Gas exchange is absolutely crucial for keeping all living things... Show more
Sign up to see the contentIt's free!
Access to all documents
Improve your grades
Join milions of students
By signing up you accept Terms of Service and Privacy Policy
Subjects
Classic Dramatic Literature
Modern Lyric Poetry
Influential English-Language Authors
Classic and Contemporary Novels
Literary Character Analysis
Romantic and Love Poetry
Reading Analysis and Interpretation
Evidence Analysis and Integration
Author's Stylistic Elements
Figurative Language and Rhetoric
Show all topics
Human Organ Systems
Cellular Organization and Development
Biomolecular Structure and Organization
Enzyme Structure and Regulation
Cellular Organization Types
Biological Homeostatic Processes
Cellular Membrane Structure
Autotrophic Energy Processes
Environmental Sustainability and Impact
Neural Communication Systems
Show all topics
Social Sciences Research & Practice
Social Structure and Mobility
Classic Social Influence Experiments
Social Systems Theories
Family and Relationship Dynamics
Memory Systems and Processes
Neural Bases of Behavior
Social Influence and Attraction
Psychotherapeutic Approaches
Human Agency and Responsibility
Show all topics
Chemical Sciences and Applications
Chemical Bond Types and Properties
Organic Functional Groups
Atomic Structure and Composition
Chromatographic Separation Principles
Chemical Compound Classifications
Electrochemical Cell Systems
Periodic Table Organization
Chemical Reaction Kinetics
Chemical Equation Conservation
Show all topics
Nazi Germany and Holocaust 1933-1945
World Wars and Peace Treaties
European Monarchs and Statesmen
Cold War Global Tensions
Medieval Institutions and Systems
European Renaissance and Enlightenment
Modern Global Environmental-Health Challenges
Modern Military Conflicts
Medieval Migration and Invasions
World Wars Era and Impact
Show all topics
383
•
30 Dec 2025
•
Gas exchange is absolutely crucial for keeping all living things... Show more

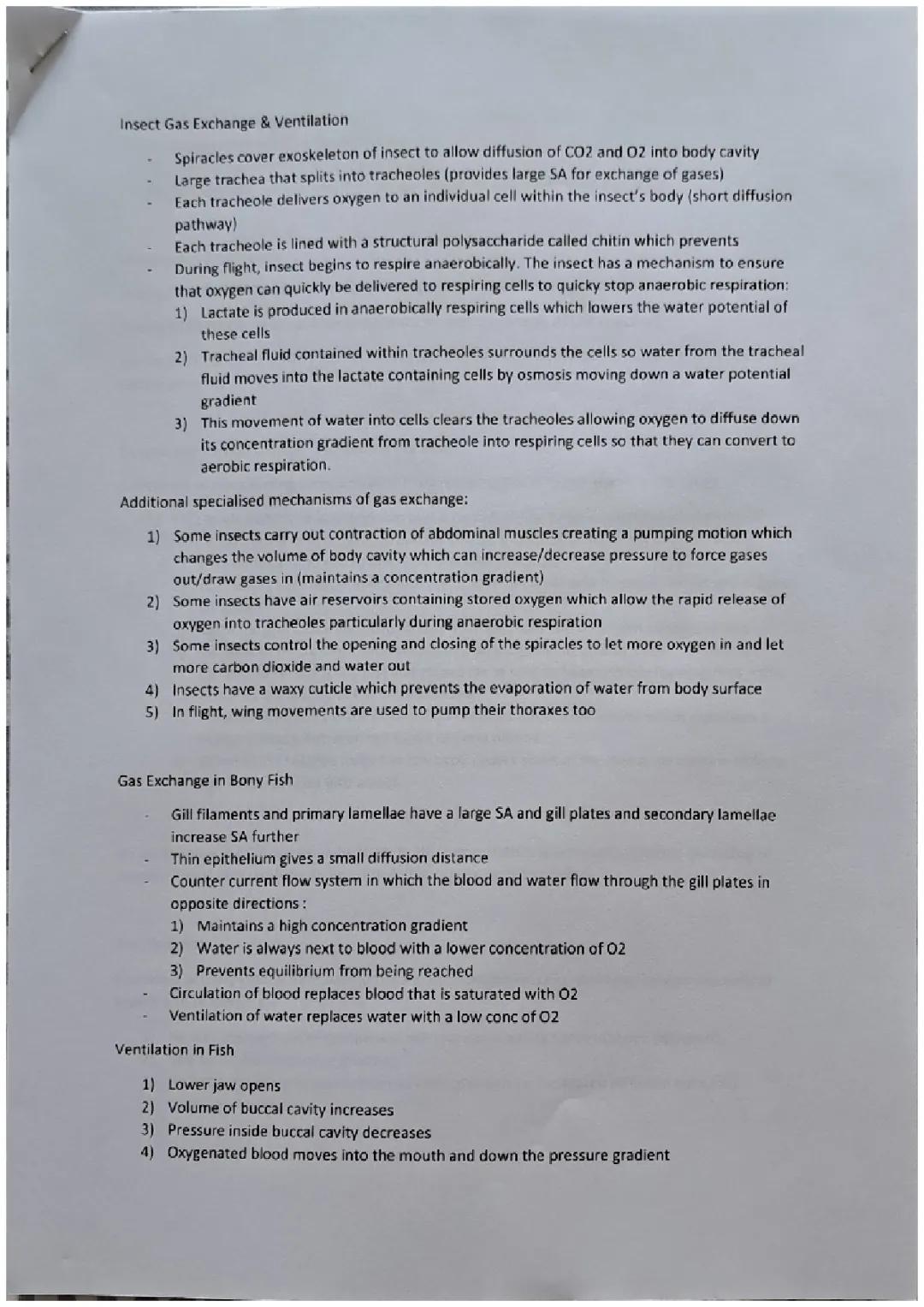
