Open the App

Subjects

909

8 Dec 2025

56 pages

Learn About Reversible Reactions and Dynamic Equilibrium: A Fun Physics and Maths Guide for GCSE

Reversible reactions and dynamic equilibriumare fundamental concepts in chemistry... Show more

Page 1
Page 1
Page 1
Page 2
Page 2
Page 2
Page 3
Page 3
Page 3
Page 4
1 / 10

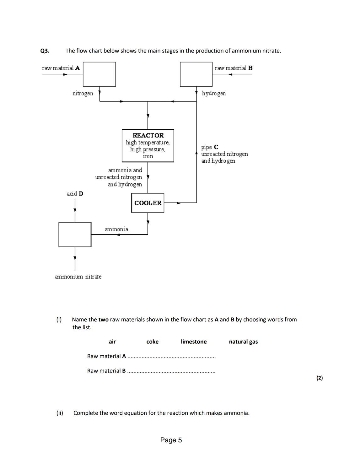
<p>Q1. <strong>Anhydrous Cobalt Chloride Reaction</strong></p>
<p>The word equation shows the reaction between anhydrous cobalt chloride an

Page 4 Summary: Historical Context and Applications

This page discusses the historical significance of chemical processes through the example of Humberstone mines.

Example: The closure of sodium nitrate mines due to the Haber process invention

Definition: Ammonium nitrate is produced by reacting ammonia with nitric acid

Highlight: The Haber process revolutionized fertilizer production

Quote: "Today the mines have closed and nobody lives in Humberstone."


<p>Q1. <strong>Anhydrous Cobalt Chloride Reaction</strong></p>
<p>The word equation shows the reaction between anhydrous cobalt chloride an

Industrial Chemical Processes and Equilibrium Conditions

The optimization of industrial chemical processes requires careful consideration of multiple factors affecting equilibrium conditions. In the Haber process, several key conditions must be maintained for efficient ammonia production.

Highlight: The Haber process conditions include:

  • Temperature: 450°C (compromise between kinetics and yield)
  • Pressure: 200 atmospheres (favors product formation)
  • Catalyst: Iron (reduces activation energy)
  • Continuous removal of product (shifts equilibrium forward)

The iron catalyst in the Haber process serves a crucial role by providing an alternative reaction pathway with lower activation energy, thereby increasing reaction rate without affecting the equilibrium position. This exemplifies how catalysts are essential in industrial processes while maintaining optimal temperature and pressure conditions.

Vocabulary: The catalyst used in Haber process for ammonia production is iron, which:

  • Doesn't affect equilibrium position
  • Speeds up reaction rate
  • Remains unchanged after reaction
  • Provides alternative reaction pathway

The separation of products in both ethanol production and the Haber process involves careful control of temperature and pressure conditions. In the Haber process, ammonia is separated from unreacted gases through condensation, while in ethanol production, a separator removes unreacted ethene for recycling.


<p>Q1. <strong>Anhydrous Cobalt Chloride Reaction</strong></p>
<p>The word equation shows the reaction between anhydrous cobalt chloride an

Understanding Reversible Reactions and Industrial Chemical Processes

In chemical reactions, particularly those involving reversible reactions and dynamic equilibrium, understanding the conditions and factors that affect product yield is crucial. The reaction between anhydrous cobalt chloride and water demonstrates key principles of reversible reactions, while industrial processes like ethanol production and the Haber process showcase practical applications.

Definition: Reversible reactions are chemical reactions that can proceed in both forward and backward directions, eventually reaching a state of dynamic equilibrium where the rates of forward and backward reactions are equal.

The production of ethanol through the reaction of ethene and steam represents an important industrial process. This reaction occurs at specific conditions - 300°C and 60 atmospheres pressure - with a catalyst to optimize yield. The reaction follows the equation: C₂H₄ (g) + H₂O (g) ⇌ C₂H5OH (g)

Example: In industrial production of ethanol, temperature and pressure play crucial roles:

  • Higher temperatures decrease ethanol yield (Le Chatelier's Principle)
  • Higher pressures increase ethanol yield due to fewer gas molecules on product side

The Haber process represents another significant industrial application of reversible reactions. Operating at 450°C and 200 atmospheres pressure with an iron catalyst, this process produces ammonia from nitrogen and hydrogen gases. The reaction is exothermic and follows the equation: N₂(g) + 3H₂(g) ⇌ 2NH₃(g)


<p>Q1. <strong>Anhydrous Cobalt Chloride Reaction</strong></p>
<p>The word equation shows the reaction between anhydrous cobalt chloride an

Page 1 Summary: Industrial Chemical Processes and Reactions

The page introduces three key chemical processes: cobalt chloride hydration, ethanol production, and the Haber process.

