Bram Stoker's "Dracula" stands as one of the... Show more
Sign up to see the contentIt's free!
Access to all documents
Improve your grades
Join milions of students
By signing up you accept Terms of Service and Privacy Policy
Energy transfers (a2 only)
Responding to change (a2 only)
Infection and response
Homeostasis and response
Cell biology
Biological molecules
Organisation
Substance exchange
The control of gene expression (a2 only)
Bioenergetics
Genetic information & variation
Inheritance, variation and evolution
Genetics & ecosystems (a2 only)
Ecology
Cells
Show all topics
2o democracy and nazism: germany, 1918-1945
The cold war
Inter-war germany
Britain & the wider world: 1745 -1901
2d religious conflict and the church in england, c1529-c1570
Medieval period: 1066 -1509
1f industrialisation and the people: britain, c1783-1885
1c the tudors: england, 1485-1603
1l the quest for political stability: germany, 1871-1991
2m wars and welfare: britain in transition, 1906-1957
2j america: a nation divided, c1845-1877
World war two & the holocaust
2n revolution and dictatorship: russia, 1917-1953
2s the making of modern britain, 1951-2007
Britain: 1509 -1745
Show all topics

64
0
maria
12/11/2025
English Literature
Dracula (Chapters 1-23)
1,221
•
12 Nov 2025
•
maria
@maria_reji
Bram Stoker's "Dracula" stands as one of the... Show more











The masterful Gothic fiction novel Dracula opens in late 19th century Europe, where Bram Stoker expertly weaves traditional Gothic literature elements with modern Victorian sensibilities. The narrative begins with Jonathan Harker's journey to Transylvania, establishing crucial Gothic elements in Dracula Chapter 1 through its atmospheric setting and supernatural undertones.
Definition: Gothic fiction traditionally features gloomy castles, sublime landscapes, and innocent characters threatened by supernatural evil. Stoker modernizes these conventions by contrasting Count Dracula's ancient castle with contemporary London.
The novel's epistolary format, told through letters, diary entries, and newspaper articles, creates an air of authenticity while introducing key Dracula characters. Jonathan Harker, a young solicitor, serves as our initial window into this dark world, documenting his increasingly disturbing experiences at Castle Dracula.
Stoker's description of Dracula establishes him as the quintessential Gothic villain. The Count possesses distinctive physical features that align with European devil-figures: a long face, pointed chin and nose, dark eyes, and pale complexion. His connection to wolves and the wild countryside creates a stark contrast with Harker's civilized urban background.

The novel's Dracula themes become increasingly complex as the story progresses. Chapter 3 introduces significant Gothic themes in Dracula, including the struggle between modernity and ancient evil, sexual repression, and the corruption of innocence.
Highlight: The appearance of Dracula's three female vampires represents a Victorian nightmare - sexually aggressive women who challenge period social norms. This scene exemplifies the theme of fear in Dracula while addressing contemporary anxieties about female sexuality.
The theme of madness in Dracula emerges strongly through Harker's deteriorating mental state. His imprisonment in Castle Dracula serves as both literal confinement and metaphorical descent into psychological horror, demonstrating how Stoker masterfully combines physical and psychological terror.

Stoker's novel provides deep commentary on Victorian social values through its Dracula symbols and themes. The concept of the "fallen woman" features prominently, contrasting the period's ideal of the "angel in the house" with the sexually aggressive vampire women.
Example: The three vampire sisters represent everything Victorian society feared about female sexuality. Their attempted seduction of Harker illustrates the period's anxiety about moral corruption and sexual liberation.
The Dracula historical context reveals how the novel addressed Victorian fears about moral decay, foreign influence, and the tension between traditional values and modern progress. These themes resonated strongly with contemporary readers while establishing enduring literary motifs.

The novel's writing style employs various Gothic literary devices to create its haunting atmosphere. Dracula writing style features rich descriptive language, psychological tension, and symbolic imagery that enhance the horror elements.
Vocabulary: Key literary techniques include:
The Dracula gothic quotes throughout the text reinforce themes of supernatural horror, psychological deterioration, and moral corruption. Through careful word choice and narrative structure, Stoker creates a masterpiece of Gothic literature that continues to influence the genre today.

