications
Atomic Structure and Composition
Molecular Electron Structure Representation
Atomic Electron Behavior
Matter Properties and Water
Mole Concept and Calculations
Gas Laws and Behavior
Periodic Table Organization
Chemical Thermodynamics Fundamentals
Chemical Bond Types and Properties
Show all topics
European Renaissance and Enlightenment
European Cultural Movements 800-1920
American Revolution Era 1763-1797
American Civil War 1861-1865
Global Imperial Systems
Mongol and Chinese Dynasties
U.S. Presidents and World Leaders
Historical Sources and Documentation
World Wars Era and Impact
World Religious Systems
Show all topics
Classic and Contemporary Novels
Literary Character Analysis
Rhetorical Theory and Practice
Classic Literary Narratives
Reading Analysis and Interpretation
Narrative Structure and Techniques
English Language Components
Influential English-Language Authors
Basic Sentence Structure
Narrative Voice and Perspective
Show all topics
6,758
•
Updated Mar 14, 2026
•
Marni
@marni
This is a comprehensive revision guide for AQA GCSE English... Show more











English Language is all about skills, not memorising content. The only way to get better is by practising your responses under timed conditions - there's no shortcut to success here!
This support booklet gives you everything you need to prepare effectively. You've got two past papers: one from your October mocks (with example answers at grade 5 and 7 levels) and a fresh one for independent practice.
The key to revision success is planning responses and writing them in timed conditions. Think of it like training for a sport - you need to build up your exam muscles through regular practice, not just reading about techniques.
Top Tip: Always plan your Question 5 creative writing response before you start writing - it'll save you time and improve your grade!

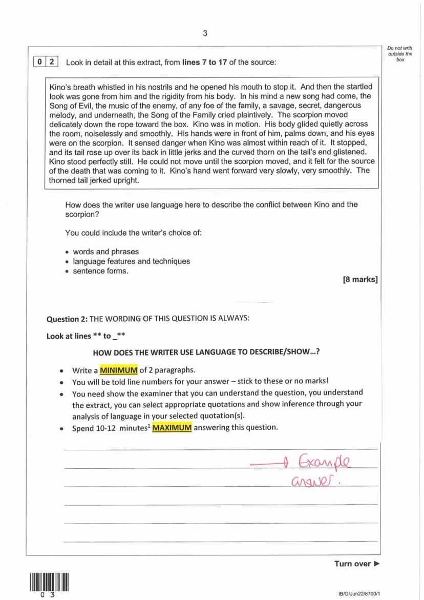
You'll be working with an extract from John Steinbeck's 1947 novel "The Pearl" - a gripping piece of 20th-century prose fiction that's perfect for demonstrating your analytical skills.
The extract is from the very beginning of the novel, introducing us to Kino (a poor pearl diver), his wife Juana, and their baby Coyotito in their Mexican village home. This opening scene is brilliantly crafted to hook readers from the first line.
AQA always uses high-quality literary extracts that give you plenty to analyse in terms of language, structure, and narrative techniques. The source material is provided as a separate insert, so you can annotate it freely during your 15-minute reading time.
Remember: Spend those crucial 15 minutes at the start reading through the source and all five questions - this planning time is gold dust for your final grade!

This extract creates immediate tension and drama as a deadly scorpion threatens baby Coyotito. Steinbeck uses this life-or-death situation to showcase his masterful descriptive writing and character development.
The scene begins peacefully with sunlight warming the family's brush house, then quickly shifts to terror as the scorpion appears. Notice how Steinbeck builds suspense through detailed descriptions of movement - both the scorpion's deliberate descent and Kino's careful response.
Key moments to analyse: Kino's internal "Song of Evil," the precise choreography of the confrontation, and the tragic moment when baby Coyotito's laughter causes the scorpion to fall and sting him. The extract ends with Juana's desperate attempt to save their child by demanding they see a doctor.
The writing demonstrates brilliant use of imagery, symbolism, and tension-building - exactly the kind of techniques you need to identify and analyse in your responses.
Exam Focus: This type of dramatic scene gives you rich material for Questions 2, 3, and 4 - practise identifying language devices, structural features, and methods for creating atmosphere.