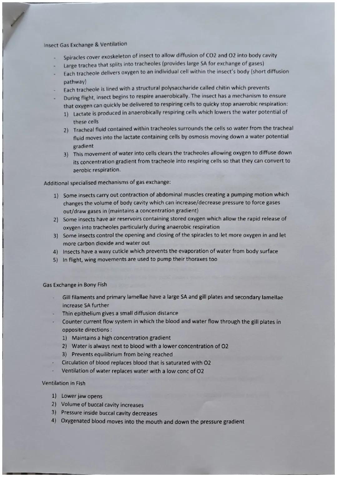
Ever wonder how a buzzing fly gets oxygen without lungs? Spiracles act like tiny doorways scattered across an insect's exoskeleton, letting gases flow in and out. These connect to large trachea that branch into ultra-thin tracheoles - think of them as oxygen delivery tubes that reach every single cell in the insect's body.
Here's where it gets clever: each tracheole is lined with chitin (the same stuff that makes up their tough exterior) and delivers oxygen directly to individual cells. This creates an incredibly short diffusion pathway, making gas exchange super efficient.
When insects fly hard and start respiring anaerobically, they've got a brilliant backup system. Lactate builds up in oxygen-starved cells, which lowers their water potential. Water from the tracheal fluid then rushes into these cells by osmosis, clearing the tracheoles like unclogging a drain - allowing oxygen to flood back in and stop anaerobic respiration.
Quick Tip: Remember that insects don't just passively exchange gases - they actively pump their abdomens, control spiracle openings, and even use wing movements to force air through their system!

Fish have mastered underwater breathing through counter-current flow - the secret sauce of gill efficiency. Water flows over gill filaments in the opposite direction to blood flow, which maintains a steep concentration gradient and prevents oxygen levels from equalising.
Fish ventilation works like a two-stroke engine: jaw opens → buccal cavity expands → pressure drops → water rushes in. Then jaw closes → cavity contracts → pressure rises → water flows over gills and out through the operculum. Simple but effective!
Mammalian breathing is all about muscle teamwork. Inspiration requires your external intercostal muscles and diaphragm to contract (it's active work), whilst normal expiration happens when these muscles relax (completely passive). Need to breathe out forcefully? Your internal intercostals kick in to squeeze everything out.