Van Helsing emerges as one of the most fascinating Dracula characters in Stoker's masterpiece of Gothic literature. His unique position as both a modern scientist and metaphysical philosopher makes him particularly equipped to battle the supernatural threat of Dracula. Van Helsing represents the perfect bridge between rational scientific thinking and ancient spiritual wisdom, effectively embodying the novel's central tension between modernity and antiquity.
Definition: Van Helsing serves as a hybrid character who combines modern scientific knowledge with ancient folkloric wisdom, making him uniquely qualified to understand and combat Dracula's supernatural threats.
Dr. Seward's character provides crucial insights into the Gothic elements in Dracula, particularly through his poetic observations of London. His description of the city's sunset, with its "smoky beauty" and "lurid lights," creates a powerful contrast between civilization and the supernatural darkness that threatens it. This portrayal contributes significantly to the Gothic themes in Dracula, especially the theme of modernity versus ancient evil.
The psychological depth of Dr. Seward's character becomes evident in his introspective moments, revealing important dracula themes of personal suffering and emotional turmoil. His observation of London's industrial landscape, juxtaposed with his own "desolate heart," demonstrates the novel's exploration of inner psychological struggles alongside external supernatural threats.

The novel's Gothic elements in dracula chapter 1 set the tone for the entire narrative, establishing key dracula themes that persist throughout the story. The contrast between beauty and horror, civilization and barbarism, and modernity and ancient evil are particularly evident in the characters' perspectives and experiences.
Highlight: The novel's Gothic elements include the juxtaposition of beautiful and horrific imagery, the tension between modern and ancient worlds, and the exploration of psychological terror alongside supernatural threats.
The theme of fear in dracula manifests through various characters' experiences, but particularly through Dr. Seward's observations. His description of the "wonderful smoky beauty" of London contrasted with the "grim sternness" of his building creates a powerful atmosphere of impending doom, characteristic of Gothic fiction books. This contrast helps establish the dracula writing style that makes the novel so compelling.
The dracula historical context becomes particularly relevant when examining how the novel portrays London as both a symbol of progress and a potential target for ancient evil. The industrial revolution's impact on Victorian society creates a backdrop against which the supernatural elements become even more striking, contributing to the novel's enduring appeal as a masterpiece of Gothic literature.

The opening chapters establish the classic Gothic fiction framework while introducing the main characters and setting. Jonathan Harker's journey to Transylvania sets up the collision between modern England and ancient Eastern Europe.
Definition: Epistolary novel - a narrative told through a collection of letters, diary entries, and documents.
Highlight: The novel's setting in both Transylvania and London represents the clash between ancient superstition and modern rationality.
Quote: "How these papers have been placed in sequence will be made manifest in the reading of them."
The description of Dracula follows traditional demonic imagery, with distinctive features including:
Example: The castle's location "on the edge of a terrible precipice" exemplifies classic Gothic elements in Dracula Chapter 1.