Example: The hydration reaction of anhydrous cobalt chloride (blue) to form hydrated cobalt chloride (pink)

Definition: An exothermic reaction is one that releases heat to the surroundings

Highlight: The industrial production of ethanol occurs at 300°C and 60 atmospheres pressure

Vocabulary: Anhydrous - a substance containing no water


<p>Q1. <strong>Anhydrous Cobalt Chloride Reaction</strong></p>
<p>The word equation shows the reaction between anhydrous cobalt chloride an

<p>Q1. <strong>Anhydrous Cobalt Chloride Reaction</strong></p>
<p>The word equation shows the reaction between anhydrous cobalt chloride an

<p>Q1. <strong>Anhydrous Cobalt Chloride Reaction</strong></p>
<p>The word equation shows the reaction between anhydrous cobalt chloride an

<p>Q1. <strong>Anhydrous Cobalt Chloride Reaction</strong></p>
<p>The word equation shows the reaction between anhydrous cobalt chloride an

<p>Q1. <strong>Anhydrous Cobalt Chloride Reaction</strong></p>
<p>The word equation shows the reaction between anhydrous cobalt chloride an

<p>Q1. <strong>Anhydrous Cobalt Chloride Reaction</strong></p>
<p>The word equation shows the reaction between anhydrous cobalt chloride an


We thought you’d never ask...

What is the Knowunity AI companion?

Our AI Companion is a student-focused AI tool that offers more than just answers. Built on millions of Knowunity resources, it provides relevant information, personalised study plans, quizzes, and content directly in the chat, adapting to your individual learning journey.

Where can I download the Knowunity app?

You can download the app from Google Play Store and Apple App Store.

Is Knowunity really free of charge?

That's right! Enjoy free access to study content, connect with fellow students, and get instant help – all at your fingertips.

Most popular content in Chemistry

Most popular content

English - inspector calls quotes and analysis

Quotes from every main character

English LiteratureEnglish Literature
10

Can't find what you're looking for? Explore other subjects.

Students love us — and so will you.

4.9/5

App Store

4.8/5

Google Play

The app is very easy to use and well designed. I have found everything I was looking for so far and have been able to learn a lot from the presentations! I will definitely use the app for a class assignment! And of course it also helps a lot as an inspiration.

Stefan S

iOS user

This app is really great. There are so many study notes and help [...]. My problem subject is French, for example, and the app has so many options for help. Thanks to this app, I have improved my French. I would recommend it to anyone.

Samantha Klich

Android user

Wow, I am really amazed. I just tried the app because I've seen it advertised many times and was absolutely stunned. This app is THE HELP you want for school and above all, it offers so many things, such as workouts and fact sheets, which have been VERY helpful to me personally.

Anna

iOS user

Best app on earth! no words because it’s too good

Thomas R

iOS user

Just amazing. Let's me revise 10x better, this app is a quick 10/10. I highly recommend it to anyone. I can watch and search for notes. I can save them in the subject folder. I can revise it any time when I come back. If you haven't tried this app, you're really missing out.

Basil

Android user

This app has made me feel so much more confident in my exam prep, not only through boosting my own self confidence through the features that allow you to connect with others and feel less alone, but also through the way the app itself is centred around making you feel better. It is easy to navigate, fun to use, and helpful to anyone struggling in absolutely any way.

David K

iOS user

The app's just great! All I have to do is enter the topic in the search bar and I get the response real fast. I don't have to watch 10 YouTube videos to understand something, so I'm saving my time. Highly recommended!

Sudenaz Ocak

Android user

In school I was really bad at maths but thanks to the app, I am doing better now. I am so grateful that you made the app.

Greenlight Bonnie

Android user

very reliable app to help and grow your ideas of Maths, English and other related topics in your works. please use this app if your struggling in areas, this app is key for that. wish I'd of done a review before. and it's also free so don't worry about that.