The real magic happens with carbon dioxide transport in your blood. CO₂ doesn't just dissolve - it gets converted to hydrogen carbonate ions through a cascade of reactions. When CO₂ levels rise, more hydrogen ions form, which actually helps haemoglobin release oxygen exactly where cells need it most!
Remember: Higher CO₂ = more H⁺ ions = greater oxygen unloading at rapidly respiring tissues. It's a perfectly coordinated system!
Our AI Companion is a student-focused AI tool that offers more than just answers. Built on millions of Knowunity resources, it provides relevant information, personalised study plans, quizzes, and content directly in the chat, adapting to your individual learning journey.
You can download the app from Google Play Store and Apple App Store.
That's right! Enjoy free access to study content, connect with fellow students, and get instant help – all at your fingertips.
App Store
Google Play
The app is very easy to use and well designed. I have found everything I was looking for so far and have been able to learn a lot from the presentations! I will definitely use the app for a class assignment! And of course it also helps a lot as an inspiration.
Stefan S
iOS user
This app is really great. There are so many study notes and help [...]. My problem subject is French, for example, and the app has so many options for help. Thanks to this app, I have improved my French. I would recommend it to anyone.
Samantha Klich
Android user
Wow, I am really amazed. I just tried the app because I've seen it advertised many times and was absolutely stunned. This app is THE HELP you want for school and above all, it offers so many things, such as workouts and fact sheets, which have been VERY helpful to me personally.
Anna
iOS user
Best app on earth! no words because it’s too good
Thomas R
iOS user
Just amazing. Let's me revise 10x better, this app is a quick 10/10. I highly recommend it to anyone. I can watch and search for notes. I can save them in the subject folder. I can revise it any time when I come back. If you haven't tried this app, you're really missing out.
Basil
Android user
This app has made me feel so much more confident in my exam prep, not only through boosting my own self confidence through the features that allow you to connect with others and feel less alone, but also through the way the app itself is centred around making you feel better. It is easy to navigate, fun to use, and helpful to anyone struggling in absolutely any way.
David K
iOS user
The app's just great! All I have to do is enter the topic in the search bar and I get the response real fast. I don't have to watch 10 YouTube videos to understand something, so I'm saving my time. Highly recommended!
Sudenaz Ocak
Android user
In school I was really bad at maths but thanks to the app, I am doing better now. I am so grateful that you made the app.
Greenlight Bonnie
Android user
very reliable app to help and grow your ideas of Maths, English and other related topics in your works. please use this app if your struggling in areas, this app is key for that. wish I'd of done a review before. and it's also free so don't worry about that.
Rohan U
Android user
I know a lot of apps use fake accounts to boost their reviews but this app deserves it all. Originally I was getting 4 in my English exams and this time I got a grade 7. I didn’t even know about this app three days until the exam and it has helped A LOT. Please actually trust me and use it as I’m sure you too will see developments.
Xander S
iOS user
THE QUIZES AND FLASHCARDS ARE SO USEFUL AND I LOVE THE SCHOOLGPT. IT ALSO IS LITREALLY LIKE CHATGPT BUT SMARTER!! HELPED ME WITH MY MASCARA PROBLEMS TOO!! AS WELL AS MY REAL SUBJECTS ! DUHHH 😍😁😲🤑💗✨🎀😮
Elisha
iOS user
This apps acc the goat. I find revision so boring but this app makes it so easy to organize it all and then you can ask the freeeee ai to test yourself so good and you can easily upload your own stuff. highly recommend as someone taking mocks now
Paul T
iOS user
The app is very easy to use and well designed. I have found everything I was looking for so far and have been able to learn a lot from the presentations! I will definitely use the app for a class assignment! And of course it also helps a lot as an inspiration.
Stefan S
iOS user
This app is really great. There are so many study notes and help [...]. My problem subject is French, for example, and the app has so many options for help. Thanks to this app, I have improved my French. I would recommend it to anyone.
Samantha Klich
Android user
Wow, I am really amazed. I just tried the app because I've seen it advertised many times and was absolutely stunned. This app is THE HELP you want for school and above all, it offers so many things, such as workouts and fact sheets, which have been VERY helpful to me personally.