Paper 1 lasts 1 hour 45 minutes and is worth 80 marks total, split equally between reading (Section A) and writing (Section B). This timing might feel tight, but with practice, you'll nail it.
Section A gives you 45 minutes for four reading questions worth 40 marks. Question 1 (4 marks) asks for simple information retrieval, Question 2 (8 marks) focuses on language analysis, Question 3 (8 marks) examines structure, and Question 4 (20 marks) requires you to evaluate the writer's methods.
Section B is your creative writing showcase - Question 5 is worth 40 marks and gives you the remaining hour. You'll choose between a descriptive or narrative writing task, both linked thematically to the reading extract.
Essential exam rules: Use black pen only, work within the answer boxes provided, and don't use a dictionary. Your English skills and clear presentation count towards your final grade, so take pride in your work.
Time Management Tip: Stick to roughly 10-12 minutes each for Questions 2 and 3 - don't let these shorter questions eat into your time for the higher-mark questions!

Question 1 might seem simple, but don't rush it - those 4 marks are easy points if you read carefully. You'll need to list four specific things about a short section of the text, so focus on concrete details rather than interpretations.
Question 2 is your language analysis - this always asks "How does the writer use language to describe/show...?" followed by specific line numbers. Write at least 2 solid paragraphs analysing word choices, language features, and sentence forms. Quality over quantity here!
The key marking criteria expect you to quote effectively, demonstrate inference through language analysis, and use proper subject terminology. Look at how the grade 5 example focuses on verbs and adverbs, while the grade 9 response uses sophisticated terms like "sibilance" and "asyndetic listing."
Top techniques to spot: metaphors, similes, personification, alliteration, sentence structure, and how these create specific effects on the reader.
Analysis Secret: Always explain the effect on the reader - don't just identify techniques, explore why the writer chose them and how they make you feel as you read.

Question 3 focuses on structural techniques across the whole source. Think about how the writer grabs attention at the beginning, shifts focus throughout, and uses features like dialogue, single-sentence paragraphs, or changes in pace.
A simple but effective approach is to analyse the beginning, middle, and end of the extract. Look for how tension builds, where the climax occurs, and how the writer uses structural devices to keep you hooked as a reader.
Structural terminology to master: introduce, zoom in/out, focus attention, develop understanding, shift focus, rising tension, climax. These terms will make your analysis sound sophisticated and precise.
Question 4 (evaluation) will ask you to judge how successfully the writer achieves a particular effect, backing up your opinion with detailed analysis. This is worth 20 marks, so it needs substantial development and multiple examples.
Structure Strategy: Start each paragraph with a clear topic sentence about what the writer focuses on, then analyse specific techniques and their effects on you as a reader.