Rohan U

Android user

I know a lot of apps use fake accounts to boost their reviews but this app deserves it all. Originally I was getting 4 in my English exams and this time I got a grade 7. I didn’t even know about this app three days until the exam and it has helped A LOT. Please actually trust me and use it as I’m sure you too will see developments.

Xander S

iOS user

THE QUIZES AND FLASHCARDS ARE SO USEFUL AND I LOVE THE SCHOOLGPT. IT ALSO IS LITREALLY LIKE CHATGPT BUT SMARTER!! HELPED ME WITH MY MASCARA PROBLEMS TOO!! AS WELL AS MY REAL SUBJECTS ! DUHHH 😍😁😲🤑💗✨🎀😮

Elisha

iOS user

This apps acc the goat. I find revision so boring but this app makes it so easy to organize it all and then you can ask the freeeee ai to test yourself so good and you can easily upload your own stuff. highly recommend as someone taking mocks now

Paul T

iOS user

The app is very easy to use and well designed. I have found everything I was looking for so far and have been able to learn a lot from the presentations! I will definitely use the app for a class assignment! And of course it also helps a lot as an inspiration.

Stefan S

iOS user

This app is really great. There are so many study notes and help [...]. My problem subject is French, for example, and the app has so many options for help. Thanks to this app, I have improved my French. I would recommend it to anyone.

Samantha Klich

Android user

Wow, I am really amazed. I just tried the app because I've seen it advertised many times and was absolutely stunned. This app is THE HELP you want for school and above all, it offers so many things, such as workouts and fact sheets, which have been VERY helpful to me personally.

Anna

iOS user

Best app on earth! no words because it’s too good

Thomas R

iOS user

Just amazing. Let's me revise 10x better, this app is a quick 10/10. I highly recommend it to anyone. I can watch and search for notes. I can save them in the subject folder. I can revise it any time when I come back. If you haven't tried this app, you're really missing out.

Basil

Android user

This app has made me feel so much more confident in my exam prep, not only through boosting my own self confidence through the features that allow you to connect with others and feel less alone, but also through the way the app itself is centred around making you feel better. It is easy to navigate, fun to use, and helpful to anyone struggling in absolutely any way.

David K

iOS user

The app's just great! All I have to do is enter the topic in the search bar and I get the response real fast. I don't have to watch 10 YouTube videos to understand something, so I'm saving my time. Highly recommended!

Sudenaz Ocak

Android user

In school I was really bad at maths but thanks to the app, I am doing better now. I am so grateful that you made the app.

Greenlight Bonnie

Android user

very reliable app to help and grow your ideas of Maths, English and other related topics in your works. please use this app if your struggling in areas, this app is key for that. wish I'd of done a review before. and it's also free so don't worry about that.

Rohan U

Android user

I know a lot of apps use fake accounts to boost their reviews but this app deserves it all. Originally I was getting 4 in my English exams and this time I got a grade 7. I didn’t even know about this app three days until the exam and it has helped A LOT. Please actually trust me and use it as I’m sure you too will see developments.

Xander S

iOS user

THE QUIZES AND FLASHCARDS ARE SO USEFUL AND I LOVE THE SCHOOLGPT. IT ALSO IS LITREALLY LIKE CHATGPT BUT SMARTER!! HELPED ME WITH MY MASCARA PROBLEMS TOO!! AS WELL AS MY REAL SUBJECTS ! DUHHH 😍😁😲🤑💗✨🎀😮

Elisha

iOS user

This apps acc the goat. I find revision so boring but this app makes it so easy to organize it all and then you can ask the freeeee ai to test yourself so good and you can easily upload your own stuff. highly recommend as someone taking mocks now

Paul T

iOS user

 

Chemistry

909

8 Dec 2025

56 pages

Learn About Reversible Reactions and Dynamic Equilibrium: A Fun Physics and Maths Guide for GCSE

Reversible reactions and dynamic equilibriumare fundamental concepts in chemistry that play a crucial role in industrial processes and natural systems. In a reversible reaction, products can convert back into reactants under specific conditions, indicated by double arrows (⇌) in... Show more


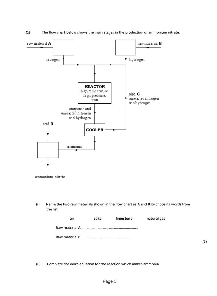
<p>Q1. <strong>Anhydrous Cobalt Chloride Reaction</strong></p>
<p>The word equation shows the reaction between anhydrous cobalt chloride an

Sign up to see the contentIt's free!