Anna
iOS user
Best app on earth! no words because it’s too good
Thomas R
iOS user
Just amazing. Let's me revise 10x better, this app is a quick 10/10. I highly recommend it to anyone. I can watch and search for notes. I can save them in the subject folder. I can revise it any time when I come back. If you haven't tried this app, you're really missing out.
Basil
Android user
This app has made me feel so much more confident in my exam prep, not only through boosting my own self confidence through the features that allow you to connect with others and feel less alone, but also through the way the app itself is centred around making you feel better. It is easy to navigate, fun to use, and helpful to anyone struggling in absolutely any way.
David K
iOS user
The app's just great! All I have to do is enter the topic in the search bar and I get the response real fast. I don't have to watch 10 YouTube videos to understand something, so I'm saving my time. Highly recommended!
Sudenaz Ocak
Android user
In school I was really bad at maths but thanks to the app, I am doing better now. I am so grateful that you made the app.
Greenlight Bonnie
Android user
very reliable app to help and grow your ideas of Maths, English and other related topics in your works. please use this app if your struggling in areas, this app is key for that. wish I'd of done a review before. and it's also free so don't worry about that.
Rohan U
Android user
I know a lot of apps use fake accounts to boost their reviews but this app deserves it all. Originally I was getting 4 in my English exams and this time I got a grade 7. I didn’t even know about this app three days until the exam and it has helped A LOT. Please actually trust me and use it as I’m sure you too will see developments.
Xander S
iOS user
THE QUIZES AND FLASHCARDS ARE SO USEFUL AND I LOVE THE SCHOOLGPT. IT ALSO IS LITREALLY LIKE CHATGPT BUT SMARTER!! HELPED ME WITH MY MASCARA PROBLEMS TOO!! AS WELL AS MY REAL SUBJECTS ! DUHHH 😍😁😲🤑💗✨🎀😮
Elisha
iOS user
This apps acc the goat. I find revision so boring but this app makes it so easy to organize it all and then you can ask the freeeee ai to test yourself so good and you can easily upload your own stuff. highly recommend as someone taking mocks now
Paul T
iOS user
Gas exchange is absolutely crucial for keeping all living things alive - and different organisms have evolved brilliant solutions to get oxygen in and carbon dioxide out. From insects using tiny tubes called tracheoles to fish pumping water over their... Show more

Access to all documents
Improve your grades
Join milions of students
By signing up you accept Terms of Service and Privacy Policy
Ever wonder how a buzzing fly gets oxygen without lungs? Spiracles act like tiny doorways scattered across an insect's exoskeleton, letting gases flow in and out. These connect to large trachea that branch into ultra-thin tracheoles - think of them as oxygen delivery tubes that reach every single cell in the insect's body.
Here's where it gets clever: each tracheole is lined with chitin (the same stuff that makes up their tough exterior) and delivers oxygen directly to individual cells. This creates an incredibly short diffusion pathway, making gas exchange super efficient.
When insects fly hard and start respiring anaerobically, they've got a brilliant backup system. Lactate builds up in oxygen-starved cells, which lowers their water potential. Water from the tracheal fluid then rushes into these cells by osmosis, clearing the tracheoles like unclogging a drain - allowing oxygen to flood back in and stop anaerobic respiration.
Quick Tip: Remember that insects don't just passively exchange gases - they actively pump their abdomens, control spiracle openings, and even use wing movements to force air through their system!

Access to all documents
Improve your grades
Join milions of students
By signing up you accept Terms of Service and Privacy Policy
Fish have mastered underwater breathing through counter-current flow - the secret sauce of gill efficiency. Water flows over gill filaments in the opposite direction to blood flow, which maintains a steep concentration gradient and prevents oxygen levels from equalising.
Fish ventilation works like a two-stroke engine: jaw opens → buccal cavity expands → pressure drops → water rushes in. Then jaw closes → cavity contracts → pressure rises → water flows over gills and out through the operculum. Simple but effective!
Mammalian breathing is all about muscle teamwork. Inspiration requires your external intercostal muscles and diaphragm to contract (it's active work), whilst normal expiration happens when these muscles relax (completely passive). Need to breathe out forcefully? Your internal intercostals kick in to squeeze everything out.