Our AI Companion is a student-focused AI tool that offers more than just answers. Built on millions of Knowunity resources, it provides relevant information, personalised study plans, quizzes, and content directly in the chat, adapting to your individual learning journey.
You can download the app from Google Play Store and Apple App Store.
That's right! Enjoy free access to study content, connect with fellow students, and get instant help – all at your fingertips.
App Store
Google Play
The app is very easy to use and well designed. I have found everything I was looking for so far and have been able to learn a lot from the presentations! I will definitely use the app for a class assignment! And of course it also helps a lot as an inspiration.
Stefan S
iOS user
This app is really great. There are so many study notes and help [...]. My problem subject is French, for example, and the app has so many options for help. Thanks to this app, I have improved my French. I would recommend it to anyone.
Samantha Klich
Android user
Wow, I am really amazed. I just tried the app because I've seen it advertised many times and was absolutely stunned. This app is THE HELP you want for school and above all, it offers so many things, such as workouts and fact sheets, which have been VERY helpful to me personally.
Anna
iOS user
Best app on earth! no words because it’s too good
Thomas R
iOS user
Just amazing. Let's me revise 10x better, this app is a quick 10/10. I highly recommend it to anyone. I can watch and search for notes. I can save them in the subject folder. I can revise it any time when I come back. If you haven't tried this app, you're really missing out.
Basil
Android user
This app has made me feel so much more confident in my exam prep, not only through boosting my own self confidence through the features that allow you to connect with others and feel less alone, but also through the way the app itself is centred around making you feel better. It is easy to navigate, fun to use, and helpful to anyone struggling in absolutely any way.
David K
iOS user
The app's just great! All I have to do is enter the topic in the search bar and I get the response real fast. I don't have to watch 10 YouTube videos to understand something, so I'm saving my time. Highly recommended!
Sudenaz Ocak
Android user
In school I was really bad at maths but thanks to the app, I am doing better now. I am so grateful that you made the app.
Greenlight Bonnie
Android user
very reliable app to help and grow your ideas of Maths, English and other related topics in your works. please use this app if your struggling in areas, this app is key for that. wish I'd of done a review before. and it's also free so don't worry about that.
Rohan U
Android user
I know a lot of apps use fake accounts to boost their reviews but this app deserves it all. Originally I was getting 4 in my English exams and this time I got a grade 7. I didn’t even know about this app three days until the exam and it has helped A LOT. Please actually trust me and use it as I’m sure you too will see developments.
Xander S
iOS user
THE QUIZES AND FLASHCARDS ARE SO USEFUL AND I LOVE THE SCHOOLGPT. IT ALSO IS LITREALLY LIKE CHATGPT BUT SMARTER!! HELPED ME WITH MY MASCARA PROBLEMS TOO!! AS WELL AS MY REAL SUBJECTS ! DUHHH 😍😁😲🤑💗✨🎀😮
Elisha
iOS user
This apps acc the goat. I find revision so boring but this app makes it so easy to organize it all and then you can ask the freeeee ai to test yourself so good and you can easily upload your own stuff. highly recommend as someone taking mocks now
Paul T
iOS user
The app is very easy to use and well designed. I have found everything I was looking for so far and have been able to learn a lot from the presentations! I will definitely use the app for a class assignment! And of course it also helps a lot as an inspiration.
Stefan S
iOS user
This app is really great. There are so many study notes and help [...]. My problem subject is French, for example, and the app has so many options for help. Thanks to this app, I have improved my French. I would recommend it to anyone.
Samantha Klich
Android user
Wow, I am really amazed. I just tried the app because I've seen it advertised many times and was absolutely stunned. This app is THE HELP you want for school and above all, it offers so many things, such as workouts and fact sheets, which have been VERY helpful to me personally.
Anna
iOS user
Best app on earth! no words because it’s too good
Thomas R
iOS user
Just amazing. Let's me revise 10x better, this app is a quick 10/10. I highly recommend it to anyone. I can watch and search for notes. I can save them in the subject folder. I can revise it any time when I come back. If you haven't tried this app, you're really missing out.
Basil
Android user
This app has made me feel so much more confident in my exam prep, not only through boosting my own self confidence through the features that allow you to connect with others and feel less alone, but also through the way the app itself is centred around making you feel better. It is easy to navigate, fun to use, and helpful to anyone struggling in absolutely any way.
David K
iOS user
The app's just great! All I have to do is enter the topic in the search bar and I get the response real fast. I don't have to watch 10 YouTube videos to understand something, so I'm saving my time. Highly recommended!
Sudenaz Ocak
Android user
In school I was really bad at maths but thanks to the app, I am doing better now. I am so grateful that you made the app.
Greenlight Bonnie
Android user
very reliable app to help and grow your ideas of Maths, English and other related topics in your works. please use this app if your struggling in areas, this app is key for that. wish I'd of done a review before. and it's also free so don't worry about that.
Rohan U
Android user
I know a lot of apps use fake accounts to boost their reviews but this app deserves it all. Originally I was getting 4 in my English exams and this time I got a grade 7. I didn’t even know about this app three days until the exam and it has helped A LOT. Please actually trust me and use it as I’m sure you too will see developments.
Xander S
iOS user
THE QUIZES AND FLASHCARDS ARE SO USEFUL AND I LOVE THE SCHOOLGPT. IT ALSO IS LITREALLY LIKE CHATGPT BUT SMARTER!! HELPED ME WITH MY MASCARA PROBLEMS TOO!! AS WELL AS MY REAL SUBJECTS ! DUHHH 😍😁😲🤑💗✨🎀😮
Elisha
iOS user
This apps acc the goat. I find revision so boring but this app makes it so easy to organize it all and then you can ask the freeeee ai to test yourself so good and you can easily upload your own stuff. highly recommend as someone taking mocks now
Paul T
iOS user
maria
@maria_reji
Bram Stoker's "Dracula" stands as one of the most influential Gothic fiction books ever written, weaving together supernatural horror, Victorian anxieties, and timeless themes that continue to captivate readers.
The novel's Gothic elementsare masterfully crafted through its... Show more