Access to all documents

Improve your grades

Join milions of students

By signing up you accept Terms of Service and Privacy Policy

Page 4 Summary: Historical Context and Applications

This page discusses the historical significance of chemical processes through the example of Humberstone mines.

Example: The closure of sodium nitrate mines due to the Haber process invention

Definition: Ammonium nitrate is produced by reacting ammonia with nitric acid

Highlight: The Haber process revolutionized fertilizer production

Quote: "Today the mines have closed and nobody lives in Humberstone."


<p>Q1. <strong>Anhydrous Cobalt Chloride Reaction</strong></p>
<p>The word equation shows the reaction between anhydrous cobalt chloride an

Sign up to see the contentIt's free!

Access to all documents

Improve your grades

Join milions of students

By signing up you accept Terms of Service and Privacy Policy

Industrial Chemical Processes and Equilibrium Conditions

The optimization of industrial chemical processes requires careful consideration of multiple factors affecting equilibrium conditions. In the Haber process, several key conditions must be maintained for efficient ammonia production.

Highlight: The Haber process conditions include:

  • Temperature: 450°C (compromise between kinetics and yield)
  • Pressure: 200 atmospheres (favors product formation)
  • Catalyst: Iron (reduces activation energy)
  • Continuous removal of product (shifts equilibrium forward)

The iron catalyst in the Haber process serves a crucial role by providing an alternative reaction pathway with lower activation energy, thereby increasing reaction rate without affecting the equilibrium position. This exemplifies how catalysts are essential in industrial processes while maintaining optimal temperature and pressure conditions.

Vocabulary: The catalyst used in Haber process for ammonia production is iron, which:

  • Doesn't affect equilibrium position
  • Speeds up reaction rate
  • Remains unchanged after reaction
  • Provides alternative reaction pathway

The separation of products in both ethanol production and the Haber process involves careful control of temperature and pressure conditions. In the Haber process, ammonia is separated from unreacted gases through condensation, while in ethanol production, a separator removes unreacted ethene for recycling.


<p>Q1. <strong>Anhydrous Cobalt Chloride Reaction</strong></p>
<p>The word equation shows the reaction between anhydrous cobalt chloride an

Sign up to see the contentIt's free!

Access to all documents

Improve your grades

Join milions of students

By signing up you accept Terms of Service and Privacy Policy

Understanding Reversible Reactions and Industrial Chemical Processes

In chemical reactions, particularly those involving reversible reactions and dynamic equilibrium, understanding the conditions and factors that affect product yield is crucial. The reaction between anhydrous cobalt chloride and water demonstrates key principles of reversible reactions, while industrial processes like ethanol production and the Haber process showcase practical applications.

Definition: Reversible reactions are chemical reactions that can proceed in both forward and backward directions, eventually reaching a state of dynamic equilibrium where the rates of forward and backward reactions are equal.

The production of ethanol through the reaction of ethene and steam represents an important industrial process. This reaction occurs at specific conditions - 300°C and 60 atmospheres pressure - with a catalyst to optimize yield. The reaction follows the equation: C₂H₄ (g) + H₂O (g) ⇌ C₂H5OH (g)

Example: In industrial production of ethanol, temperature and pressure play crucial roles:

  • Higher temperatures decrease ethanol yield (Le Chatelier's Principle)
  • Higher pressures increase ethanol yield due to fewer gas molecules on product side

The Haber process represents another significant industrial application of reversible reactions. Operating at 450°C and 200 atmospheres pressure with an iron catalyst, this process produces ammonia from nitrogen and hydrogen gases. The reaction is exothermic and follows the equation: N₂(g) + 3H₂(g) ⇌ 2NH₃(g)


<p>Q1. <strong>Anhydrous Cobalt Chloride Reaction</strong></p>
<p>The word equation shows the reaction between anhydrous cobalt chloride an

Sign up to see the contentIt's free!

Access to all documents

Improve your grades

Join milions of students

By signing up you accept Terms of Service and Privacy Policy

Page 1 Summary: Industrial Chemical Processes and Reactions

The page introduces three key chemical processes: cobalt chloride hydration, ethanol production, and the Haber process.