Our AI Companion is a student-focused AI tool that offers more than just answers. Built on millions of Knowunity resources, it provides relevant information, personalised study plans, quizzes, and content directly in the chat, adapting to your individual learning journey.
You can download the app from Google Play Store and Apple App Store.
That's right! Enjoy free access to study content, connect with fellow students, and get instant help – all at your fingertips.
App Store
Google Play
The app is very easy to use and well designed. I have found everything I was looking for so far and have been able to learn a lot from the presentations! I will definitely use the app for a class assignment! And of course it also helps a lot as an inspiration.
Stefan S
iOS user
This app is really great. There are so many study notes and help [...]. My problem subject is French, for example, and the app has so many options for help. Thanks to this app, I have improved my French. I would recommend it to anyone.
Samantha Klich
Android user
Wow, I am really amazed. I just tried the app because I've seen it advertised many times and was absolutely stunned. This app is THE HELP you want for school and above all, it offers so many things, such as workouts and fact sheets, which have been VERY helpful to me personally.
Anna
iOS user
Best app on earth! no words because it’s too good
Thomas R
iOS user
Just amazing. Let's me revise 10x better, this app is a quick 10/10. I highly recommend it to anyone. I can watch and search for notes. I can save them in the subject folder. I can revise it any time when I come back. If you haven't tried this app, you're really missing out.
Basil
Android user
This app has made me feel so much more confident in my exam prep, not only through boosting my own self confidence through the features that allow you to connect with others and feel less alone, but also through the way the app itself is centred around making you feel better. It is easy to navigate, fun to use, and helpful to anyone struggling in absolutely any way.
David K
iOS user
The app's just great! All I have to do is enter the topic in the search bar and I get the response real fast. I don't have to watch 10 YouTube videos to understand something, so I'm saving my time. Highly recommended!
Sudenaz Ocak
Android user
In school I was really bad at maths but thanks to the app, I am doing better now. I am so grateful that you made the app.
Greenlight Bonnie
Android user
very reliable app to help and grow your ideas of Maths, English and other related topics in your works. please use this app if your struggling in areas, this app is key for that. wish I'd of done a review before. and it's also free so don't worry about that.
Rohan U
Android user
I know a lot of apps use fake accounts to boost their reviews but this app deserves it all. Originally I was getting 4 in my English exams and this time I got a grade 7. I didn’t even know about this app three days until the exam and it has helped A LOT. Please actually trust me and use it as I’m sure you too will see developments.
Xander S
iOS user
THE QUIZES AND FLASHCARDS ARE SO USEFUL AND I LOVE Knowunity AI. IT ALSO IS LITREALLY LIKE CHATGPT BUT SMARTER!! HELPED ME WITH MY MASCARA PROBLEMS TOO!! AS WELL AS MY REAL SUBJECTS ! DUHHH 😍😁😲🤑💗✨🎀😮
Elisha
iOS user
This apps acc the goat. I find revision so boring but this app makes it so easy to organize it all and then you can ask the freeeee ai to test yourself so good and you can easily upload your own stuff. highly recommend as someone taking mocks now
Paul T
iOS user
The app is very easy to use and well designed. I have found everything I was looking for so far and have been able to learn a lot from the presentations! I will definitely use the app for a class assignment! And of course it also helps a lot as an inspiration.
Stefan S
iOS user
This app is really great. There are so many study notes and help [...]. My problem subject is French, for example, and the app has so many options for help. Thanks to this app, I have improved my French. I would recommend it to anyone.
Samantha Klich
Android user
Wow, I am really amazed. I just tried the app because I've seen it advertised many times and was absolutely stunned. This app is THE HELP you want for school and above all, it offers so many things, such as workouts and fact sheets, which have been VERY helpful to me personally.
Anna
iOS user
Best app on earth! no words because it’s too good
Thomas R
iOS user
Just amazing. Let's me revise 10x better, this app is a quick 10/10. I highly recommend it to anyone. I can watch and search for notes. I can save them in the subject folder. I can revise it any time when I come back. If you haven't tried this app, you're really missing out.
Basil
Android user
This app has made me feel so much more confident in my exam prep, not only through boosting my own self confidence through the features that allow you to connect with others and feel less alone, but also through the way the app itself is centred around making you feel better. It is easy to navigate, fun to use, and helpful to anyone struggling in absolutely any way.
David K
iOS user
The app's just great! All I have to do is enter the topic in the search bar and I get the response real fast. I don't have to watch 10 YouTube videos to understand something, so I'm saving my time. Highly recommended!
Sudenaz Ocak
Android user
In school I was really bad at maths but thanks to the app, I am doing better now. I am so grateful that you made the app.
Greenlight Bonnie
Android user
very reliable app to help and grow your ideas of Maths, English and other related topics in your works. please use this app if your struggling in areas, this app is key for that. wish I'd of done a review before. and it's also free so don't worry about that.
Rohan U
Android user
I know a lot of apps use fake accounts to boost their reviews but this app deserves it all. Originally I was getting 4 in my English exams and this time I got a grade 7. I didn’t even know about this app three days until the exam and it has helped A LOT. Please actually trust me and use it as I’m sure you too will see developments.
Xander S
iOS user
THE QUIZES AND FLASHCARDS ARE SO USEFUL AND I LOVE Knowunity AI. IT ALSO IS LITREALLY LIKE CHATGPT BUT SMARTER!! HELPED ME WITH MY MASCARA PROBLEMS TOO!! AS WELL AS MY REAL SUBJECTS ! DUHHH 😍😁😲🤑💗✨🎀😮
Elisha
iOS user
This apps acc the goat. I find revision so boring but this app makes it so easy to organize it all and then you can ask the freeeee ai to test yourself so good and you can easily upload your own stuff. highly recommend as someone taking mocks now
Paul T
iOS user
Marni
@marni
This is a comprehensive revision guide for AQA GCSE English Language Paper 1, focusing on creative reading and writing skills. The guide includes past papers with grade 5 and 7 example responses, plus practice materials featuring an extract from John... Show more