Access to all documents
Improve your grades
Join milions of students
By signing up you accept Terms of Service and Privacy Policy
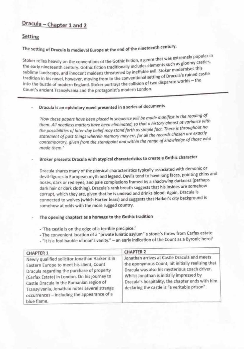
The masterful Gothic fiction novel Dracula opens in late 19th century Europe, where Bram Stoker expertly weaves traditional Gothic literature elements with modern Victorian sensibilities. The narrative begins with Jonathan Harker's journey to Transylvania, establishing crucial Gothic elements in Dracula Chapter 1 through its atmospheric setting and supernatural undertones.
Definition: Gothic fiction traditionally features gloomy castles, sublime landscapes, and innocent characters threatened by supernatural evil. Stoker modernizes these conventions by contrasting Count Dracula's ancient castle with contemporary London.
The novel's epistolary format, told through letters, diary entries, and newspaper articles, creates an air of authenticity while introducing key Dracula characters. Jonathan Harker, a young solicitor, serves as our initial window into this dark world, documenting his increasingly disturbing experiences at Castle Dracula.
Stoker's description of Dracula establishes him as the quintessential Gothic villain. The Count possesses distinctive physical features that align with European devil-figures: a long face, pointed chin and nose, dark eyes, and pale complexion. His connection to wolves and the wild countryside creates a stark contrast with Harker's civilized urban background.

Access to all documents
Improve your grades
Join milions of students
By signing up you accept Terms of Service and Privacy Policy
The novel's Dracula themes become increasingly complex as the story progresses. Chapter 3 introduces significant Gothic themes in Dracula, including the struggle between modernity and ancient evil, sexual repression, and the corruption of innocence.
Highlight: The appearance of Dracula's three female vampires represents a Victorian nightmare - sexually aggressive women who challenge period social norms. This scene exemplifies the theme of fear in Dracula while addressing contemporary anxieties about female sexuality.
The theme of madness in Dracula emerges strongly through Harker's deteriorating mental state. His imprisonment in Castle Dracula serves as both literal confinement and metaphorical descent into psychological horror, demonstrating how Stoker masterfully combines physical and psychological terror.

Access to all documents
Improve your grades
Join milions of students
By signing up you accept Terms of Service and Privacy Policy
Stoker's novel provides deep commentary on Victorian social values through its Dracula symbols and themes. The concept of the "fallen woman" features prominently, contrasting the period's ideal of the "angel in the house" with the sexually aggressive vampire women.
Example: The three vampire sisters represent everything Victorian society feared about female sexuality. Their attempted seduction of Harker illustrates the period's anxiety about moral corruption and sexual liberation.
The Dracula historical context reveals how the novel addressed Victorian fears about moral decay, foreign influence, and the tension between traditional values and modern progress. These themes resonated strongly with contemporary readers while establishing enduring literary motifs.