Example: The hydration reaction of anhydrous cobalt chloride (blue) to form hydrated cobalt chloride (pink)

Definition: An exothermic reaction is one that releases heat to the surroundings

Highlight: The industrial production of ethanol occurs at 300°C and 60 atmospheres pressure

Vocabulary: Anhydrous - a substance containing no water


<p>Q1. <strong>Anhydrous Cobalt Chloride Reaction</strong></p>
<p>The word equation shows the reaction between anhydrous cobalt chloride an

Sign up to see the contentIt's free!

Access to all documents

Improve your grades

Join milions of students

By signing up you accept Terms of Service and Privacy Policy


<p>Q1. <strong>Anhydrous Cobalt Chloride Reaction</strong></p>
<p>The word equation shows the reaction between anhydrous cobalt chloride an

Sign up to see the contentIt's free!

Access to all documents

Improve your grades

Join milions of students

By signing up you accept Terms of Service and Privacy Policy


<p>Q1. <strong>Anhydrous Cobalt Chloride Reaction</strong></p>
<p>The word equation shows the reaction between anhydrous cobalt chloride an

Sign up to see the contentIt's free!

Access to all documents

Improve your grades

Join milions of students

By signing up you accept Terms of Service and Privacy Policy


<p>Q1. <strong>Anhydrous Cobalt Chloride Reaction</strong></p>
<p>The word equation shows the reaction between anhydrous cobalt chloride an

Sign up to see the contentIt's free!

Access to all documents

Improve your grades

Join milions of students

By signing up you accept Terms of Service and Privacy Policy


<p>Q1. <strong>Anhydrous Cobalt Chloride Reaction</strong></p>
<p>The word equation shows the reaction between anhydrous cobalt chloride an

Sign up to see the contentIt's free!

Access to all documents

Improve your grades

Join milions of students

By signing up you accept Terms of Service and Privacy Policy


<p>Q1. <strong>Anhydrous Cobalt Chloride Reaction</strong></p>
<p>The word equation shows the reaction between anhydrous cobalt chloride an

Sign up to see the contentIt's free!

Access to all documents

Improve your grades

Join milions of students

By signing up you accept Terms of Service and Privacy Policy

We thought you’d never ask...

What is the Knowunity AI companion?

Our AI Companion is a student-focused AI tool that offers more than just answers. Built on millions of Knowunity resources, it provides relevant information, personalised study plans, quizzes, and content directly in the chat, adapting to your individual learning journey.

Where can I download the Knowunity app?

You can download the app from Google Play Store and Apple App Store.

Is Knowunity really free of charge?

That's right! Enjoy free access to study content, connect with fellow students, and get instant help – all at your fingertips.

16

Smart Tools NEW

Transform this note into: ✓ 50+ Practice Questions ✓ Interactive Flashcards ✓ Full Mock Exam ✓ Essay Outlines

Mock Exam
Quiz
Flashcards
Essay

Most popular content in Chemistry

Most popular content

English - inspector calls quotes and analysis

Quotes from every main character

English LiteratureEnglish Literature
10

Can't find what you're looking for? Explore other subjects.

Students love us — and so will you.

4.9/5

App Store

4.8/5

Google Play

The app is very easy to use and well designed. I have found everything I was looking for so far and have been able to learn a lot from the presentations! I will definitely use the app for a class assignment! And of course it also helps a lot as an inspiration.

Stefan S

iOS user

This app is really great. There are so many study notes and help [...]. My problem subject is French, for example, and the app has so many options for help. Thanks to this app, I have improved my French. I would recommend it to anyone.

Samantha Klich

Android user

Wow, I am really amazed. I just tried the app because I've seen it advertised many times and was absolutely stunned. This app is THE HELP you want for school and above all, it offers so many things, such as workouts and fact sheets, which have been VERY helpful to me personally.

Anna

iOS user

Best app on earth! no words because it’s too good

Thomas R

iOS user

Just amazing. Let's me revise 10x better, this app is a quick 10/10. I highly recommend it to anyone. I can watch and search for notes. I can save them in the subject folder. I can revise it any time when I come back. If you haven't tried this app, you're really missing out.

Basil

Android user

This app has made me feel so much more confident in my exam prep, not only through boosting my own self confidence through the features that allow you to connect with others and feel less alone, but also through the way the app itself is centred around making you feel better. It is easy to navigate, fun to use, and helpful to anyone struggling in absolutely any way.