The real magic happens with carbon dioxide transport in your blood. CO₂ doesn't just dissolve - it gets converted to hydrogen carbonate ions through a cascade of reactions. When CO₂ levels rise, more hydrogen ions form, which actually helps haemoglobin release oxygen exactly where cells need it most!
Remember: Higher CO₂ = more H⁺ ions = greater oxygen unloading at rapidly respiring tissues. It's a perfectly coordinated system!
Our AI Companion is a student-focused AI tool that offers more than just answers. Built on millions of Knowunity resources, it provides relevant information, personalised study plans, quizzes, and content directly in the chat, adapting to your individual learning journey.
You can download the app from Google Play Store and Apple App Store.
That's right! Enjoy free access to study content, connect with fellow students, and get instant help – all at your fingertips.
3
Smart Tools NEW
Transform this note into: ✓ 50+ Practice Questions ✓ Interactive Flashcards ✓ Full Mock Exam ✓ Essay Outlines
Explore the intricate process of gas exchange in the lungs, focusing on the role of alveoli, bronchi, and capillaries. This summary covers key concepts such as the function of haemoglobin, the importance of surface area, and the diffusion of oxygen and carbon dioxide. Ideal for biology students preparing for exams.
Explore the intricate gas exchange systems in insects, focusing on the role of spiracles, tracheae, and tracheoles. This summary covers adaptations for efficient oxygen delivery and carbon dioxide removal, including the Discontinuous Gas Exchange Cycle and mechanical ventilation strategies. Ideal for biology students studying respiratory systems.
Explore the intricacies of gas exchange, including the roles of alveoli, the respiratory system, and the impact of exercise on breathing rates. This summary features diagrams, key concepts, and questions to enhance understanding of inhalation and exhalation processes.
Explore the intricate gaseous exchange system in mammals, detailing the structure and function of the trachea, bronchi, bronchioles, and alveoli. Understand the roles of goblet cells, cilia, elastic fibers, smooth muscle, and cartilage in facilitating efficient gas exchange. This summary is essential for students studying biology and physiology.
Explore the essential processes of gas exchange in the human body, focusing on the anatomy of the lungs, the role of cilia, diffusion principles, and the impact of smoking on respiratory health. This presentation covers key concepts such as concentration gradients, specialized gas exchange surfaces, and the physiological mechanisms involved in respiration. Ideal for GCSE Biology students.
Explore the essential functions of the heart, blood circulation, and the process of gaseous exchange in this comprehensive study note. Key topics include muscle cells, the skeletal system, and the impact of drugs on bodily functions. Ideal for Year 7 science students preparing for exams.
App Store
Google Play
The app is very easy to use and well designed. I have found everything I was looking for so far and have been able to learn a lot from the presentations! I will definitely use the app for a class assignment! And of course it also helps a lot as an inspiration.
Stefan S
iOS user
This app is really great. There are so many study notes and help [...]. My problem subject is French, for example, and the app has so many options for help. Thanks to this app, I have improved my French. I would recommend it to anyone.
Samantha Klich
Android user
Wow, I am really amazed. I just tried the app because I've seen it advertised many times and was absolutely stunned. This app is THE HELP you want for school and above all, it offers so many things, such as workouts and fact sheets, which have been VERY helpful to me personally.
Anna
iOS user
Best app on earth! no words because it’s too good
Thomas R
iOS user
Just amazing. Let's me revise 10x better, this app is a quick 10/10. I highly recommend it to anyone. I can watch and search for notes. I can save them in the subject folder. I can revise it any time when I come back. If you haven't tried this app, you're really missing out.
Basil
Android user
This app has made me feel so much more confident in my exam prep, not only through boosting my own self confidence through the features that allow you to connect with others and feel less alone, but also through the way the app itself is centred around making you feel better. It is easy to navigate, fun to use, and helpful to anyone struggling in absolutely any way.
David K
iOS user
The app's just great! All I have to do is enter the topic in the search bar and I get the response real fast. I don't have to watch 10 YouTube videos to understand something, so I'm saving my time. Highly recommended!