Access to all documents
Improve your grades
Join milions of students
By signing up you accept Terms of Service and Privacy Policy
The novel's writing style employs various Gothic literary devices to create its haunting atmosphere. Dracula writing style features rich descriptive language, psychological tension, and symbolic imagery that enhance the horror elements.
Vocabulary: Key literary techniques include:
The Dracula gothic quotes throughout the text reinforce themes of supernatural horror, psychological deterioration, and moral corruption. Through careful word choice and narrative structure, Stoker creates a masterpiece of Gothic literature that continues to influence the genre today.

Access to all documents
Improve your grades
Join milions of students
By signing up you accept Terms of Service and Privacy Policy
Van Helsing emerges as one of the most fascinating Dracula characters in Stoker's masterpiece of Gothic literature. His unique position as both a modern scientist and metaphysical philosopher makes him particularly equipped to battle the supernatural threat of Dracula. Van Helsing represents the perfect bridge between rational scientific thinking and ancient spiritual wisdom, effectively embodying the novel's central tension between modernity and antiquity.
Definition: Van Helsing serves as a hybrid character who combines modern scientific knowledge with ancient folkloric wisdom, making him uniquely qualified to understand and combat Dracula's supernatural threats.
Dr. Seward's character provides crucial insights into the Gothic elements in Dracula, particularly through his poetic observations of London. His description of the city's sunset, with its "smoky beauty" and "lurid lights," creates a powerful contrast between civilization and the supernatural darkness that threatens it. This portrayal contributes significantly to the Gothic themes in Dracula, especially the theme of modernity versus ancient evil.
The psychological depth of Dr. Seward's character becomes evident in his introspective moments, revealing important dracula themes of personal suffering and emotional turmoil. His observation of London's industrial landscape, juxtaposed with his own "desolate heart," demonstrates the novel's exploration of inner psychological struggles alongside external supernatural threats.

Access to all documents
Improve your grades
Join milions of students
By signing up you accept Terms of Service and Privacy Policy
The novel's Gothic elements in dracula chapter 1 set the tone for the entire narrative, establishing key dracula themes that persist throughout the story. The contrast between beauty and horror, civilization and barbarism, and modernity and ancient evil are particularly evident in the characters' perspectives and experiences.
Highlight: The novel's Gothic elements include the juxtaposition of beautiful and horrific imagery, the tension between modern and ancient worlds, and the exploration of psychological terror alongside supernatural threats.
The theme of fear in dracula manifests through various characters' experiences, but particularly through Dr. Seward's observations. His description of the "wonderful smoky beauty" of London contrasted with the "grim sternness" of his building creates a powerful atmosphere of impending doom, characteristic of Gothic fiction books. This contrast helps establish the dracula writing style that makes the novel so compelling.
The dracula historical context becomes particularly relevant when examining how the novel portrays London as both a symbol of progress and a potential target for ancient evil. The industrial revolution's impact on Victorian society creates a backdrop against which the supernatural elements become even more striking, contributing to the novel's enduring appeal as a masterpiece of Gothic literature.

Access to all documents
Improve your grades
Join milions of students
By signing up you accept Terms of Service and Privacy Policy
The opening chapters establish the classic Gothic fiction framework while introducing the main characters and setting. Jonathan Harker's journey to Transylvania sets up the collision between modern England and ancient Eastern Europe.
Definition: Epistolary novel - a narrative told through a collection of letters, diary entries, and documents.
Highlight: The novel's setting in both Transylvania and London represents the clash between ancient superstition and modern rationality.
Quote: "How these papers have been placed in sequence will be made manifest in the reading of them."
The description of Dracula follows traditional demonic imagery, with distinctive features including:
Example: The castle's location "on the edge of a terrible precipice" exemplifies classic Gothic elements in Dracula Chapter 1.