Access to all documents
Improve your grades
Join milions of students
English Language is all about skills, not memorising content. The only way to get better is by practising your responses under timed conditions - there's no shortcut to success here!
This support booklet gives you everything you need to prepare effectively. You've got two past papers: one from your October mocks (with example answers at grade 5 and 7 levels) and a fresh one for independent practice.
The key to revision success is planning responses and writing them in timed conditions. Think of it like training for a sport - you need to build up your exam muscles through regular practice, not just reading about techniques.
Top Tip: Always plan your Question 5 creative writing response before you start writing - it'll save you time and improve your grade!

Access to all documents
Improve your grades
Join milions of students
You'll be working with an extract from John Steinbeck's 1947 novel "The Pearl" - a gripping piece of 20th-century prose fiction that's perfect for demonstrating your analytical skills.
The extract is from the very beginning of the novel, introducing us to Kino (a poor pearl diver), his wife Juana, and their baby Coyotito in their Mexican village home. This opening scene is brilliantly crafted to hook readers from the first line.
AQA always uses high-quality literary extracts that give you plenty to analyse in terms of language, structure, and narrative techniques. The source material is provided as a separate insert, so you can annotate it freely during your 15-minute reading time.
Remember: Spend those crucial 15 minutes at the start reading through the source and all five questions - this planning time is gold dust for your final grade!

Access to all documents
Improve your grades
Join milions of students
This extract creates immediate tension and drama as a deadly scorpion threatens baby Coyotito. Steinbeck uses this life-or-death situation to showcase his masterful descriptive writing and character development.
The scene begins peacefully with sunlight warming the family's brush house, then quickly shifts to terror as the scorpion appears. Notice how Steinbeck builds suspense through detailed descriptions of movement - both the scorpion's deliberate descent and Kino's careful response.
Key moments to analyse: Kino's internal "Song of Evil," the precise choreography of the confrontation, and the tragic moment when baby Coyotito's laughter causes the scorpion to fall and sting him. The extract ends with Juana's desperate attempt to save their child by demanding they see a doctor.
The writing demonstrates brilliant use of imagery, symbolism, and tension-building - exactly the kind of techniques you need to identify and analyse in your responses.
Exam Focus: This type of dramatic scene gives you rich material for Questions 2, 3, and 4 - practise identifying language devices, structural features, and methods for creating atmosphere.

Access to all documents
Improve your grades
Join milions of students
Paper 1 lasts 1 hour 45 minutes and is worth 80 marks total, split equally between reading (Section A) and writing (Section B). This timing might feel tight, but with practice, you'll nail it.
Section A gives you 45 minutes for four reading questions worth 40 marks. Question 1 (4 marks) asks for simple information retrieval, Question 2 (8 marks) focuses on language analysis, Question 3 (8 marks) examines structure, and Question 4 (20 marks) requires you to evaluate the writer's methods.
Section B is your creative writing showcase - Question 5 is worth 40 marks and gives you the remaining hour. You'll choose between a descriptive or narrative writing task, both linked thematically to the reading extract.
Essential exam rules: Use black pen only, work within the answer boxes provided, and don't use a dictionary. Your English skills and clear presentation count towards your final grade, so take pride in your work.
Time Management Tip: Stick to roughly 10-12 minutes each for Questions 2 and 3 - don't let these shorter questions eat into your time for the higher-mark questions!

Access to all documents
Improve your grades
Join milions of students
Question 1 might seem simple, but don't rush it - those 4 marks are easy points if you read carefully. You'll need to list four specific things about a short section of the text, so focus on concrete details rather than interpretations.
Question 2 is your language analysis - this always asks "How does the writer use language to describe/show...?" followed by specific line numbers. Write at least 2 solid paragraphs analysing word choices, language features, and sentence forms. Quality over quantity here!
The key marking criteria expect you to quote effectively, demonstrate inference through language analysis, and use proper subject terminology. Look at how the grade 5 example focuses on verbs and adverbs, while the grade 9 response uses sophisticated terms like "sibilance" and "asyndetic listing."
Top techniques to spot: metaphors, similes, personification, alliteration, sentence structure, and how these create specific effects on the reader.
Analysis Secret: Always explain the effect on the reader - don't just identify techniques, explore why the writer chose them and how they make you feel as you read.