David K

iOS user

The app's just great! All I have to do is enter the topic in the search bar and I get the response real fast. I don't have to watch 10 YouTube videos to understand something, so I'm saving my time. Highly recommended!

Sudenaz Ocak

Android user

In school I was really bad at maths but thanks to the app, I am doing better now. I am so grateful that you made the app.

Greenlight Bonnie

Android user

very reliable app to help and grow your ideas of Maths, English and other related topics in your works. please use this app if your struggling in areas, this app is key for that. wish I'd of done a review before. and it's also free so don't worry about that.

Rohan U

Android user

I know a lot of apps use fake accounts to boost their reviews but this app deserves it all. Originally I was getting 4 in my English exams and this time I got a grade 7. I didn’t even know about this app three days until the exam and it has helped A LOT. Please actually trust me and use it as I’m sure you too will see developments.

Xander S

iOS user

THE QUIZES AND FLASHCARDS ARE SO USEFUL AND I LOVE THE SCHOOLGPT. IT ALSO IS LITREALLY LIKE CHATGPT BUT SMARTER!! HELPED ME WITH MY MASCARA PROBLEMS TOO!! AS WELL AS MY REAL SUBJECTS ! DUHHH 😍😁😲🤑💗✨🎀😮

Elisha

iOS user

This apps acc the goat. I find revision so boring but this app makes it so easy to organize it all and then you can ask the freeeee ai to test yourself so good and you can easily upload your own stuff. highly recommend as someone taking mocks now

Paul T

iOS user

The app is very easy to use and well designed. I have found everything I was looking for so far and have been able to learn a lot from the presentations! I will definitely use the app for a class assignment! And of course it also helps a lot as an inspiration.

Stefan S

iOS user

This app is really great. There are so many study notes and help [...]. My problem subject is French, for example, and the app has so many options for help. Thanks to this app, I have improved my French. I would recommend it to anyone.

Samantha Klich

Android user

Wow, I am really amazed. I just tried the app because I've seen it advertised many times and was absolutely stunned. This app is THE HELP you want for school and above all, it offers so many things, such as workouts and fact sheets, which have been VERY helpful to me personally.

Anna

iOS user

Best app on earth! no words because it’s too good

Thomas R

iOS user

Just amazing. Let's me revise 10x better, this app is a quick 10/10. I highly recommend it to anyone. I can watch and search for notes. I can save them in the subject folder. I can revise it any time when I come back. If you haven't tried this app, you're really missing out.

Basil

Android user

This app has made me feel so much more confident in my exam prep, not only through boosting my own self confidence through the features that allow you to connect with others and feel less alone, but also through the way the app itself is centred around making you feel better. It is easy to navigate, fun to use, and helpful to anyone struggling in absolutely any way.

David K

iOS user

The app's just great! All I have to do is enter the topic in the search bar and I get the response real fast. I don't have to watch 10 YouTube videos to understand something, so I'm saving my time. Highly recommended!

Sudenaz Ocak

Android user

In school I was really bad at maths but thanks to the app, I am doing better now. I am so grateful that you made the app.

Greenlight Bonnie

Android user

very reliable app to help and grow your ideas of Maths, English and other related topics in your works. please use this app if your struggling in areas, this app is key for that. wish I'd of done a review before. and it's also free so don't worry about that.

Rohan U

Android user

I know a lot of apps use fake accounts to boost their reviews but this app deserves it all. Originally I was getting 4 in my English exams and this time I got a grade 7. I didn’t even know about this app three days until the exam and it has helped A LOT. Please actually trust me and use it as I’m sure you too will see developments.

Xander S

iOS user

THE QUIZES AND FLASHCARDS ARE SO USEFUL AND I LOVE THE SCHOOLGPT. IT ALSO IS LITREALLY LIKE CHATGPT BUT SMARTER!! HELPED ME WITH MY MASCARA PROBLEMS TOO!! AS WELL AS MY REAL SUBJECTS ! DUHHH 😍😁😲🤑💗✨🎀😮

Elisha

iOS user

This apps acc the goat. I find revision so boring but this app makes it so easy to organize it all and then you can ask the freeeee ai to test yourself so good and you can easily upload your own stuff. highly recommend as someone taking mocks now

Paul T

iOS user