Access to all documents
Improve your grades
Join milions of students
By signing up you accept Terms of Service and Privacy Policy

Access to all documents
Improve your grades
Join milions of students
By signing up you accept Terms of Service and Privacy Policy

Access to all documents
Improve your grades
Join milions of students
By signing up you accept Terms of Service and Privacy Policy
Our AI Companion is a student-focused AI tool that offers more than just answers. Built on millions of Knowunity resources, it provides relevant information, personalised study plans, quizzes, and content directly in the chat, adapting to your individual learning journey.
You can download the app from Google Play Store and Apple App Store.
That's right! Enjoy free access to study content, connect with fellow students, and get instant help – all at your fingertips.
64
Smart Tools NEW
Transform this note into: ✓ 50+ Practice Questions ✓ Interactive Flashcards ✓ Full Mock Exam ✓ Essay Outlines
Explore the key themes of greed, generosity, and forgiveness in 'A Christmas Carol' through significant quotes and character analysis. This summary highlights Scrooge's transformation and the social commentary on poverty and family dynamics. Ideal for students studying Dickens' classic.
Explore the intricate themes of ambition and guilt in Shakespeare's 'Macbeth' through key quotes and character analysis. This mind map delves into the supernatural influences of the witches, the psychological turmoil of Macbeth and Lady Macbeth, and the tragic consequences of their unchecked ambition. Ideal for students studying Shakespearean literature.
Explore the themes of social responsibility, class, and gender in J.B. Priestley's 'An Inspector Calls'. This analysis covers character actions, key evidence, and critical insights into how each character's sense of responsibility impacts the narrative. Ideal for students studying character development and thematic elements in literature.
Explore key themes, character analyses, and contextual information for John Steinbeck's *Of Mice and Men*. This revision guide includes adaptable quotes, a detailed ranch hierarchy, and insights into the social issues of the 1930s, including the Great Depression and civil rights. Perfect for exam preparation and deepening your understanding of the text.
Explore how John Steinbeck's character Candy in 'Of Mice and Men' embodies the themes of loneliness, friendship, and the American Dream during the Great Depression. This 20 Mark Practice Essay analyzes Candy's experiences as an elderly and disabled man, illustrating the societal challenges faced by marginalized individuals in 1930s America. Key insights into Candy's relationships and the impact of his dreams are discussed, providing a comprehensive understanding of Steinbeck's critique of society.
Explore the essential characters of Shakespeare's 'Macbeth', including King Duncan, Macbeth, Lady Macbeth, Banquo, and the Witches. This summary highlights their traits, relationships, and roles in the play, providing insights into themes of loyalty, ambition, and betrayal. Ideal for students studying character dynamics in literature.
App Store
Google Play
The app is very easy to use and well designed. I have found everything I was looking for so far and have been able to learn a lot from the presentations! I will definitely use the app for a class assignment! And of course it also helps a lot as an inspiration.
Stefan S
iOS user
This app is really great. There are so many study notes and help [...]. My problem subject is French, for example, and the app has so many options for help. Thanks to this app, I have improved my French. I would recommend it to anyone.
Samantha Klich
Android user
Wow, I am really amazed. I just tried the app because I've seen it advertised many times and was absolutely stunned. This app is THE HELP you want for school and above all, it offers so many things, such as workouts and fact sheets, which have been VERY helpful to me personally.
Anna
iOS user
Best app on earth! no words because it’s too good
Thomas R
iOS user
Just amazing. Let's me revise 10x better, this app is a quick 10/10. I highly recommend it to anyone. I can watch and search for notes. I can save them in the subject folder. I can revise it any time when I come back. If you haven't tried this app, you're really missing out.
Basil
Android user
This app has made me feel so much more confident in my exam prep, not only through boosting my own self confidence through the features that allow you to connect with others and feel less alone, but also through the way the app itself is centred around making you feel better. It is easy to navigate, fun to use, and helpful to anyone struggling in absolutely any way.