Access to all documents
Improve your grades
Join milions of students
Question 3 focuses on structural techniques across the whole source. Think about how the writer grabs attention at the beginning, shifts focus throughout, and uses features like dialogue, single-sentence paragraphs, or changes in pace.
A simple but effective approach is to analyse the beginning, middle, and end of the extract. Look for how tension builds, where the climax occurs, and how the writer uses structural devices to keep you hooked as a reader.
Structural terminology to master: introduce, zoom in/out, focus attention, develop understanding, shift focus, rising tension, climax. These terms will make your analysis sound sophisticated and precise.
Question 4 (evaluation) will ask you to judge how successfully the writer achieves a particular effect, backing up your opinion with detailed analysis. This is worth 20 marks, so it needs substantial development and multiple examples.
Structure Strategy: Start each paragraph with a clear topic sentence about what the writer focuses on, then analyse specific techniques and their effects on you as a reader.

Access to all documents
Improve your grades
Join milions of students

Access to all documents
Improve your grades
Join milions of students

Access to all documents
Improve your grades
Join milions of students

Access to all documents
Improve your grades
Join milions of students
Our AI Companion is a student-focused AI tool that offers more than just answers. Built on millions of Knowunity resources, it provides relevant information, personalised study plans, quizzes, and content directly in the chat, adapting to your individual learning journey.
You can download the app from Google Play Store and Apple App Store.
That's right! Enjoy free access to study content, connect with fellow students, and get instant help – all at your fingertips.
316
Smart Tools NEW
Transform this note into: ✓ 50+ Practice Questions ✓ Interactive Flashcards ✓ Full Mock Exam ✓ Essay Outlines
Master your English Language Papers with these essential hack sheets! This resource provides a structured approach to tackling Paper 1 and Paper 2, including detailed strategies for each question type, effective writing techniques, and tips for maximizing your marks. Perfect for students looking to enhance their language analysis and writing skills.
This sheet takes you through everything that will help you get through the exam and how to answer the questions in both lanhuage and literature
Explore 50 creative activities designed to enhance your English Language skills. This resource includes prompts for creative writing, character analysis, and critical reviews, perfect for GCSE preparation. Ideal for students looking to improve their writing techniques and understanding of literary devices.
Explore key insights from a compelling speech on climate change, addressing the impact of human activities on global warming, greenhouse gas emissions, and the urgent need for action. This presentation highlights the historical context of climate change, the role of international agreements like the Paris Agreement, and practical steps individuals can take to combat climate change. Ideal for students seeking to understand the complexities of climate issues and the importance of collective action.
App Store
Google Play
The app is very easy to use and well designed. I have found everything I was looking for so far and have been able to learn a lot from the presentations! I will definitely use the app for a class assignment! And of course it also helps a lot as an inspiration.
Stefan S
iOS user
This app is really great. There are so many study notes and help [...]. My problem subject is French, for example, and the app has so many options for help. Thanks to this app, I have improved my French. I would recommend it to anyone.
Samantha Klich
Android user
Wow, I am really amazed. I just tried the app because I've seen it advertised many times and was absolutely stunned. This app is THE HELP you want for school and above all, it offers so many things, such as workouts and fact sheets, which have been VERY helpful to me personally.
Anna
iOS user
Best app on earth! no words because it’s too good
Thomas R
iOS user
Just amazing. Let's me revise 10x better, this app is a quick 10/10. I highly recommend it to anyone. I can watch and search for notes. I can save them in the subject folder. I can revise it any time when I come back. If you haven't tried this app, you're really missing out.
Basil
Android user
This app has made me feel so much more confident in my exam prep, not only through boosting my own self confidence through the features that allow you to connect with others and feel less alone, but also through the way the app itself is centred around making you feel better. It is easy to navigate, fun to use, and helpful to anyone struggling in absolutely any way.