Sudenaz Ocak
Android user
In school I was really bad at maths but thanks to the app, I am doing better now. I am so grateful that you made the app.
Greenlight Bonnie
Android user
very reliable app to help and grow your ideas of Maths, English and other related topics in your works. please use this app if your struggling in areas, this app is key for that. wish I'd of done a review before. and it's also free so don't worry about that.
Rohan U
Android user
I know a lot of apps use fake accounts to boost their reviews but this app deserves it all. Originally I was getting 4 in my English exams and this time I got a grade 7. I didn’t even know about this app three days until the exam and it has helped A LOT. Please actually trust me and use it as I’m sure you too will see developments.
Xander S
iOS user
THE QUIZES AND FLASHCARDS ARE SO USEFUL AND I LOVE THE SCHOOLGPT. IT ALSO IS LITREALLY LIKE CHATGPT BUT SMARTER!! HELPED ME WITH MY MASCARA PROBLEMS TOO!! AS WELL AS MY REAL SUBJECTS ! DUHHH 😍😁😲🤑💗✨🎀😮
Elisha
iOS user
This apps acc the goat. I find revision so boring but this app makes it so easy to organize it all and then you can ask the freeeee ai to test yourself so good and you can easily upload your own stuff. highly recommend as someone taking mocks now
Paul T
iOS user
The app is very easy to use and well designed. I have found everything I was looking for so far and have been able to learn a lot from the presentations! I will definitely use the app for a class assignment! And of course it also helps a lot as an inspiration.
Stefan S
iOS user
This app is really great. There are so many study notes and help [...]. My problem subject is French, for example, and the app has so many options for help. Thanks to this app, I have improved my French. I would recommend it to anyone.
Samantha Klich
Android user
Wow, I am really amazed. I just tried the app because I've seen it advertised many times and was absolutely stunned. This app is THE HELP you want for school and above all, it offers so many things, such as workouts and fact sheets, which have been VERY helpful to me personally.
Anna
iOS user
Best app on earth! no words because it’s too good
Thomas R
iOS user
Just amazing. Let's me revise 10x better, this app is a quick 10/10. I highly recommend it to anyone. I can watch and search for notes. I can save them in the subject folder. I can revise it any time when I come back. If you haven't tried this app, you're really missing out.
Basil
Android user
This app has made me feel so much more confident in my exam prep, not only through boosting my own self confidence through the features that allow you to connect with others and feel less alone, but also through the way the app itself is centred around making you feel better. It is easy to navigate, fun to use, and helpful to anyone struggling in absolutely any way.
David K
iOS user
The app's just great! All I have to do is enter the topic in the search bar and I get the response real fast. I don't have to watch 10 YouTube videos to understand something, so I'm saving my time. Highly recommended!
Sudenaz Ocak
Android user
In school I was really bad at maths but thanks to the app, I am doing better now. I am so grateful that you made the app.
Greenlight Bonnie
Android user
very reliable app to help and grow your ideas of Maths, English and other related topics in your works. please use this app if your struggling in areas, this app is key for that. wish I'd of done a review before. and it's also free so don't worry about that.
Rohan U
Android user
I know a lot of apps use fake accounts to boost their reviews but this app deserves it all. Originally I was getting 4 in my English exams and this time I got a grade 7. I didn’t even know about this app three days until the exam and it has helped A LOT. Please actually trust me and use it as I’m sure you too will see developments.
Xander S
iOS user
THE QUIZES AND FLASHCARDS ARE SO USEFUL AND I LOVE THE SCHOOLGPT. IT ALSO IS LITREALLY LIKE CHATGPT BUT SMARTER!! HELPED ME WITH MY MASCARA PROBLEMS TOO!! AS WELL AS MY REAL SUBJECTS ! DUHHH 😍😁😲🤑💗✨🎀😮
Elisha
iOS user
This apps acc the goat. I find revision so boring but this app makes it so easy to organize it all and then you can ask the freeeee ai to test yourself so good and you can easily upload your own stuff. highly recommend as someone taking mocks now
Paul T
iOS user