David K
iOS user
The app's just great! All I have to do is enter the topic in the search bar and I get the response real fast. I don't have to watch 10 YouTube videos to understand something, so I'm saving my time. Highly recommended!
Sudenaz Ocak
Android user
In school I was really bad at maths but thanks to the app, I am doing better now. I am so grateful that you made the app.
Greenlight Bonnie
Android user
very reliable app to help and grow your ideas of Maths, English and other related topics in your works. please use this app if your struggling in areas, this app is key for that. wish I'd of done a review before. and it's also free so don't worry about that.
Rohan U
Android user
I know a lot of apps use fake accounts to boost their reviews but this app deserves it all. Originally I was getting 4 in my English exams and this time I got a grade 7. I didn’t even know about this app three days until the exam and it has helped A LOT. Please actually trust me and use it as I’m sure you too will see developments.
Xander S
iOS user
THE QUIZES AND FLASHCARDS ARE SO USEFUL AND I LOVE THE SCHOOLGPT. IT ALSO IS LITREALLY LIKE CHATGPT BUT SMARTER!! HELPED ME WITH MY MASCARA PROBLEMS TOO!! AS WELL AS MY REAL SUBJECTS ! DUHHH 😍😁😲🤑💗✨🎀😮
Elisha
iOS user
This apps acc the goat. I find revision so boring but this app makes it so easy to organize it all and then you can ask the freeeee ai to test yourself so good and you can easily upload your own stuff. highly recommend as someone taking mocks now
Paul T
iOS user
The app is very easy to use and well designed. I have found everything I was looking for so far and have been able to learn a lot from the presentations! I will definitely use the app for a class assignment! And of course it also helps a lot as an inspiration.
Stefan S
iOS user
This app is really great. There are so many study notes and help [...]. My problem subject is French, for example, and the app has so many options for help. Thanks to this app, I have improved my French. I would recommend it to anyone.
Samantha Klich
Android user
Wow, I am really amazed. I just tried the app because I've seen it advertised many times and was absolutely stunned. This app is THE HELP you want for school and above all, it offers so many things, such as workouts and fact sheets, which have been VERY helpful to me personally.
Anna
iOS user
Best app on earth! no words because it’s too good
Thomas R
iOS user
Just amazing. Let's me revise 10x better, this app is a quick 10/10. I highly recommend it to anyone. I can watch and search for notes. I can save them in the subject folder. I can revise it any time when I come back. If you haven't tried this app, you're really missing out.
Basil
Android user
This app has made me feel so much more confident in my exam prep, not only through boosting my own self confidence through the features that allow you to connect with others and feel less alone, but also through the way the app itself is centred around making you feel better. It is easy to navigate, fun to use, and helpful to anyone struggling in absolutely any way.
David K
iOS user
The app's just great! All I have to do is enter the topic in the search bar and I get the response real fast. I don't have to watch 10 YouTube videos to understand something, so I'm saving my time. Highly recommended!
Sudenaz Ocak
Android user
In school I was really bad at maths but thanks to the app, I am doing better now. I am so grateful that you made the app.
Greenlight Bonnie
Android user
very reliable app to help and grow your ideas of Maths, English and other related topics in your works. please use this app if your struggling in areas, this app is key for that. wish I'd of done a review before. and it's also free so don't worry about that.
Rohan U
Android user
I know a lot of apps use fake accounts to boost their reviews but this app deserves it all. Originally I was getting 4 in my English exams and this time I got a grade 7. I didn’t even know about this app three days until the exam and it has helped A LOT. Please actually trust me and use it as I’m sure you too will see developments.
Xander S
iOS user
THE QUIZES AND FLASHCARDS ARE SO USEFUL AND I LOVE THE SCHOOLGPT. IT ALSO IS LITREALLY LIKE CHATGPT BUT SMARTER!! HELPED ME WITH MY MASCARA PROBLEMS TOO!! AS WELL AS MY REAL SUBJECTS ! DUHHH 😍😁😲🤑💗✨🎀😮
Elisha
iOS user
This apps acc the goat. I find revision so boring but this app makes it so easy to organize it all and then you can ask the freeeee ai to test yourself so good and you can easily upload your own stuff. highly recommend as someone taking mocks now
Paul T
iOS user