David K
iOS user
The app's just great! All I have to do is enter the topic in the search bar and I get the response real fast. I don't have to watch 10 YouTube videos to understand something, so I'm saving my time. Highly recommended!
Sudenaz Ocak
Android user
In school I was really bad at maths but thanks to the app, I am doing better now. I am so grateful that you made the app.
Greenlight Bonnie
Android user
very reliable app to help and grow your ideas of Maths, English and other related topics in your works. please use this app if your struggling in areas, this app is key for that. wish I'd of done a review before. and it's also free so don't worry about that.
Rohan U
Android user
I know a lot of apps use fake accounts to boost their reviews but this app deserves it all. Originally I was getting 4 in my English exams and this time I got a grade 7. I didn’t even know about this app three days until the exam and it has helped A LOT. Please actually trust me and use it as I’m sure you too will see developments.
Xander S
iOS user
THE QUIZES AND FLASHCARDS ARE SO USEFUL AND I LOVE Knowunity AI. IT ALSO IS LITREALLY LIKE CHATGPT BUT SMARTER!! HELPED ME WITH MY MASCARA PROBLEMS TOO!! AS WELL AS MY REAL SUBJECTS ! DUHHH 😍😁😲🤑💗✨🎀😮
Elisha
iOS user
This apps acc the goat. I find revision so boring but this app makes it so easy to organize it all and then you can ask the freeeee ai to test yourself so good and you can easily upload your own stuff. highly recommend as someone taking mocks now
Paul T
iOS user
The app is very easy to use and well designed. I have found everything I was looking for so far and have been able to learn a lot from the presentations! I will definitely use the app for a class assignment! And of course it also helps a lot as an inspiration.
Stefan S
iOS user
This app is really great. There are so many study notes and help [...]. My problem subject is French, for example, and the app has so many options for help. Thanks to this app, I have improved my French. I would recommend it to anyone.
Samantha Klich
Android user
Wow, I am really amazed. I just tried the app because I've seen it advertised many times and was absolutely stunned. This app is THE HELP you want for school and above all, it offers so many things, such as workouts and fact sheets, which have been VERY helpful to me personally.
Anna
iOS user
Best app on earth! no words because it’s too good
Thomas R
iOS user
Just amazing. Let's me revise 10x better, this app is a quick 10/10. I highly recommend it to anyone. I can watch and search for notes. I can save them in the subject folder. I can revise it any time when I come back. If you haven't tried this app, you're really missing out.
Basil
Android user
This app has made me feel so much more confident in my exam prep, not only through boosting my own self confidence through the features that allow you to connect with others and feel less alone, but also through the way the app itself is centred around making you feel better. It is easy to navigate, fun to use, and helpful to anyone struggling in absolutely any way.
David K
iOS user
The app's just great! All I have to do is enter the topic in the search bar and I get the response real fast. I don't have to watch 10 YouTube videos to understand something, so I'm saving my time. Highly recommended!
Sudenaz Ocak
Android user
In school I was really bad at maths but thanks to the app, I am doing better now. I am so grateful that you made the app.
Greenlight Bonnie
Android user
very reliable app to help and grow your ideas of Maths, English and other related topics in your works. please use this app if your struggling in areas, this app is key for that. wish I'd of done a review before. and it's also free so don't worry about that.
Rohan U
Android user
I know a lot of apps use fake accounts to boost their reviews but this app deserves it all. Originally I was getting 4 in my English exams and this time I got a grade 7. I didn’t even know about this app three days until the exam and it has helped A LOT. Please actually trust me and use it as I’m sure you too will see developments.
Xander S
iOS user
THE QUIZES AND FLASHCARDS ARE SO USEFUL AND I LOVE Knowunity AI. IT ALSO IS LITREALLY LIKE CHATGPT BUT SMARTER!! HELPED ME WITH MY MASCARA PROBLEMS TOO!! AS WELL AS MY REAL SUBJECTS ! DUHHH 😍😁😲🤑💗✨🎀😮
Elisha
iOS user
This apps acc the goat. I find revision so boring but this app makes it so easy to organize it all and then you can ask the freeeee ai to test yourself so good and you can easily upload your own stuff. highly recommend as someone taking mocks now
Paul T
iOS user